Desde antiguo, el reino vegetal proveyó al hombre sustancias naturales a partir de las cuales elaborar productos para la protección, la estética y la salud de su cuerpo. Jugos de plantas y semillas, extractos de hierbas y aguas aromáticas ya eran usadas como ingredientes cosméticos en antiguas culturas orientales y hasta el Paleolítico. Este trabajo aborda la historia, la bioquímica, la fisiología y la tecnología del cuidado de la piel y el cuerpo mediante el uso de componentes naturales extraídos de las plantas. En la actualidad, la tendencia del uso de extractos vegetales en la cosmética se ha hecho dominante, pero también desordenada, por lo que el control de calidad de los ingredientes y su procesamiento requiere protocolos y vigilancias estrictas. Los autores se ocupan de cada uno de estos aspectos, empezando por una didáctica explicación de las características y funciones de la piel.

eBook - ePub
MANUALES
Fitoingredientes y otros productos naturales
- Spanish
- ePUB (apto para móviles)
- Disponible en iOS y Android
eBook - ePub
MANUALES
Fitoingredientes y otros productos naturales
Descripción del libro
Cuenta con la confianza de 375,005 estudiantes
Acceso a más de 1 millón de títulos por un precio mensual asequible.
Estudia de forma más eficiente usando nuestras herramientas de estudio.
Información
Categoría
MedicinaCategoría
FarmacologíaSAPONINAS
JELENA NADINIC
1. Introducción
Las saponinas o saponósidos son estructuras químicas presentes en la naturaleza que tienen la particularidad de reducir la tensión superficial del agua y tienen acciones emulsificantes y detergentes. Estas propiedades, como las del jabón, de donde deriva su nombre, se deben a su estructura, ya que una parte de la molécula está constituida por un elemento soluble en lípidos (el núcleo esteroidal o el triterpenoide) y un elemento soluble en agua (el azúcar), y forman una espuma cuando son agitadas en agua (Bruneton, 2001).
Las saponinas son heterósidos que tienen un elevado peso molecular (PM ~ 600 a 2.000) y su estructura básica (ver cuadro 1) comprende una parte lipofílica, el aglicón o sapogenina, y una parte hidrofílica, el glicón o resto de azúcar. Se encuentran generalmente en mezclas complejas, dada la presencia concomitante de un número variado de azúcares o también de diversos aglicones en la misma especie vegetal. Esto ha dificultado el aislamiento e identificación de estos compuestos, que se ha logrado recientemente debido a los avances en las técnicas cromatográficas y espectroscópicas. Las saponinas tienen un amplio rango de actividades biológicas, tales como su acción antimicótica, antiviral, anticáncer, hipocolesterolémica, hipoglicémica, antitrombótica, diurética, antiinflamatoria y molusquicida (Hostettmann y Marston, 1995).
1.1. Propiedades generales de las saponinas
Poseen elevada solubilidad en agua.
Tienen propiedades afrógenas y tensioactivas: en disoluciones acuosas forman una espuma abundante y persistente, estable por acción de ácidos minerales diluidos.
Son hemolíticas y venenosas para animales de sangre fría (acción ictiotóxica) debido a que afectan ciertas membranas celulares.
Tienen interés industrial para la hemisíntesis de moléculas medicamentosas esteroides, por sus propiedades farmacológicas en preparaciones farmacéuticas y en fitoterapia y cosmética por sus numerosas propiedades, entre ellas detergentes.

1.2. Estructura
De acuerdo a la estructura de la sapogenina, de naturaleza lipofílica, las saponinas pueden clasificarse en:
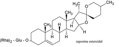
Esteroidales: poseen un esqueleto de 27 átomos de carbono, conformados habitualmente en un sistema de seis ciclos. Estas saponinas se encuentran casi exclusivamente en Angiospermas Monocotiledóneas, en las familias Liliáceas, Agaváceas, Dioscoreáceas, Fabáceas, Solanáceas y Escrofulariáceas, entre otras. Pueden dar lugar a saponinas neutras, si tienen un núcleo espirostano o furostano, o a saponinas básicas, si poseen nitrógeno en su anillo F (figura 1), conformando el grupo de alcaloides esteroidales, característicos de las Solanáceas. Todas estas estructuras tienen actividades biológicas de interés.
