
- 120 páginas
- Spanish
- ePUB (apto para móviles)
- Disponible en iOS y Android
eBook - ePub
Relatividad para principiantes
Descripción del libro
Las ideas que, además del tiempo, se tenían sobre la materia y la energía, el espacio y la gravitación, han cambiado radicalmente a partir del cataclismo que, para la física, significó Einstein y su teoría de la relatividad. El autor aclara y explica muchos de los nuevos problemas que afrontan los científicos de nuestros días.
Preguntas frecuentes
Sí, puedes cancelar tu suscripción en cualquier momento desde la pestaña Suscripción en los ajustes de tu cuenta en el sitio web de Perlego. La suscripción seguirá activa hasta que finalice el periodo de facturación actual. Descubre cómo cancelar tu suscripción.
No, los libros no se pueden descargar como archivos externos, como los PDF, para usarlos fuera de Perlego. Sin embargo, puedes descargarlos en la aplicación de Perlego para leerlos sin conexión en el móvil o en una tableta. Obtén más información aquí.
Perlego ofrece dos planes: Essential y Complete
- El plan Essential es ideal para los estudiantes y los profesionales a los que les gusta explorar una amplia gama de temas. Accede a la biblioteca Essential, con más de 800 000 títulos de confianza y superventas sobre negocios, crecimiento personal y humanidades. Incluye un tiempo de lectura ilimitado y la voz estándar de «Lectura en voz alta».
- Complete: perfecto para los estudiantes avanzados y los investigadores que necesitan un acceso completo sin ningún tipo de restricciones. Accede a más de 1,4 millones de libros sobre cientos de temas, incluidos títulos académicos y especializados. El plan Complete también incluye funciones avanzadas como la lectura en voz alta prémium y el asistente de investigación.
Somos un servicio de suscripción de libros de texto en línea que te permite acceder a toda una biblioteca en línea por menos de lo que cuesta un libro al mes. Con más de un millón de libros sobre más de 1000 categorías, ¡tenemos todo lo que necesitas! Obtén más información aquí.
Busca el símbolo de lectura en voz alta en tu próximo libro para ver si puedes escucharlo. La herramienta de lectura en voz alta lee el texto en voz alta por ti, resaltando el texto a medida que se lee. Puedes pausarla, acelerarla y ralentizarla. Obtén más información aquí.
¡Sí! Puedes usar la aplicación de Perlego en dispositivos iOS o Android para leer cuando y donde quieras, incluso sin conexión. Es ideal para cuando vas de un lado a otro o quieres acceder al contenido sobre la marcha.
Ten en cuenta que no será compatible con los dispositivos que se ejecuten en iOS 13 y Android 7 o en versiones anteriores. Obtén más información sobre cómo usar la aplicación.
Ten en cuenta que no será compatible con los dispositivos que se ejecuten en iOS 13 y Android 7 o en versiones anteriores. Obtén más información sobre cómo usar la aplicación.
Sí, puedes acceder a Relatividad para principiantes de Shahen Hacyan en formato PDF o ePUB, así como a otros libros populares de Ciencias físicas y Relatividad en física. Tenemos más de un millón de libros disponibles en nuestro catálogo para que explores.
Información
Categoría
Ciencias físicasCategoría
Relatividad en físicaIV. Espacio y tiempo
A quien no es matemático lo sobrecoge un misterioso escalofrío cuando oye hablar de objetos "cuatridimensionales" como si se tratara de conceptos ocultos. Y, sin embargo, no hay afirmación más trivial que decir que nuestro mundo es un espaciotiempo continuo cuatridimensional.
A. Einstein
La teoría de la relatividad de Einstein alteró básicamente nuestros conceptos de espacio y tiempo, que dejaron de ser categorías independientes para fusionarse en un solo concepto: el espaciotiempo.
El espacio posee tres dimensiones: esto quiere decir que, para determinar la posición de un punto, se necesita un sistema de referencia y tres números (llamados coordenadas) (Figura 12). O, dicho de otro modo, que todo cuerpo posee altura, anchura y profundidad. El tiempo, por otro lado, es unidimensional y sólo se necesita un número para precisar un intervalo de tiempo. En la mecánica clásica, el espacio y el tiempo eran dos absolutos, independientes entre sí. En la teoría de la relatividad, se unen para formar el espaciotiempo de cuatro dimensiones: tres dimensiones espaciales y una dimensión temporal; cada "punto" del espaciotiempo es un suceso que se caracteriza con cuatro números: tres para describir la posición donde ocurre y uno para determinar el tiempo al que sucede. El hecho de que el espaciotiempo tenga cuatro dimensiones no es nada sorprendente, al contrario de lo que podría sugerir la idea de una cuarta dimensión. Lo único novedoso es que las cuatro coordenadas del espaciotiempo aparecen unidas en la teoría de la relatividad, mientras que en la física clásica están disociadas en tres espaciales y una temporal.

