
- English
- ePUB (mobile friendly)
- Available on iOS & Android
Loop-shaping Robust Control
About this book
The loop-shaping approach consists of obtaining a specification in relation to the open loop of the control from specifications regarding various closed loop transfers, because it is easier to work on a single transfer (in addition to the open loop) than on a multitude of transfers (various loopings such as set point/error, disturbance/error, disturbance/control, etc.). The simplicity and flexibility of the approach make it very well adapted to the industrial context.
This book presents the loop-shaping approach in its entirety, starting with the declension of high-level specifications into a loop-shaping specification. It then shows how it is possible to fully integrate this approach for the calculation of robust and efficient correctors with the help of existing techniques, which have already been industrially tried and tested, such as H-infinity synthesis. The concept of a gap metric (or distance between models) is also presented along with its connection with the prime factors of a set of systems shaping a ball of models, as well as its connections with robust synthesis by loop-shaping, in order to calculate efficient and robust correctors. As H-infinity loop-shaping is often demanding in terms of the order of correctors, the author also looks at loop-shaping synthesis under an ordering constraint. Two further promising lines of research are presented, one using stochastic optimization, and the other non-smooth optimization. Finally, the book introduces the concept of correction with two degrees of freedom via the formalism of prime factorization.
Avenues for future work are also opened up by the author as he discusses the main drawbacks to loop-shaping synthesis, and how these issues can be solved using modern optimization techniques in an increasingly competitive industrial context, in accordance with ever more complex sets of functional specifications, associated with increasingly broad conditions of usage.
Contents
Introduction
1. The Loop-shaping Approach
2. Loop-shaping H-infinity Synthesis
3. Two Degrees-of-Freedom Controllers
4. Extensions and Optimizations
Appendix 1. Demonstrative Elements on the Optimization of Robust Stabilization with Order Constraint
Appendix 2. Establishment of Real LMIs for the Quasi-Convex Problem of Optimization of the Weighting Functions
About the Authors
Philippe Feyel is an R&D Engineer for the high-tech company Sagem Défense Sécurité, part of the defence and security business of the SAFRAN group, in Paris, France.
Tools to learn more effectively

Saving Books

Keyword Search

Annotating Text

Listen to it instead
Information
Chapter 1
The Loop-shaping Approach
1.1. Principle of the method
1.1.1. Introduction
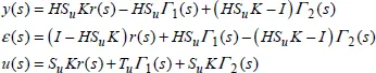
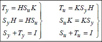
1.1.2. Sensitivity functions


1.1.2.1. Output sensitivity functions





1.1.2.2. Input sensitivity functions










1.1.3. Declination of performance objectives
Table of contents
- Cover
- Table of Contents
- Title Page
- Copyright Page
- Introduction
- Chapter 1: The Loop-shaping Approach
- Chapter 2: Loop-shaping H∞ Synthesis
- Chapter 3: Two Degrees-of-Freedom Controllers
- Chapter 4: Extensions and Optimizations
- APPENDICES
- Bibliography
- Index
Frequently asked questions
- Essential is ideal for learners and professionals who enjoy exploring a wide range of subjects. Access the Essential Library with 800,000+ trusted titles and best-sellers across business, personal growth, and the humanities. Includes unlimited reading time and Standard Read Aloud voice.
- Complete: Perfect for advanced learners and researchers needing full, unrestricted access. Unlock 1.4M+ books across hundreds of subjects, including academic and specialized titles. The Complete Plan also includes advanced features like Premium Read Aloud and Research Assistant.
Please note we cannot support devices running on iOS 13 and Android 7 or earlier. Learn more about using the app