Triterpénicas: poseen un esqueleto de 30 átomos (figura 2), que puede ser tetracíclico (núcleo damarano) o pentacíclico (núcleo α y β-amirina y lupeol), y son las saponinas más distribuidas en la naturaleza, encontrándose especialmente en las Angiospermas Dicotiledóneas: Araliáceas, Cariofiláceas, Cucurbitáceas, Rosáceas, Sapindáceas, entre otras.
Los azúcares u osas que forman parte de la estructura de las saponinas, son comunes: D-glucosa, D-galactosa, L-arabinosa, L-ramnosa, D-xilosa, D-fucosa, ácido D-glucurónico. Las moléculas de saponinas contienen por lo general entre 3 y 5 osas, pudiendo encontrarse hasta 11, siendo poco frecuente que contengan sólo un azúcar. Este resto glicosídico, que puede ser lineal o ramificado, en la mayoría de los casos se une con el aglicón a través del C-3 del mismo, pudiendo tener otra cadena en otra posición, ya sea por un enlace tipo éter o tipo éster. De acuerdo a si posee una o dos cadenas se las llama monodesmósidos o bidesmósidos.

Figura Nº 1. Saponina esteroidal

Figura Nº 2. Saponina triterpénica (núcleo β-amirina u oleanano): escina
1.3. Propiedades fisicoquímicas
Son sólidos amorfos
Son solubles en agua y alcoholes
Forman aductos con el colesterol
Precipitan con sales de plomo
Dan positiva la reacción de Liebermann Buchard (anhidrido acético-ácido sulfúrico)
Dan positiva las reacciones para azúcares: Molisch (α-naftol/ácido sulfúrico) o antrona/sulfúrico
1.4. Extracción y purificación
En la literatura se describen las metodologías utilizadas que pueden resumirse en los siguientes pasos:
Desengrasado del material vegetal: para eliminar los compuestos lipídicos que puedan afectar operaciones ulteriores. El desengrase con un solvente, como por ejemplo el éter de petróleo, puede realizarse sobre el material vegetal o sobre los extractos obtenidos de éste.
Obtención del extracto crudo de saponinas: se realiza empleando solventes polares como agua caliente, o mezclas hidroalcohólicas de metanol y etanol. Posteriormente se elimina el alcohol y se realiza una partición de la fase acuosa con n-butanol, muy utilizado por su especificidad, quedando en la fase orgánica las saponinas, que luego se precipitan con el agregado de éter etílico.
Los métodos de obtención tradicionalmente usados son maceración, lixiviación, en soxhlets, y más recientemente procesos asistidos por ultrasonido y por microondas que reducen tanto el tiempo de extracción como la cantidad de solvente utilizado, representando una gran ventaja sobre los otros métodos que requieren un tiempo de contacto mayor para igual rendimiento del extracto (Joong-Ho Kwon et al., Kerem et al.).
Para obtener sapogeninas se realiza una hidrólisis de las saponinas, utilizando un ácido mineral como HCl o H2SO4. Luego las sapogeninas son extraídas con solventes medianamente polares como acetato de etilo, cloruro de metileno y cloroformo.
1.5. Análisis cualitativo y cuantitativo
Caracterización. Las reacciones de caracterización recomendadas para las especies vegetales con saponinas están basadas en sus propiedades afrógenas y hemolíticas.
Para hacer el análisis cualitativo se utiliza el método recomendado por la OMS para drogas vegetales con saponinas, que es la formación de una espuma persistente de una decocción.
Para el análisis cuantitativo se utilizan las determinaciones de:
Índice de espuma: máxima dilución de una infusión o decocción que produce una espuma persistente.
Índice hemolítico: máxima dilución de un preparado de una decocción con una solución buffer o con suero fisiológico que produce hemólisis de glóbulos rojos.
La descripción de las técnicas está disponible en los manuales de Organización Mundial de la Salud (WHO).
Otras reacciones de caracterización incluyen reacciones coloreadas:
Aldehídos aromáticos: anisaldehído, vainillina y otros aldehídos, en presencia de un ácido fuerte como sulfúrico, fosfórico o perclórico, producen una reacción coloreada con los aglicones.