Figura 12. Un sistema de coordenadas permite localizar un punto en el espacio usando tres números: x, y, z.
Incluso, el espaciotiempo de cuatro dimensiones posee propiedades geométricas bien establecidas. Esto lo demostró en forma convincente el matemático Hermán Minkowski, poco después de que apareciera la teoría de la relatividad. Los fenómenos físicos ocurren en el espaciotiempo que los físicos y matemáticos llaman espacio de Minkowski, un espacio de cuatro dimensiones en el que cada punto es un suceso y en el que se puede, incluso, definir la "distancia" entre sucesos.[1]
La contracción del tiempo
Evidentemente, la contracción relativista del tiempo es muy importante en el caso de las partículas que se mueven a velocidades cercanas a la de la luz. Los físicos que estudian las partículas elementales utilizan aceleradores de partículas, que son aparatos que imprimen una velocidad, cercana a la de la luz, a electrones, protones o núcleos atómicos. Estas partículas, al chocar entre sí, se "rompen", o, más precisamente, producen nuevas partículas al transformar su energía en masa. En este tipo de experimentos, el uso de la mecánica relativista es tan común como lo es el uso de la mecánica newtoniana a un ingeniero que construye edificios o puentes.
Tendremos oportunidad de regresar a las partículas elementales en el capítulo IV. Por ahora, vamos a ofrecer al lector una aplicación de la teoría de la relatividad a un tema que, si bien no es de uso práctico por ahora, podrá ser muy importante en el futuro y es bien conocido a través de los libros y películas de ciencia ficción: los viajes interestelares.
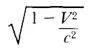
Supongamos que, alguna vez en el futuro, la humanidad llega a disponer de naves espaciales capaces de viajar a una velocidad cercana a la de la luz. Los dos sistemas de referencia a considerar son, entonces, la Tierra y la nave espacial. ¿Cómo se relacionan entre sí los tiempos medidos en esos dos sistemas? La fórmula de la página permite calcularlo. Hay que precisar que esta fórmula es válida sólo para un sistema de referencia inercial que se mueve a una velocidad constante con respecto a otro sistema; en el caso de movimientos más complicados, la fórmula exacta será, en general, distinta. Por ahora consideraremos sólo velocidades constantes por razones de simplicidad, aunque mencionaremos más adelante el caso de un movimiento más apropiado para un viaje interestelar.
Supongamos, por ejemplo, que una nave espacial viaja a la estrella más cercana, Alfa Centauri, que se encuentra a cuatro años luz de distancia. Al tratar distancias cósmicas utilizaremos el año luz como unidad de medida: es la distancia recorrida por la luz en un año y equivale a unos nueve billones de kilómetros. Los tripulantes de la nave no sentirán nada en particular con respecto a su tiempo pues sus relojes marcharán normalmente. Será a su regreso a la Tierra cuando notarán que los relojes terrestres y los de la nave no coinciden: el tiempo medido en la nave, desde que salió hasta que regresó, será un factor

veces más corto que el mismo periodo de tiempo medido en la Tierra.
Algunos ejemplos cuantitativos ilustrarán este efecto: Si la nave espacial viaja a una velocidad de "sólo" 100 000 kilómetros por hora, por ejemplo, tardará unos 80 000 años en llegar a Alfa Centauri y regresar a la Tierra: el tiempo transcurrido en la nave será sólo unas tres horas más corto que el registrado en la Tierra. Pero si la velocidad de la nave espacial es cercana a la de la luz, la contracción del tiempo se manifestará en toda su magnitud: si la nave viaja a 299 000 kilómetros por segundo, transcurrirán poco más de ocho años, medidos en la Tierra, desde el momento en que despega la nave hasta que regresa, pero para los tripulantes habrán pasado ¡solamente siete meses!; y si el viaje se realiza al centro de nuestra Galaxia, distante 30 000 años luz, a la misma velocidad de 299 000 kilómetros por segundo, entonces pasarán 60 000 años en la Tierra, pero ese mismo viaje durará sólo 4 400 años para los tripulantes de la nave espacial; quizás puedan permanecer en hibernación durante ese tiempo, pero cuando regresen, la Tierra será muy distinta a como la dejaron.
