
- Italian
- ePUB (disponibile su mobile)
- Disponibile su iOS e Android
2. Cinematica
Informazioni su questo libro
All'inizio vi sono le note di teoria.24 quesiti con risposta interattiva Vero / Falso; spiegazioni dettagliate richiamate da ciascun esercizio con ritorno all'esercizio stesso; autovalutazione e ripetizione dei quesiti.20 problemi con la loro soluzione9 problemi da risolvere da parte dello studente, con il risultato finale.In conclusione, una raccolta sufficiente e necessaria per superare l'esame di Fisica.Prima di cimentarsi con questi esercizi di Cinematica è consigliato svolgere quelli del volume sui Vettori.L'autore è stato titolare della cattedra di Fisica all'Università Statale di Milano, dove ha insegnato per quarant'anni.Le sue dispense per la preparazione agli esami sono note per la loro efficacia. Con la Collana di Fisica, ha voluto mettere la sua stessa esperienza didattica in e-book.
Tools to learn more effectively

Saving Books

Keyword Search

Annotating Text

Listen to it instead
Informazioni
Prefazione
MICHELANGELO FAZIO
FISICA

2. CINEMATICA
AVVERTENZA: Si raccomanda di completare
prima l'eserciziario
1. Vettori. Errori. Probabilità.

Nota di redazione
Selezionando le alternative e dando poi "conferma", compare la segnalazione delle risposte corrette e di quelle errate. Il quadratino della risposta che è stata data ha al suo interno un punto.
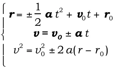
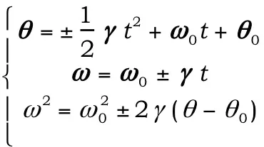
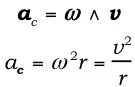
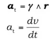
Formulario









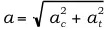
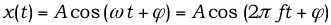
Moto armonico semplice
| x | elongazione |
| A | ampiezza |
| ω | pulsazione |
| φ | costante di fase |
| ω t + φ | fase |
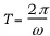
![]() | periodo |
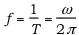
![]() | frequenza |


Unità di misura
| Posizione, spostamento… | metro (m) |
| Velocità | metro al secondo (m/s) kilometro all’ora (km/h) 1 m/s = 3,6 km/h |
| Accelerazione | metro al secondo quadrato (m / s2) |
| Angolo piano, fase | radiante (rad) 1 rad = 57,3° |
| Velocità angolare | radianti al secondo (rad/s) |
| Accelerazione angolare | radianti al secondo quadrato (rad / s2) |
| Periodo | secondi (s) |
| Frequenza | hertz (Hz) |
QUESITI
Q 2.1
| Vero | Falso | ||
|---|---|---|---|
| a. | La velocità iniziale è 1 m/s. | ||
| b. | La posizione iniziale è 3 m. | ||
| c. | Il moto è uniformemente accelerato. | ||
| d. | L’accelerazione all’istante t = 1 s è 4 m/s2. | ||
| e. | La velocità all’istante t = 1 s è nulla. |
Q 2.2
| Vero | Falso | ||
|---|---|---|---|
| a. | Comunque uno scalare. | ||
| b. | 11,1 m/s. | ||
| c. | 45 km/h. | ||
| d. | Il rapporto tra la distanza percorsa e il tempo impiegato. | ||
| e. | 2 v1 v2/(v1 + v2). |
Q 2.3
| Vero | Falso | ||
|---|---|---|---|
| a. | Spostamento è sinonimo di movimento. | ||
| b. | Il movimento è un cambiamento di posizione nel tempo. | ||
| c. | La legge oraria del moto descrive come varia la traiettoria nel tempo. | ||
| d. | La traiettoria è la linea descritta da un punto nel piano (x,t). | ||
| e. | Le equazioni parametriche esprimono la dipendenza delle coordinate di un punto dal tempo. |
Q 2.4

| Vero | Falso | ||
|---|---|---|---|
| a. | L’accelerazione all’istante t = 1 s vale 3 m/s2. | ||
| b. | Il moto è uniformemente accelerato. | ||
| c. | Il punto è inizialmente nell’origine. | ||
| d. | La legge oraria del moto è x =3t2/2. | ||
| e. | La velocità iniziale è nulla. |
Q 2.5
| Vero | Falso | ||
|---|---|---|---|
| a. | La presenza di attriti che rallentava il moto in aria... |
Indice dei contenuti
- Start
Domande frequenti
- Essential è l'ideale per studenti e professionisti che amano esplorare un'ampia gamma di argomenti. Accedi alla libreria Essential, che include oltre 800.000 titoli di comprovata qualità e bestseller in vari settori, tra cui business, crescita personale e discipline umanistiche. Include tempo di lettura illimitato e voce standard per la sintesi vocale.
- Complete: perfetto per studenti e ricercatori esperti che necessitano di un accesso completo e illimitato. Accedi a oltre 1,4 milioni di libri su centinaia di argomenti, inclusi titoli accademici e specialistici. Il piano Complete include anche funzionalità avanzate come la sintesi vocale premium e l'assistente di ricerca.
I dispositivi con iOS 13 e Android 7 o versioni precedenti non sono supportati. Scopri di più su come utilizzare l'app

