
eBook - ePub
Lignocellulosic Polymer Composites
Processing, Characterization, and Properties
- English
- ePUB (mobile friendly)
- Available on iOS & Android
eBook - ePub
About this book
The book presents emerging economic and environmentally friendly lignocellulosic polymer composites materials that are free from side effects studied in the traditional synthetic materials. This book brings together panels of highly-accomplished leading experts in the field of lignocellulosic polymers & composites from academia, government, as well as research institutions across the globe and encompasses basic studies including preparation, characterization, properties and theory of polymers along with applications addressing new emerging topics of novel issues.
- Provide basic information and clear understanding of the present state and the growing utility of lignocellulosic materials from different natural resources
- Includes contributions from world-renowned experts on lignocellulosic polymer composites and discusses the combination of different kinds of lignocellulosic materials from natural resources
- Discusses the fundamental properties and applications of lignocellulosic polymers in comparison to traditional synthetic materials
- Explores various processing/ mechanical/ physic-chemical aspects of lignocellulosic polymer composites
Tools to learn more effectively

Saving Books

Keyword Search

Annotating Text

Listen to it instead
Information
Part I
LIGNOCELLULOSIC NATURAL POLYMERS BASED COMPOSITES
Chapter 1
Lignocellulosic Polymer Composites: A Brief Overview
Abstract
Due to their environmental friendliness and several inherent characteristics, lignocellulosic natural fibers offer a number of advantages over synthetic fibers such as glass, carbon, aramid and nylon fibers. Some of the advantages of lignocellulosic natural fibers over synthetic fibers include biodegradability; low cost; neutrality to CO2 emission; easy processing; less leisure; easy availability; no health risks; acceptable specific properties and excellent insulating/noise absorption properties. Due to these advantageous properties, different kinds of lignocellulosic natural fibers are being explored as indispensable components for reinforcement in the preparation of green polymer composites. With these different advantageous properties in mind, this chapter provides a brief overview of different lignocellulosic natural fibers and their structure and processing, along with their applications in different fields.
Keywords: Lignocellulosic natural fibers, structure, processing and applications
1.1 Introduction
Different kinds of materials play an imperative role in the advancement of human life. Among various materials used in present day life, polymers have been substituted for many conventional materials, especially metals, in various applications due to their advantages over conventional materials [1, 2]. Polymer-based materials are frequently used in many applications because they are easy to process, exhibit high productivity, low cost and flexibility [3]. To meet the end user requisitions, the properties of polymers are modified using fillers and fibers to suit the high strength/high modulus requirements [4]. Generally synthetic fibers such as carbon, glass, kevlar, etc., are used to prepare polymer composites for high-end, sophisticated applications due to the fact that these materials have high strength and stiffness, low density and high corrosion resistance [5]. Fiber-reinforced polymer composites have already replaced many components of automobiles, aircrafts and spacecrafts which were earlier used to be made by metals and alloys [6]. Despite having several good properties, these materials (both the reinforcement and polymer matrices) are now facing problems due to their shortcomings especially related to health and biodegradability [7]. As an example, synthetic fibers such as glass and carbon fiber can cause acute irritation of the skin, eyes, and upper respiratory tract [8]. It is suspected that long-term exposure to these fibers causes lung scarring (i.e., pulmonary fibrosis) and cancer. Moreover, these fiber are not easy to degrade and results in environmental pollution [9]. On the economic side, making a product from synthetic fiber-reinforced polymer composites is a high cost activity associated with both the manufacturing process and the material itself [10]. The products engineered with petroleum-based fibers and polymers suffer severely when their service life meets their end [11]. The non-biodegradable nature of these materials has imposed a serious threat for the environment where ecological balance is concerned [12]. Depletion of fossil resources, release of toxic gases, and the volume of waste increases with the use of petroleum-based materials [13]. These are some issues which have led to the reduced utilization of petroleum-based non-biodegradable composites and development of biobased composite materials in which at least one component is from biorenewable resources [14].
Biobased composites are generally produced by embedding lignocellulosic natural fibers into polymer matrices, and in these composites at least one component (most frequently natural fibers as the reinforcement) is from green biorenewable resources [15]. This book is primarily focused on the effective utilization of lignocellulosic natural fibers as an indispensable component in polymer composites. The book consists of twenty-three chapters and each chapter gives an overview of a particular lignocellulosic polymer composite material. Chapter 2 focuses on natural fiber-based composites, which are the oldest types of composite materials and are the most frequently used. The book has been divided into three parts, namely: (1) Lignocellulosic natural polymer-based composites, (2) Chemical modification of cellulosic materials for advanced composites, and (3) Physico-chemical and mechanical behavior of cellulose/polymer composites. In the following section a brief overview of lignocellulosic fibers/polymer composites will be presented.
1.2 Lignocellulosic Polymers: Source, Classification and Processing
Different kinds of biobased polymeric materials are available all around the globe. These biobased materials are procured from different biorenewable resources. Chapters 2–10 primarily focus on the use of different types of lignocellulosic fiber-reinforced composites, starting from wood fibers to hybrid fiber-reinforced polymer composites. Chapter 3 summarizes some of the recent research on different lignocellulosic fiber-reinforced polymer composites in the Southeast region of the world, while Chapter 6 summarizes the research on some typical Brazilian lignocellulosic fiber composites. The polymers obtained from biopolymers are frequently referred to as biobased biorenewable polymers and can be classified into different categories depending upon their prime sources of origin/production. Figure 1.1(a) shows the general classification of biobased biorenewable polymers [11, 13, 16].
Figure 1.1 (a) Classification of biobased polymers [11, 13, 16].