Los vehículos espaciales lanzados en la actualidad están muy lejos de alcanzar velocidades cercanas a la luminosa. Para ellos, el efecto de la contracción del tiempo es extremadamente pequeño, pero no despreciable si se quieren realizar mediciones de muy alta precisión. Las variaciones relativistas del tiempo se toman en consideración, como parte de la rutina para guiar los satélites artificiales y determinar su posición con gran exactitud.
La contracción del tiempo que ocurre en un viaje interestelar a gran velocidad parecería conducir, a primera vista, a una contradicción con el principio de la relatividad. En efecto, consideremos el caso de dos gemelos, uno de los cuales se queda en la Tierra y el otro realiza un viaje a las estrellas con una velocidad cercana a la de la luz. Como indicamos anteriormente, el gemelo viajero regresará a la Tierra más joven que su hermano que se quedó. Pero, de acuerdo con el principio de relatividad, el tripulante de la nave espacial puede afirmar que él está en reposo y es la Tierra la que se mueve; ningún experimento físico puede demostrarle lo contrario. Sin embargo, de acuerdo con esta interpretación, el gemelo que permaneció en la Tierra debe ser el más joven, cuando la Tierra se "vuelva a unir" con la nave espacial. Ésta es la llamada paradoja de los gemelos.
La situación anterior se puede ver más claramente si suponemos que una cámara y un receptor de televisión se encuentran en la nave espacial. ¿Cómo se verían mutuamente los que se quedan en la Tierra y los que viajan? Hay que tomar en cuenta que, además de la contracción relativista del tiempo, también influye el hecho de que la distancia entre la Tierra y la nave aumenta gradualmente, por lo que las señales luminosas tardan cada vez más en llegar de un sistema al otro. Si se toman en cuenta estos dos efectos combinados —contracción del tiempo y retraso de la luz— resulta que el tiempo en un sistema se ve transcurrir más rápidamente o más lentamente en otro sistema según si ambos sistemas se acercan o se alejan. Así, mientras la nave espacial se aleja, veremos que los relojes, y todos los procesos físicos en él, caminan más lentamente, como si estuviéramos observando el interior de la nave en cámara lenta. Durante el recorrido de regreso, mientras la nave se acerca a la Tierra, sucederá lo contrario: el tiempo en la nave visto desde la Tierra, o viceversa, parecerá transcurrir más rápidamente, y cada observador, en la Tierra y en la nave espacial, verá al otro como en cámara rápida. Al llegar el vehículo espacial a la Tierra, podrán comparar sus calendarios y resultará que, de todos modos, el tiempo transcurrido en la nave es menor por un factor

tal como indicamos más arriba. Por supuesto, la aparente contracción o dilatación del tiempo es un efecto notable sólo para velocidades cercanas a la de la luz.
Hasta aquí hemos considerado sólo viajes interestelares a velocidad constante. En esa situación, los pasajeros de una nave espacial no podrían percatarse, mediante la observación de efectos físicos, si se mueven o si se encuentran varados en el espacio: mientras la velocidad de la nave no cambie, sus pasajeros permanecerán flotando ingrávidamente en él. Pero en un viaje más realista, la velocidad del vehículo espacial debe empezar desde cero, acelerarse para aumentar progresivamente su velocidad y, en algún momento, empezar a frenarse para llegar a su destino con velocidad cero. Hay muchas maneras de lograr un viaje con estas características, pero el recorrido más sencillo es uno en el que la velocidad se aumenta uniformemente, es decir, se mantiene una aceleración constante. En la física clásica, un cuerpo que se acelera constantemente aumenta indefinidamente su velocidad; pero cuando la velocidad empieza a acercarse a la de la luz, surgen efectos relativistas que hay que tomar en cuenta: se puede demostrar que la velocidad del cuerpo se acerca gradualmente a la velocidad de la luz, pero sin alcanzarla nunca.
Para los tripulantes de un vehículo espacial, lo más cómodo es que la aceleración sea de unos 9.8 m/seg² (es decir, la velocidad aumenta 9.8 metros por segundo cada segundo), o sea, 1 g, la aceleración con que los cuerpos caen en la superficie terrestre debido a la gravedad. De esa forma, los tripulantes se sentirán en cada momento como si estuvieran en la Tierra, en lugar de flotar ingrávidamente (recuérdese que en un vehículo que se acelera, aparece una fuerza inercial que atrae a los ocupantes hacia la parte trasera del vehículo).
