Orisangakus
eBook - ePub

Orisangakus

Desafíos matemáticos con papiroflexia

  1. 142 páginas
  2. Spanish
  3. ePUB (apto para móviles)
  4. Disponible en iOS y Android
eBook - ePub

Orisangakus

Desafíos matemáticos con papiroflexia

Descripción del libro

Este libro plantea cuarenta actividades de papiroflexia que se resuelven a través de las matemáticas y responden a conocimientos de geometría de la ESO.

Cuenta con la confianza de 375,005 estudiantes

Acceso a más de 1 millón de títulos por un precio mensual asequible.

Estudia de forma más eficiente usando nuestras herramientas de estudio.

Información

Año
2016
ISBN de la versión impresa
9788467582888
ISBN del libro electrónico
9788467586909
Categoría
Mathematics
Soluciones
1. Ave acuática
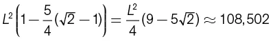
Podemos calcular el área que nos piden restando al área del cuadrado diez veces el área Ap de uno de los triángulos rectángulos pequeños, que son todos ellos semejantes al HMC.
Para calcular Ap tomamos como base el segmento MC de longitud L / 2 y como altura el segmento MH de longitud
.
Vemos así que
y por tanto, el área buscada es
Dado que las longitudes de AF, FG y GB son iguales (como puede verse en la figura) para obtener
nos basta con calcular la longitud del segmento GB, que es simplemente
. Deducimos así que
y con este resultado obtenemos inmediatamente que el área de la región coloreada es
cm2.
2. Dos barcos de vela
Decimos que dos ángulos son complementarios cuando suman 90°. En la Figura 1 ...

Índice

  1. Portadilla
  2. Créditos
  3. Índice
  4. Agradecimientos
  5. Prólogo
  6. Introducción
  7. Símbolos
  8. Orisangakus
  9. Soluciones
  10. Apéndice: algunas razones trigonométricas básicas
  11. Bibliografía
  12. Sobre la autora

Preguntas frecuentes

Sí, puedes cancelar tu suscripción en cualquier momento desde la pestaña Suscripción en los ajustes de tu cuenta en el sitio web de Perlego. La suscripción seguirá activa hasta que finalice el periodo de facturación actual. Descubre cómo cancelar tu suscripción
No, los libros no se pueden descargar como archivos externos, como los PDF, para usarlos fuera de Perlego. Sin embargo, puedes descargarlos en la aplicación de Perlego para leerlos sin conexión en el móvil o en una tableta. Descubre cómo descargar libros para leer sin conexión
Perlego ofrece dos planes: Essential y Complete
  • El plan Essential es ideal para los estudiantes y los profesionales a los que les gusta explorar una amplia gama de temas. Accede a la biblioteca Essential, con más de 800 000 títulos de confianza y superventas sobre negocios, crecimiento personal y humanidades. Incluye un tiempo de lectura ilimitado y la voz estándar de «Lectura en voz alta».
  • Complete: perfecto para los estudiantes avanzados y los investigadores que necesitan un acceso completo sin ningún tipo de restricciones. Accede a más de 1,4 millones de libros sobre cientos de temas, incluidos títulos académicos y especializados. El plan Complete también incluye funciones avanzadas como la lectura en voz alta prémium y el asistente de investigación.
Ambos planes están disponibles con un ciclo de facturación mensual, semestral o anual.
Somos un servicio de suscripción de libros de texto en línea que te permite acceder a toda una biblioteca en línea por menos de lo que cuesta un libro al mes. Con más de un millón de libros sobre más de 990 categorías, ¡tenemos todo lo que necesitas! Descubre nuestra misión
Busca el símbolo de lectura en voz alta en tu próximo libro para ver si puedes escucharlo. La herramienta de lectura en voz alta lee el texto en voz alta por ti, resaltando el texto a medida que se lee. Puedes pausarla, acelerarla y ralentizarla. Obtén más información sobre la lectura en voz alta
¡Sí! Puedes usar la aplicación de Perlego en dispositivos iOS y Android para leer cuando y donde quieras, incluso sin conexión. Es ideal para cuando vas de un lado a otro o quieres acceder al contenido sobre la marcha.
Ten en cuenta que no será compatible con los dispositivos que se ejecuten en iOS 13 y Android 7 o en versiones anteriores. Obtén más información sobre cómo usar la aplicación
Sí, puedes acceder a Orisangakus de Belén Garrido Garrido en formato PDF o ePUB, así como a otros libros populares de Mathematics y Mathematics General. Tenemos más de un millón de libros disponibles en nuestro catálogo para que explores.