For the preparation of polymer composites, generally two types of fibers, namely synthetic and natural fibers, are used as reinforcement. Figure 1.1(b) shows different types of natural/synthetic fibers frequently used as reinforcement in the polymer matrix composites.
Figure 1.1 (b) Types of fiber reinforcement used in the preparation of polymer composites[11, 13, 16].

Natural fibers can further be divided into two types: plant fibers and animal fibers. Figure 1.2 shows the detailed classification of the different plant fibers. These plant fibers are frequently referred to as lignocellulosic fibers.
Figure 1.2 Classification of natural fibers [11, 13, 16].

Among biorenewable natural fibers, lignocellulosic natural fibers are of much importance due to their inherent advantages such as: biodegradability, low cost, environmental friendliness, ease of separation, recyclability, non-irritation to the skin, acceptable specific strength, low density, high toughness, good thermal properties, reduced tool wear, enhanced energy recovery, etc. [11,13,16,17]. Different lands of lignocellulosic materials are available all around the world. These lignocellulosic materials are procured from different biorenewable resources. The properties of the lignocellulosic materials depend upon different factors and growing conditions. Lignocellulosic natural fibers are generally harvested from different parts of the plant such as stem, leaves, or seeds. [18]. A number of factors influence the overall properties of the lignocellulosic fibers. Table 1.1 summarizes some of the factors affecting the overall properties of lignocellulosic fibers. The plant species, the crop production, the location, and the climate in which the plant is grown significantly affect the overall properties of the lignocellulosic fibers [18].
Table 1.1 Factors effecting fiber quality at various stages of natural fiber production. Reprinted with permission from [18]. Copyright 2012 Elsevier.
| Stage | Factors effecting fiber quality |
| Plant growth | Species of plant |
| Crop cultivation | |
| Crop location | |
| Fiber location in plant | |
| Local climate | |
| Harvesting stage | Fiber ripeness, which effects: – Cell wall thickness – Coarseness of fibers – Adherence between fibers and surrounding structure |
| Fiber extraction stage | Decortication process |
| Type of retting method | |
| Supply stage | Transportation conditions |
| Storage conditions | |
| Age of fiber |
The properties and cost of lignocellulosic natural fibers vary significantly with fiber type. Figure 1.3(a–c) shows the comparison of potential specific modulus values of natural fibers/glass fibers; cost per weight comparison between natural fibers and glass and cost per unit length respectively.
Figure 1.3 (a) Comparison of potential specific modulus values and ranges between natural fibers and glass fibers.
Reprinted with permission from [18]. Copyright 2012 Elsevier.

