
eBook - ePub
Montaje de redes eléctricas aéreas de alta tensión. ELEE0209
- 244 páginas
- Spanish
- ePUB (apto para móviles)
- Disponible en iOS y Android
eBook - ePub
Montaje de redes eléctricas aéreas de alta tensión. ELEE0209
Descripción del libro
Identificar las partes y elementos que constituyen las redes eléctricas aéreas de alta tensión, analizando las características específicas y su función en el marconormativo y reglamentario vigente. Efectuar las operaciones de montaje de apoyos en una red eléctrica. Realizar el tendido y tensado de los cables, instalación de la toma de tierra y elementos de protección, con las herramientas y medios de protección y seguridad adecuados. Realizar la puesta en servicio de una red eléctrica aérea de alta tensión a partir de la documentación técnica. Ebook ajustado al certificado de profesionalidad de Montaje y mantenimiento de redes eléctricas de alta tensión de 2ª y 3ª categoría y centros de transformación.
Cuenta con la confianza de 375,005 estudiantes
Acceso a más de 1 millón de títulos por un precio mensual asequible.
Estudia de forma más eficiente usando nuestras herramientas de estudio.
Información
Categoría
Negocios y empresaCategoría
Industria energéticaCapítulo 1
Distribución de la energía eléctrica
1. Introducción
En el presente capítulo se estudiarán las diferentes formas de distribuir la energía eléctrica conociendo la tipología comúnmente empleada para la red eléctrica, así como la estructuración de la misma.
Además se detallarán los elementos de los que se compone el sistema de distribución de energía eléctrica atendiendo a las diferentes tensiones que pueden encontrarse en la red. Asimismo se describirán los diferentes tipos de subestaciones, centros de transformación y líneas de transporte eléctricas que conforman una red de distribución eléctrica.
Se abordarán los elementos que componen una línea aérea, así como los elementos auxiliares de protección, maniobra y sujeción necesarios y establecidos por normativas e instrucciones, tanto de las administraciones públicas encargadas como de las compañías distribuidoras.
Finalmente se presentará la simbología empleada en el ámbito de la distribución de la energía eléctrica además de incidir en la aplicación práctica para la interpretación de planos tanto de líneas eléctricas como de obra civil o topográficos.
2. Tipos de distribución
La energía puede presentarse en diversas formas: mecánica, térmica, química, nuclear, magnética, etc., sin embargo la forma elegida para el abastecimiento de núcleos poblacionales es la energía eléctrica, aunque en origen provenga de la transformación de alguna de las fuentes anteriores.

Bombillas
Por motivos técnicos y económicos tanto la generación como la transmisión y distribución de la energía eléctrica se realiza mediante sistemas eléctricos trifásicos. Un sistema trifásico no es más que la agrupación de tres líneas o conductores llamadas fases donde existe una tensión eléctrica desplazada en 120º. También existen sistemas formados por una sola fase que son denominados monofásicos. Ambos sistemas necesitan de un conductor sin carga llamado neutro cuya función es producir un diferencial de potencia que haga circular la electricidad.

Sabía que...
La energía eléctrica está formada por la tensión (voltaje) y la intensidad (amperaje).
La tensión es el trabajo necesario para desplazar una partícula cargada mediante un campo eléctrico.

La intensidad es el flujo de electrones que circulan por un conductor.

La fuerza que se opone al paso de la electricidad es la resistencia. En la naturaleza existen materiales que ofrecen baja resistencia al paso de los electrones (conductores) y materiales que apenas permiten el flujo de estos (aislantes).
Generalmente el tipo de corriente que se emplea para el transporte en las líneas de distribución es corriente alterna (CA) trifásica. También puede hacerse uso de la corriente continua (CC), pero se reserva para casos especiales donde la potencia a transportar por la línea entre subestaciones es muy elevada y las distancias que las separan entre sí muy amplias.
2.1. Ventajas de un sistema trifásico
El uso del sistema trifásico en lugar de uno monofásico presenta las siguientes ventajas:
- Para transportar un determinado flujo eléctrico se necesita una sección de conductor mucho menor que en un sistema monofásico, con lo que resulta más económico establecer una red eléctrica trifásica.
- La potencia que proporciona un motor trifásico es mayor que uno monofásico.
- En un sistema monofásico se crea una sola onda eléctrica con lo que su potencial cae tres veces por ciclo, mientras que en un sistema trifásico el desfase de 120º de las ondas hace que la potencia nunca sea cero. En los siguientes gráficos se observa esta diferencia de potencial.


2.2. Distribución de un sistema trifásico
Para mantener la distribución de un sistema trifásico es necesario establecer un conexionado de las cargas que permita un desfase de 120º, a continuación pueden verse los esquemas de conexionado más habituales.
Triángulo
Para este tipo de conexión las tensiones de fase coinciden con las tensiones de línea, mientras que las corrientes de fase son distintas a las de línea. Esto se produce porque la conexión de las tres fuentes generadoras de electricidad se conectan entre sí, como se observa en la imagen siguiente.