Reacción de Liebermann-Burchard: los triterpenos hidroxilados e insaturados, así como los esteroides, dan productos de color rojo, azul o verde, con anhídrido acético y ácido sulfúrico. Puede hacerse una diferenciación entre los tipos de sapogeninas, ya que las triterpénicas dan una coloración entre rosa y púrpura y las esteroidales entre azul y verde.
Sulfato de cerio (IV) y sales de hierro (III) con ácidos inorgánicos como el sulfúrico: dan soluciones violeta-rojizas con saponinas.
Purificación y aislamiento. Los métodos cromatográficos que se usan para aislar y purificar saponinas son la cromatografía de capa delgada preparativa (CCDP) y cromatografía de columna (CC). Los adsorbentes más utilizados son alúmina, silicagel de diferentes granulometrías y Sephadex LH-20. Los métodos cromatográficos instrumentales como la cromatografía gaseosa (CG), la cromatografía líquida de alta resolución (HPLC) y otras técnicas como la cromatografía de partición a contracorriente RLCC (Rotation Locular Countercurrent Chromatography) y DCCC (Droplet Countercurrent Chromatography) se usan también con estos propósitos (Hostettmann y Marston, 1995).
Identificación y valoración. Numerosos métodos han sido utilizados para valorar el contenido de saponinas en un extracto, que incluyen los ya descriptos para su caracterización, como el índice hemolítico, índice de espuma, actividad piscicida, gravimetría, espectrofotometría, densitometría, cromatografía en capa delgada, CG y HPLC. Las distintas farmacopeas describen ensayos para las drogas que contienen saponinas. Por lo general son determinaciones espectrofotométricas basadas en la formación de soluciones coloreadas producidas por el agregado de reactivos. A pesar de ser una técnica muy sensible, la espectrofotometría no es específica, ya que las reacciones coloreadas pueden deberse a la presencia en el extracto de otros componentes como flavonoides y fitoesteroles (Hostettmann y Marston, 1995).
Para la identificación de las sustancias aisladas las técnicas cromatográficos asociadas como HPLC-UV, HPLC-MS, GC-MS u otras combinaciones son de gran utilidad (Oleszek y Bialy, 2006).
Los sistemas cromatográficos más comúnmente utilizados en CCD para la identificación y valoración de saponinas y sapogeninas pueden verse en el cuadro 2.
| Sistemas cromatográficos para cromatografía en capa delgada Fase estacionaria Silicagel G o HF 254 Fase móvil Saponinas BuOH-1: AcOH: Agua (4:1:1) n-Hexano: AcOEt (1:1) Cl3CH: MeOH: Agua (65:35:10, fase inferior) Sapogeninas Cl3CH: Acetona (9:1) n-hexano: AcOEt (1:1) Cl3CH: EtOH (95:5) Reactivos Reveladores I2, SO4H2, ácido p-toluensulfónico, SbCl3/Cl3CH |
1.6. Actividades biológicas
Las propiedades biológicas de las saponinas están basadas en sus propiedades físicas en solución por su comportamiento anfifílico. Son fuertemente activas sobre la tensión superficial, dan soluciones espumosas estables y actúan como agentes emulsificantes, produciendo micelas similares a las de los detergentes. Las saponinas, especialmente los bidesmósidos, aumentan la solubilidad de compuestos insolubles en agua (Hostettmann y Marston, 1995).
Este comportamiento anfifílico y la propiedad de formar complejos con los esteroides, proteínas y fosfolípidos de las membranas celulares provocan una alteración en la permeabilidad de las mismas o causan la destrucción de las células. Esta actividad está relacionada a las propiedades hemolíticas, ictiotóxicas y molusquicidas frecuentemente observadas en plantas con saponinas.
La actividad antimicrobiana y antifúngica de las saponinas fue muy investigada dado que serían una barrera de defensa contra el ataque de microorganismos en las plantas: verificándose en especies como Calendula arvensis, Gymnema sylvestris, Glycyrrhiza glabra, Hedera helix, entre otras. La actividad parece ser más efectiva para los monodesmósidos, saponinas con el resto sacarídico generalmente en C-3, como es el caso del potente activo antibiótico α-hederina, presente en la Hedera helix, que proviene de la hidrólisis del bidesmósido hederasaponina C, que es inactivo. Lo mismo ocurre para la actividad antifúngica donde, salvo excepciones, las más activas son las saponinas monodesmósidos y es máxima cuando la cadena de azúcares no supera los 4 o 5 azúcares.
