
eBook - ePub
Análisis de mercados de electricidad
- 276 páginas
- Spanish
- ePUB (apto para móviles)
- Disponible en iOS y Android
eBook - ePub
Análisis de mercados de electricidad
Descripción del libro
De la conjugación entre el planeta y el mundo —aspecto físico versus aspecto social— es que nace este trabajo, que combina, de un lado, los elementos básicos del movimiento de electrones a través de un medio con-ductor y, por otro, la interacción de los mercados de energía dentro de un modelo regido por la libertad y la competencia, a la vez reglado por completo y centralmente controlado.
El libro está dirigido a un amplio público. Con el lenguaje 'sencillo y la generalización de los conceptos pretendemos llegar a aquellos que apenas inician su carrera profesional dentro de un mercado de electricidad o que arrancan un proyecto de investigación alrededor de estos tópicos. Al mismo tiempo, hay capítulos que serán de utilidad para quienes ya tienen una experiencia tanto académica como profesional en mercados de electricidad; en esos casos, el lector encontrará un lenguaje un poco más técnico y complejo. Finalmente, es nuestra intención que el texto acompañe cursos de formación de profesionales analistas en proyectos de energía y le sirva a su dueño durante un largo tiempo para que eventualmente re-fine alguna idea o exposición.
Cuenta con la confianza de 375,005 estudiantes
Acceso a más de 1 millón de títulos por un precio mensual asequible.
Estudia de forma más eficiente usando nuestras herramientas de estudio.
Información
Categoría
Technology & EngineeringCategoría
Energy IndustryModelos estocásticos
Siempre estoy a la altura del azar; para ser dueño de mí, he de estar desprevenido.
Friedrich Nietzsche, Ecce homo
Un proceso estocástico es la descripción matemática de una variable cuyo valor en cada momento es una función de probabilidad. Su uso en la medición de riesgos financieros y económicos se debe principalmente a que logra capturar los niveles de incertidumbre para cada intervalo de tiempo en el futuro. El uso del cálculo estocástico ha mostrado su gran utilidad para la modelación y gestión de riesgos en mercados de electricidad, y es defendido por autores con gran reconocimiento en estas temáticas, como Andrea Roncoroni (2003), Dragana Pilipovic (2007) y Francisco Venegas (2006); acá se presentan algunos elementos que los autores recomiendan conocer antes de que un analista decida utilizar esta herramienta.
Conceptos iniciales
Una variable aleatoria es, sin que le demos más vueltas, el resultado de un experimento aleatorio y un experimento aleatorio no es más que un ensayo, pero no un ensayo cualquiera: es uno en el que a pesar de que las condiciones iniciales son las mismas arroja cada vez un resultado final diferente. El ejemplo más común es el lanzamiento de una moneda. Si la lanzamos la primera vez puede caer sello y si la volvemos a lanzar posiblemente caerá cara, el asunto es que antes de ver la moneda no sabremos qué cayó. ¿Cuál será el precio de la energía el próximo mes? La respuesta a esta pregunta no es más que una variable aleatoria ya que no sabremos su resultado hasta el momento que ocurra.
Antes de observar el resultado de un experimento aleatorio, lo único que sabemos de la variable aleatoria es que podrá corresponder a alguno de los elementos del espacio muestral, que, si este está bien definido, debe contener todos los posibles resultados de la dicha variable. En nuestro ejemplo de la moneda, el espacio muestral omega será el conjunto:

O para el caso del lanzamiento de un dado:

Ahora, si Lanzamiento es la variable aleatoria del resultado del lanzamiento del dado, esta debe estar contenida en el conjunto omega; por notación diremos que Lanzamiento (omega minúscula) debe pertenecer al conjunto omega (en mayúscula), así:

Para el caso de la energía eléctrica, podríamos decir que toda la colección de precios spot (S) para el momento enero de 2038 están dados por:

Para el tiempo 1, solo por notación, podríamos decir que el precio spot es:

Y para el momento 2:

De forma general, podemos representar todos los posibles resultados del precio spot para cualquier momento con la notación de la fórmula (45). Esto lo llamaremos proceso estocástico de S en esta fórmula:.

Así, para cada momento del tiempo, la variable S es una variable aleatoria. Si dejamos el w fijo y permitimos que transcurra el tiempo entonces tendremos una única trayectoria del spot. Acá, y esto requerirá un poco de reflexión del amigo lector, la serie histórica de los datos del precio spot corresponde a la ocurrencia de una única trayectoria de su proceso estocástico. Para cada momento del tiempo, entonces, podremos identificar todas las condiciones de una variable aleatoria, es decir, su media, su varianza, su desviación estándar, su sesgo, su curtosis, su percentil, su decil, su distribución de probabilidad, su distribución acumulada de probabilidad, etcétera, etcétera, etcétera.
Si queremos encontrar la probabilidad de algún rango en el que el precio podría llegar a estar para cada momento, será necesario que primero demos un repaso a las propiedades de la probabilidad:
•La probabilidad toma valores entre 0 y 1, inclusive ambos (por lo que puede valer 1 y también 0):

•La probabilidad de que el resultado esté en el espacio muestral es 1:

•La probabilidad de que el resultado esté por fuera del espacio muestral es 0. Esto mismo se cumple con respecto a la probabilidad de que ocurra el conjunto nulo:

Si estamos trabajando con dos eventos, A y B:
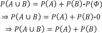
•La probabilidad de que ocurra A unido con B en caso de que A y B no sean independientes será la suma de las probabilidades de los eventos menos la probabilidad de su intersección:

•Si en cambio A y B son independientes (sin puntos en común), la intersección entre ellos es el conjunto vacío, por lo que:

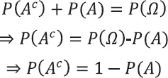
•El complemento de A corresponde a todos los eventos del espacio muestral que no pertenecen a A, así:

•Si A y B son independientes, se cumple la siguiente condición sobre su intersección:

Luego de presentar las consideraciones anteriores y para continuar con esta sección, puede ayudarnos bastante conocer el concepto de probabilidad condicional. Su utilidad se basa en la idea de que a medida que pasa el tiempo el futuro se irá revelando, por lo que la expectativa de precio de bolsa para diciembre de 2025 será diferente si se condiciona a que tenemos información completa a noviembre de 2025 o a enero de 2018. Teniendo esto en cuenta diremos que la probabilidad condicional de A dado B será:

Ahora, si A y B son independientes, la ocurrencia de B no modificará la ocurrencia de A:

Índice
- Cubierta
- Portada
- Créditos
- Contenido
- Lista de figuras
- Lista de tablas
- Agradecimientos
- Prólogo
- Energía
- Algunas nociones sobre electricidad
- Mercado eléctrico en Colombia
- Interacción económica
- Modelos de administración de mercados
- El poder de mercado
- Modelación de mercados de electricidad
- La demanda por electricidad
- Formación del precio spot
- Contratos de largo plazo o forward
- Riesgo de contraparte
- Contratos de futuros
- Licitaciones para el suministro de energía
- Pagos por firmeza
- Despacho hidrotérmico
- Despacho económico y condiciones de red
- Evaluación financiera de proyectos
- Costo nivelado
- Índice climático
- Algunos tópicos asociados al cambio climático.
- Riesgo de mercado
- Cobertura con contratos forward
- Efecto del VaR
- Opciones financieras
- Administración de riesgo
- Modelos estocásticos
- Algunos sitios web de interés
- Referencias
- Notas al pie
- Los autores
- Contracubierta
Preguntas frecuentes
Sí, puedes cancelar tu suscripción en cualquier momento desde la pestaña Suscripción en los ajustes de tu cuenta en el sitio web de Perlego. La suscripción seguirá activa hasta que finalice el periodo de facturación actual. Descubre cómo cancelar tu suscripción
No, los libros no se pueden descargar como archivos externos, como los PDF, para usarlos fuera de Perlego. Sin embargo, puedes descargarlos en la aplicación de Perlego para leerlos sin conexión en el móvil o en una tableta. Descubre cómo descargar libros para leer sin conexión
Perlego ofrece dos planes: Essential y Complete
- El plan Essential es ideal para los estudiantes y los profesionales a los que les gusta explorar una amplia gama de temas. Accede a la biblioteca Essential, con más de 800 000 títulos de confianza y superventas sobre negocios, crecimiento personal y humanidades. Incluye un tiempo de lectura ilimitado y la voz estándar de «Lectura en voz alta».
- Complete: perfecto para los estudiantes avanzados y los investigadores que necesitan un acceso completo sin ningún tipo de restricciones. Accede a más de 1,4 millones de libros sobre cientos de temas, incluidos títulos académicos y especializados. El plan Complete también incluye funciones avanzadas como la lectura en voz alta prémium y el asistente de investigación.
Somos un servicio de suscripción de libros de texto en línea que te permite acceder a toda una biblioteca en línea por menos de lo que cuesta un libro al mes. Con más de un millón de libros sobre más de 990 categorías, ¡tenemos todo lo que necesitas! Descubre nuestra misión
Busca el símbolo de lectura en voz alta en tu próximo libro para ver si puedes escucharlo. La herramienta de lectura en voz alta lee el texto en voz alta por ti, resaltando el texto a medida que se lee. Puedes pausarla, acelerarla y ralentizarla. Obtén más información sobre la lectura en voz alta
¡Sí! Puedes usar la aplicación de Perlego en dispositivos iOS y Android para leer cuando y donde quieras, incluso sin conexión. Es ideal para cuando vas de un lado a otro o quieres acceder al contenido sobre la marcha.
Ten en cuenta que no será compatible con los dispositivos que se ejecuten en iOS 13 y Android 7 o en versiones anteriores. Obtén más información sobre cómo usar la aplicación
Ten en cuenta que no será compatible con los dispositivos que se ejecuten en iOS 13 y Android 7 o en versiones anteriores. Obtén más información sobre cómo usar la aplicación
Sí, puedes acceder a Análisis de mercados de electricidad de Alfredo Trespalacios Carrasquilla,Javier Orlando Pantoja Robayo,Óscar Alonso Fernández Taborda en formato PDF o ePUB, así como a otros libros populares de Technology & Engineering y Energy Industry. Tenemos más de un millón de libros disponibles en nuestro catálogo para que explores.