Figure 1.3 (b) Cost per weight comparison between glass and natural fibers.
Reprinted with permission from [18]. Copyright 2012 Elsevier.

Figure 1.3 (c) Cost per unit length (capable of resisting 100 KN load) comparison between glass and natural fibers.
Reprinted with permission from [18]. Copyright 2012 Elsevier.

Chapters 2–10 discuss in detail the different properties of natural lignocellulosic fibers, their processing and fabrication of polymer composites. Chapter 11 summarizes the structure, chemistry and properties of different agro-residual fibers such as wheat straw; corn stalk, cob and husks; okra stem; banana stem, leaf, bunch; reed stalk; nettle; pineapple leaf; sugarcane; oil palm bunch and coconut husk; along with their processing.
1.3 Lignocellulosic Natural Fibers: Structure, Chemical Composition and Properties
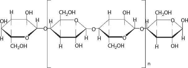
Lignocellulosic natural fibers are primarily composed of three components, namely cellulose, hemicellulose and lignin. Figure 1.4 (a, b) shows the structure of cellulose and lignin. Cellulose contains chains of variable length of 1–4 linked β-d-anhydroglucopyranose units and is a non-branched macromolecule[19]. As opposed to the structure of cellulose, lignin exhibits a highly branched polymeric structure [17–19]. Lignin serves as the matrix material to embed cellulose fibers along with hemicellulose, and protects the cellulose/hemicellulose from harsh environmental conditions [1, 13, 16]. Chapter 11 discusses in detail the chemical composition of lignocellulosic natural fibers.
Figure 1.4 (a). Chemical structure of cellulose.
Reprinted with permission from [19]. Copyright 2011 Elsevier.

Figure 1.4 (b) Structure of Lignin [1, 13, 16].

The plant cell wall is the most important part of lignocellulosic natural fibers. Figure 1.4(c) shows the schematic representation of the natural plant c...
Table of contents
- Cover
- Half Title page
- Title page
- Copyright page
- Dedication
- Preface
- Part I: Lignocellulosic Natural Polymers Based Composites
- Part II: Chemical Modification of Cellulosic Materials for Advanced Composites
- Part III: Physico-Chemical and Mechanical Behaviour of Cellulose/ Polymer Composites
- Part IV: Applications of Cellulose/ Polymer Composites
- Index
Frequently asked questions
Yes, you can cancel anytime from the Subscription tab in your account settings on the Perlego website. Your subscription will stay active until the end of your current billing period. Learn how to cancel your subscription
No, books cannot be downloaded as external files, such as PDFs, for use outside of Perlego. However, you can download books within the Perlego app for offline reading on mobile or tablet. Learn how to download books offline
Perlego offers two plans: Essential and Complete
- Essential is ideal for learners and professionals who enjoy exploring a wide range of subjects. Access the Essential Library with 800,000+ trusted titles and best-sellers across business, personal growth, and the humanities. Includes unlimited reading time and Standard Read Aloud voice.
- Complete: Perfect for advanced learners and researchers needing full, unrestricted access. Unlock 1.4M+ books across hundreds of subjects, including academic and specialized titles. The Complete Plan also includes advanced features like Premium Read Aloud and Research Assistant.
We are an online textbook subscription service, where you can get access to an entire online library for less than the price of a single book per month. With over 1 million books across 990+ topics, we’ve got you covered! Learn about our mission
Look out for the read-aloud symbol on your next book to see if you can listen to it. The read-aloud tool reads text aloud for you, highlighting the text as it is being read. You can pause it, speed it up and slow it down. Learn more about Read Aloud
Yes! You can use the Perlego app on both iOS and Android devices to read anytime, anywhere — even offline. Perfect for commutes or when you’re on the go.
Please note we cannot support devices running on iOS 13 and Android 7 or earlier. Learn more about using the app
Please note we cannot support devices running on iOS 13 and Android 7 or earlier. Learn more about using the app
Yes, you can access Lignocellulosic Polymer Composites by Vijay Kumar Thakur in PDF and/or ePUB format, as well as other popular books in Technology & Engineering & Materials Science. We have over one million books available in our catalogue for you to explore.