Así, un posible itinerario de viaje para ir de la Tierra a una estrella lejana podría ser el siguiente: la nave espacial se acelera uniformemente, aumentando cada vez más su velocidad hasta que, a la mitad del trayecto, el vehículo rota 180 grados y, a partir de ese momento, los motores de la nave la desaceleran (en la segunda parte del trayecto, el techo y el piso del vehículo espacial deben intercambiarse); finalmente, la nave llega a su destino con velocidad cero y sus tripulantes pueden aterrizar en algún planeta de la estrella a la que se dirigieron. El viaje de regreso es semejante: en la primera mitad del trayecto la nave se acelera y en la segunda mitad se desacelera, llegando a la Tierra con velocidad cero para poder aterrizar.
Veamos ahora cuánto tarda un paseo como el descrito. A la aceleración de 1 g, un viaje de ida y vuelta a Alfa Centauri, a cuatro años luz de distancia, tardaría unos 11 años y cuatro meses para los que se quedan en la Tierra, pero sólo siete años para los pasajeros de la nave espacial, debido a la contracción del tiempo. Si el viaje es más largo la diferencia de los tiempos es más notable: por ejemplo, al centro de nuestra galaxia, que se encuentra a 30 000 años luz, el viaje de ida y vuelta tardaría 60 000 años medidos en la Tierra y sólo 40 años para los viajeros cósmicos; la nave espacial alcanzaría una velocidad máxima que sólo difiere una 2 000 millonésima de la velocidad de la luz; sus tripulantes regresarán cuando quizás ya no exista el género humano. Para otras distancias, véase la tabla 1.
Tabla 1. Características de un vuelo interestelar que empieza desde el reposo, aumenta su velocidad con aceleración 1 g, alcanza una velocidad máxima Vmax y se desacelera 1 g hasta llegar con velocidad cero a una distancia D; t es el tiempo del recorrido medido en la Tierra y r es el tiempo transcurrido en la nave espacial. En los viajes de ida y vuelta, los tiempos simplemente se duplican.
| D (años luz) | Vmax/c | t (años) | r (años) |
|---|---|---|---|
| 10 | .986 | 11.8 | 4.9 |
| 100 | .99981 | 101.9 | 9.2 |
| 1000 | .999998 | 1002 | 13.7 |
En conclusión, parecería que los viajes interestelares son más factibles de realizarse gracias al efecto relativista de la contracción del tiempo. Desgraciadamente, el problema de la energía requerida para un viaje cósmico no es de fácil solución, como veremos en el capítulo siguiente. Pero sigamos por ahora sin preocuparnos por la energía y veamos si existe alguna esperanza de traspasar la velocidad de la luz.
¿Más rápido que la luz?
Hemos señalado anteriormente que la velocidad de la luz es una barrera natural a la velocidad que puede adquirir cualquier cuerpo o señal; la energía necesaria para alcanzar esa velocidad es infinita para una partícula masiva, y sólo una partícula sin masa, como el fotón, puede alcanzarla.
Para nuestras necesidades prácticas, la velocidad de la luz es un límite sumamente generoso. La luz tarda sólo 0.13 segundos en dar una vuelta a la Tierra, por lo que la comunicación terrestre no representa ningún problema en cuanto a rapidez. Sin embargo, la limitación impuesta por la velocidad de la luz empieza a manifestarse a escala cósmica. Por ejemplo, la luz tarda entre cuatro y 20 minutos en ir de la Tierra a Marte, dependiendo de las posiciones que estos planetas ocupen; hasta 50 minutos en llegar a Júpiter y una hora y cuarto para alcanzar Saturno. Por esta razón, los vehículos espaciales lanzados a explorar los planetas exteriores del Sistema Solar no pueden teledirigirse instantáneamente desde la Tierra, lo cual dificulta considerablemente su manejo. Y, cuando se envíe una misión tripulada a Marte, la comunicación con los tripulantes no podrá ser directa, sino con retrasos de varios minutos entre recepción y emisión de mensajes. La situación es aún peor para las comunicaciones con las estrellas; nuestra vecina más cercana, Alfa Centauri, se encuentra a cuatro años...
Índice
- Portada
- I. La relatividad de Galileo
- II. Éter, luz y electromagnetismo
- III. La relatividad de Einstein
- IV. Espacio y tiempo
- V. Materia y energía
- VI. Relatividady mecánica cuántica
- VII. Relatividad y gravitación
- VIII. La gravitación en el Universo
- Apéndice
- Índice