Conexionado de las cargas en triángulo. Este sistema de conexión se designa con la letra D.

Nota
A la intensidad que circula por un cable también se le denomina corriente. En este caso existe una corriente o flujo de electrones circulando a través del hilo conductor o cable.
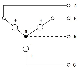
Estrella
En el caso del conexionado de las cargas en estrella las corrientes de fase y de línea son las mismas, sin embargo las tensiones son diferentes. Ello es debido a que cada fuente generadora se conecta directamente con la línea.

Conexionado de las cargas en estrella. Este sistema de conexión se designa con la letra Y.

Importante
Las cargas conectadas en serie mantienen la misma Intensidad mientras que sus tensiones se suman.
Las cargas conectadas en paralelo mantienen la misma tensión mientras que sus intensidades se suman.
Grupos de conexionado
En la práctica las conexiones se realizan mediante grupos de conexión, que consisten en emplear dos de los sistemas anteriormente estudiados. Mediante los grupos de conexión se pueden obtener una serie de ventajas que permiten diseñar una red eléctrica con unas condiciones técnicas favorables a la finalidad de su uso. A continuación se expondrán los esquemas más habituales:
- Conexión estrella-estrella (Y-Y). Presenta la ventaja de disminuir la tensión por fase del transformador, cuando las cargas se encuentran equilibradas.
- Conexión triángulo-triángulo (D-D). Presenta la ventaja de que ante la ...
Índice
- Portada
- Título
- Copyright
- Presentación del manual
- Índice
- Capítulo 1 Distribución de la energía eléctrica
- Capítulo 2 Montaje de apoyos en líneas aéreas de alta tensión
- Capítulo 3 Tendido y tensado de cables en líneas aéreas de alta tensión
- Capítulo 4 Montaje de redes eléctricas de alta tensión
- Capítulo 5 Puesta en servicio de una red eléctrica de alta tensión
- Bibliografía
Preguntas frecuentes
Sí, puedes cancelar tu suscripción en cualquier momento desde la pestaña Suscripción en los ajustes de tu cuenta en el sitio web de Perlego. La suscripción seguirá activa hasta que finalice el periodo de facturación actual. Descubre cómo cancelar tu suscripción
No, los libros no se pueden descargar como archivos externos, como los PDF, para usarlos fuera de Perlego. Sin embargo, puedes descargarlos en la aplicación de Perlego para leerlos sin conexión en el móvil o en una tableta. Descubre cómo descargar libros para leer sin conexión
Perlego ofrece dos planes: Essential y Complete
- El plan Essential es ideal para los estudiantes y los profesionales a los que les gusta explorar una amplia gama de temas. Accede a la biblioteca Essential, con más de 800 000 títulos de confianza y superventas sobre negocios, crecimiento personal y humanidades. Incluye un tiempo de lectura ilimitado y la voz estándar de «Lectura en voz alta».
- Complete: perfecto para los estudiantes avanzados y los investigadores que necesitan un acceso completo sin ningún tipo de restricciones. Accede a más de 1,4 millones de libros sobre cientos de temas, incluidos títulos académicos y especializados. El plan Complete también incluye funciones avanzadas como la lectura en voz alta prémium y el asistente de investigación.
Somos un servicio de suscripción de libros de texto en línea que te permite acceder a toda una biblioteca en línea por menos de lo que cuesta un libro al mes. Con más de un millón de libros sobre más de 990 categorías, ¡tenemos todo lo que necesitas! Descubre nuestra misión
Busca el símbolo de lectura en voz alta en tu próximo libro para ver si puedes escucharlo. La herramienta de lectura en voz alta lee el texto en voz alta por ti, resaltando el texto a medida que se lee. Puedes pausarla, acelerarla y ralentizarla. Obtén más información sobre la lectura en voz alta
¡Sí! Puedes usar la aplicación de Perlego en dispositivos iOS y Android para leer cuando y donde quieras, incluso sin conexión. Es ideal para cuando vas de un lado a otro o quieres acceder al contenido sobre la marcha.
Ten en cuenta que no será compatible con los dispositivos que se ejecuten en iOS 13 y Android 7 o en versiones anteriores. Obtén más información sobre cómo usar la aplicación
Ten en cuenta que no será compatible con los dispositivos que se ejecuten en iOS 13 y Android 7 o en versiones anteriores. Obtén más información sobre cómo usar la aplicación
Sí, puedes acceder a Montaje de redes eléctricas aéreas de alta tensión. ELEE0209 de Francisco José Entrena González en formato PDF o ePUB, así como a otros libros populares de Negocios y empresa y Industria energética. Tenemos más de un millón de libros disponibles en nuestro catálogo para que explores.