Fourier Analysis
eBook - ePub

Fourier Analysis

  1. English
  2. ePUB (mobile friendly)
  3. Available on iOS & Android
eBook - ePub

About this book

This book aims to learn to use the basic concepts in signal processing. Each chapter is a reminder of the basic principles is presented followed by a series of corrected exercises. After resolution of these exercises, the reader can pretend to know those principles that are the basis of this theme. "We do not learn anything by word, but by example."

Trusted by 375,005 students

Access to over 1.5 million titles for a fair monthly price.

Study more efficiently using our study tools.

Information

Publisher
Wiley-ISTE
Year
2017
Print ISBN
9781786301093
Edition
1
eBook ISBN
9781119372233

1
Fourier Series

1.1. Theoretical background

1.1.1. Orthogonal functions

1.1.1.1. Orthogonal vectors

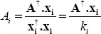
Let us consider a vector space with n dimensions and vectors x1, x2,....xn as the orthogonal basis.
[1.1]
image
ki is the norm for vector xi.
image
is the Hermitian vector (conjugate and transposed) of vector xi.
This collection of vectors is assumed to be complete once there is no way of finding any more values for xk such as
image
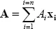
Consider vector A within this space and A1,A2,....An this vector’s components in relation to n basis vectors. If the basis is complete, we can pose:
[1.2]
image
We obtain coefficients Ai using to the following relation:
[1.3]
image

1.1.1.2. Vector-function analogy

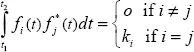
Consider two functions fi(t) and fj(t) that are orthogonal on interval [t1,t2] if:
[1.4]
image
ki is the squared norm of function fi(t).
The vector space is complete if we can no longer find any further functions f(t) that are orthogonal to the previous ones.
When this space is complete and infinite, we can establish an exact representation of any function as a series on interv...

Table of contents

  1. Cover
  2. Table of Contents
  3. Title
  4. Copyright
  5. Preface
  6. 1 Fourier Series
  7. 2 Fourier Transform
  8. 3 Laplace Transform
  9. 4 Integrals and Convolution Product
  10. 5 Correlation
  11. 6 Signal Sampling
  12. Bibliography
  13. Index
  14. End User License Agreement

Frequently asked questions

Yes, you can cancel anytime from the Subscription tab in your account settings on the Perlego website. Your subscription will stay active until the end of your current billing period. Learn how to cancel your subscription
No, books cannot be downloaded as external files, such as PDFs, for use outside of Perlego. However, you can download books within the Perlego app for offline reading on mobile or tablet. Learn how to download books offline
Perlego offers two plans: Essential and Complete
  • Essential is ideal for learners and professionals who enjoy exploring a wide range of subjects. Access the Essential Library with 800,000+ trusted titles and best-sellers across business, personal growth, and the humanities. Includes unlimited reading time and Standard Read Aloud voice.
  • Complete: Perfect for advanced learners and researchers needing full, unrestricted access. Unlock 1.5M+ books across hundreds of subjects, including academic and specialized titles. The Complete Plan also includes advanced features like Premium Read Aloud and Research Assistant.
Both plans are available with monthly, semester, or annual billing cycles.
We are an online textbook subscription service, where you can get access to an entire online library for less than the price of a single book per month. With over 1.5 million books across 990+ topics, we’ve got you covered! Learn about our mission
Look out for the read-aloud symbol on your next book to see if you can listen to it. The read-aloud tool reads text aloud for you, highlighting the text as it is being read. You can pause it, speed it up and slow it down. Learn more about Read Aloud
Yes! You can use the Perlego app on both iOS and Android devices to read anytime, anywhere — even offline. Perfect for commutes or when you’re on the go.
Please note we cannot support devices running on iOS 13 and Android 7 or earlier. Learn more about using the app
Yes, you can access Fourier Analysis by Roger Ceschi,Jean-Luc Gautier,Jean-Luc Gautier in PDF and/or ePUB format, as well as other popular books in Technology & Engineering & Signals & Signal Processing. We have over 1.5 million books available in our catalogue for you to explore.