La actividad antiinflamatoria es de especial interés ya que la mayoría de las especies que contienen saponinas presentan esta propiedad. El castaño de Indias, el regaliz, la polígala, la ...
Índice
- Portadilla
- Prólogo
- Introducción a la fitocosmética. Jelena Nadinic
- Piel. Silvia H. Pérez Damonte
- Obtención de fitoingredientes para la industria cosmética. Catalina M. van Baren
- Control de calidad de materias primas vegetales usadas en cosmética. Oksana Hnatyszyn
- Polifenoles en cosmética. Flavonoides. Graciela E. Ferraro
- Polifenoles en cosmética. Taninos. Virginia S. Martino
- Lípidos. Liliana V. Muschietti
- Saponinas. Jelena Nadinic
- Hidratos de carbono. Monosacáridos y polisacáridos. Rosana Filip
- Hidratos de carbono. Aloe. Adriana M. Broussalis
- Hidratos de carbono. Otros polisacáridos. Adriana M. Broussalis
- Plantas aromáticas, aceites esenciales y resinas. Arnaldo L. Bandoni
- Vitaminas. Patricia S. Palacios
- Proteínas. Péptidos. Patricia S. Palacios
- Alfa hidroxiácidos (aha). Adriana M. Broussalis
- Ingredientes de origen animal en cosmética. Adriana M. Broussalis
- Conceptos básicos aplicados al desarrollo y manufactura de formulaciones cosméticas. Betina Martínez y Marcelo C. Nacucchio
Preguntas frecuentes
Sí, puedes cancelar tu suscripción en cualquier momento desde la pestaña Suscripción en los ajustes de tu cuenta en el sitio web de Perlego. La suscripción seguirá activa hasta que finalice el periodo de facturación actual. Descubre cómo cancelar tu suscripción
No, los libros no se pueden descargar como archivos externos, como los PDF, para usarlos fuera de Perlego. Sin embargo, puedes descargarlos en la aplicación de Perlego para leerlos sin conexión en el móvil o en una tableta. Descubre cómo descargar libros para leer sin conexión
Perlego ofrece dos planes: Essential y Complete
- El plan Essential es ideal para los estudiantes y los profesionales a los que les gusta explorar una amplia gama de temas. Accede a la biblioteca Essential, con más de 800 000 títulos de confianza y superventas sobre negocios, crecimiento personal y humanidades. Incluye un tiempo de lectura ilimitado y la voz estándar de «Lectura en voz alta».
- Complete: perfecto para los estudiantes avanzados y los investigadores que necesitan un acceso completo sin ningún tipo de restricciones. Accede a más de 1,4 millones de libros sobre cientos de temas, incluidos títulos académicos y especializados. El plan Complete también incluye funciones avanzadas como la lectura en voz alta prémium y el asistente de investigación.
Somos un servicio de suscripción de libros de texto en línea que te permite acceder a toda una biblioteca en línea por menos de lo que cuesta un libro al mes. Con más de un millón de libros sobre más de 990 categorías, ¡tenemos todo lo que necesitas! Descubre nuestra misión
Busca el símbolo de lectura en voz alta en tu próximo libro para ver si puedes escucharlo. La herramienta de lectura en voz alta lee el texto en voz alta por ti, resaltando el texto a medida que se lee. Puedes pausarla, acelerarla y ralentizarla. Obtén más información sobre la lectura en voz alta
¡Sí! Puedes usar la aplicación de Perlego en dispositivos iOS y Android para leer cuando y donde quieras, incluso sin conexión. Es ideal para cuando vas de un lado a otro o quieres acceder al contenido sobre la marcha.
Ten en cuenta que no será compatible con los dispositivos que se ejecuten en iOS 13 y Android 7 o en versiones anteriores. Obtén más información sobre cómo usar la aplicación
Ten en cuenta que no será compatible con los dispositivos que se ejecuten en iOS 13 y Android 7 o en versiones anteriores. Obtén más información sobre cómo usar la aplicación
Sí, puedes acceder a MANUALES de Jelena L. Nadinic,Arnaldo L. Bandoni,Virginia S. Martino,Graciela E. Ferraro en formato PDF o ePUB, así como a otros libros populares de Medicina y Farmacología. Tenemos más de un millón de libros disponibles en nuestro catálogo para que explores.