Esta obra ofrece los fundamentos para enfrentar la creciente presión de parte de los accionistas y stakeholders para crear valor en sus organizaciones. Resume aquello que falta conocer acerca de la filosofía de creación de valor en la gestión financiera y presenta los puntos de vista de un gran número de seguidores de dicha filosofía a partir de las experiencias de algunas empresas peruanas.

- 384 páginas
- Spanish
- ePUB (apto para móviles)
- Disponible en iOS y Android
eBook - ePub
Descripción del libro
Cuenta con la confianza de 375,005 estudiantes
Acceso a más de 1 millón de títulos por un precio mensual asequible.
Estudia de forma más eficiente usando nuestras herramientas de estudio.
Información
Año
2017ISBN del libro electrónico
9786123180201
Categoría
Personal DevelopmentCategoría
Time ManagementAnexos
Anexo A
Estados financieros de la empresa Luz del Sur S. A. A. Balance General al 31 de diciembre
Estados financieros de la empresa Luz del Sur S. A. A. Balance General al 31 de diciembre


Fuente: Superintendencia de Mercado de Capitales
En miles de nuevos soles
Estado de ganancias y pérdidas al 31 de diciembre


Fuente: Superintendencia de Mercado de Capitales
En miles de nuevos soles
Estado de flujo de efectivo al 31 de diciembre



Fuente: Superintendencia de Mercado de Valores
En miles de nuevos soles
Anexo B
Cálculo costo financiero
Cálculo costo financiero

* sin reajuste de principal

Ponderación de la deuda
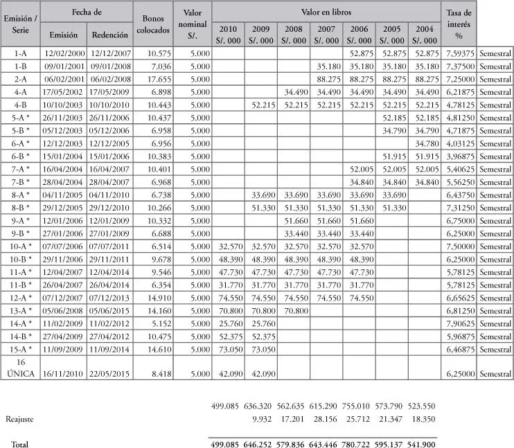
a. Emisión de bonos

* sin reajuste de principal
b. Préstamos bancarios



c. Sobregiros bancarios

d. Estructura de deuda

e. Estructura de capital




Anexo C
Calculo del riesgo país
Calculo del riesgo país
RIESGO PAÍS | |
Mes/Año | Spread - EMBIG Perú (pbs) |
Ene01 | 659,000000000000 |
Feb01 | 651,947368421053 |
Mar01 | 635,818181818182 |
Abr01 | 761,650000000000 |
May01 | 763,454545454546 |
Jun01 | 662,761904761905 |
Jul01 | 642,904761904762 |
Ago01 | 625,608695652174 |
Sep01 | 649,000000000000 |
Oct01 | 665,363636363636 |
Nov01 | 590,600000000000 |
Dic01 | 649,000000000000 |
Ene02 | 481,428571428571 |
Feb02 | 478,473684210526 |
Mar02 | 414,850000000000 |
Abr02 | 434,818181818182 |
May02 | 506,454545454545 |
Jun02 | 566,650000000000 |
Jul02 | 719,909090909091 |
Ago02 | 816,272727272727 |
Sep02 | 805,900000000000 |
Oct02 | 813,909090909091 |
Nov02 | 672,105... |
Índice
- Hoja de créditos
- Índice
- Sobre el autor
- Prólogo
- Introducción
- Capítulo I La revolución de la gestión financiera y los paradigmas de la medición de la creación de valor
- Capítulo II La filosofía de creación de valor (Value Based Management)
- Capítulo III Metodología para calcular los indicadores financieros
- Capítulo IV La filosofía de creación de valor en las empresas peruanas
- Conclusiones
- Anexos
- Bibliografía
- Recientes publicaciones del Fondo Editorial de la UPC
Preguntas frecuentes
Sí, puedes cancelar tu suscripción en cualquier momento desde la pestaña Suscripción en los ajustes de tu cuenta en el sitio web de Perlego. La suscripción seguirá activa hasta que finalice el periodo de facturación actual. Descubre cómo cancelar tu suscripción
No, los libros no se pueden descargar como archivos externos, como los PDF, para usarlos fuera de Perlego. Sin embargo, puedes descargarlos en la aplicación de Perlego para leerlos sin conexión en el móvil o en una tableta. Descubre cómo descargar libros para leer sin conexión
Perlego ofrece dos planes: Essential y Complete
- El plan Essential es ideal para los estudiantes y los profesionales a los que les gusta explorar una amplia gama de temas. Accede a la biblioteca Essential, con más de 800 000 títulos de confianza y superventas sobre negocios, crecimiento personal y humanidades. Incluye un tiempo de lectura ilimitado y la voz estándar de «Lectura en voz alta».
- Complete: perfecto para los estudiantes avanzados y los investigadores que necesitan un acceso completo sin ningún tipo de restricciones. Accede a más de 1,4 millones de libros sobre cientos de temas, incluidos títulos académicos y especializados. El plan Complete también incluye funciones avanzadas como la lectura en voz alta prémium y el asistente de investigación.
Somos un servicio de suscripción de libros de texto en línea que te permite acceder a toda una biblioteca en línea por menos de lo que cuesta un libro al mes. Con más de un millón de libros sobre más de 990 categorías, ¡tenemos todo lo que necesitas! Descubre nuestra misión
Busca el símbolo de lectura en voz alta en tu próximo libro para ver si puedes escucharlo. La herramienta de lectura en voz alta lee el texto en voz alta por ti, resaltando el texto a medida que se lee. Puedes pausarla, acelerarla y ralentizarla. Obtén más información sobre la lectura en voz alta
¡Sí! Puedes usar la aplicación de Perlego en dispositivos iOS y Android para leer cuando y donde quieras, incluso sin conexión. Es ideal para cuando vas de un lado a otro o quieres acceder al contenido sobre la marcha.
Ten en cuenta que no será compatible con los dispositivos que se ejecuten en iOS 13 y Android 7 o en versiones anteriores. Obtén más información sobre cómo usar la aplicación
Ten en cuenta que no será compatible con los dispositivos que se ejecuten en iOS 13 y Android 7 o en versiones anteriores. Obtén más información sobre cómo usar la aplicación
Sí, puedes acceder a La creación de valor en las finanzas de Manuel Chu Rubio en formato PDF o ePUB, así como a otros libros populares de Personal Development y Time Management. Tenemos más de un millón de libros disponibles en nuestro catálogo para que explores.