Materials and Structures under Shock and Impact
eBook - ePub

Materials and Structures under Shock and Impact

  1. English
  2. ePUB (mobile friendly)
  3. Available on iOS & Android
eBook - ePub

Materials and Structures under Shock and Impact

About this book

Materials and Structures under Shock and Impact

In risk studies, engineers often have to consider the consequences of an accident leading to a shock on a construction. This can concern the impact of a ground vehicle or aircraft, or the effects of an explosion on an industrial site.

This book presents a didactic approach starting with the theoretical elements of the mechanics of materials and structures, in order to develop their applications in the cases of shocks and impacts. The latter are studied on a local scale at first. They lead to stresses and strains in the form of waves propagating through the material, this movement then extending to the whole of the structure.

The first part of the book is devoted to the study of solid dynamics where nonlinear behaviors come into play. The second part covers structural dynamics and the evaluation of the transient response introduced at the global scale of a construction. Practical methods, simplified methods and methods that are in current use by engineers are also proposed throughout the book.

Trusted by 375,005 students

Access to over 1 million titles for a fair monthly price.

Study more efficiently using our study tools.

Information

Publisher
Wiley-ISTE
Year
2013
Print ISBN
9781848216518
eBook ISBN
9781118815717

PART 1

Dynamics of Solids

Chapter 1

Motion within Solids

The concept of stress and strain waves emerges from the equations of motion in elastic continuum. Uniaxial propagation is particularly well-studied because of its practical importance. The waves can be altered within their propagation by dispersion and dissipation. For viscoelastic solids, we can address the effects of behavior sensitive to strain in a linear framework.

1.1. Representation of the medium

1.1.1. Framework of continuum mechanics

The problem for the engineer is to describe the position (or displacement) of solids and fluids. This mechanism is of a macroscopic scale. On this macroscopic scale, solid or fluid matter can be seen as continuous, which is not the case at the microscopic level of particles, molecules and atoms. The macroscopic scale is not the same for all materials: a fraction of a millimeter for a metal, a few inches for geomaterials such as rock or concrete.
In this book, we only refer to classical mechanical engineering knowledge of continuum mechanics and structural strength. This chapter intends to recall the basics of continuum motion when these can be described by linear equations, such as in the context of small strains and elastic or viscoelastic material behavior.

1.1.2. Representation of motion

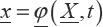
The motions in matter are identified in an affine Euclidean space. A point in matter which occupies position M0 at time 0, defined by the vector
4_1.gif
is in position Mt at time t, defined by the vector
4_2.gif
. A certain amount of matter that occupies the simply connected domain Ω0 at time 0, also occupies the simply connected domain Ωt at time t (Figure 1.1).
[1.1]
eq_1.1.gif
Figure 1.1. Material field in its initial position and after transformation
p4_1.gif
The description of these movements can be given from two points of view: one is called “Lagrangian” and the other is called “Eulerian”. The Lagrangian description involves following the matter points in their motion. The current position, or displacement, is expressed depending on the initial position and t, using a continuous vector function [1.2] that defines the trajectories (this is a bijection of Ω0 to Ωt, due to the continuity of displacement of the system):
[1.2]
eq_1.2.gif
The Eulerian description involves the knowledge of the velocity field at each moment relative to the current position. The Eulerian description of the velocity field involves specifying the velocity of the particle passing position
4_2.gif
at time t [1.3]:
[1.3]
eq_1.3.gif
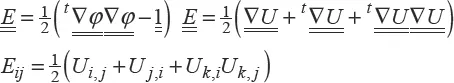
If the Eulerian velocity field does not depend on time, the motion is stationary. Eulerian representation is mainly used for fluids and materials undergoing very large strains. In the remaining chapter, we use the Lagrangian point of view. The strain is characterized by the Green–Lagrange strain tensor [1.4]:
[1.4]
eq_1.4.gif
In many cases for solids, displacements and strains are very small (0.001% elongation, for example). A linearization is then performed by retaining only the first-order infinitesimal. This is called the linearized strain tensor [1.5]:
[1.5]
eq_1.5.gif
It is this tensor that will be most widely used. Each component has a simple physical significance: εii represents the relative elongation in direction i. εij (ij) represents the angular distortion relative to the two directions i and j. The tensor trace, equal to the divergence of the displacement vector, represents the relative change in volume. The partition of the strain tensor in its spherical part, which is related to the change in volume, and its deviatoric part, which is related to the change of form [1.6], is used:
[1.6]
eq_1.6.gif

1.1.3. Representation of internal forces

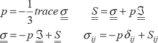
In a continuum, internal forces can be represented either by a scalar field, pressure
6_1.gif
, or by a tensorial field, the Cauchy stress tensor. In an orthonormal frame, this tensor is represented by a symmetric matrix [1.7]. Figure 1.2 shows a representation of the components of the stress tensor of a material whose faces are normal to the reference axes wherein the said tensor is expressed:
[1.7]
eq_1.7.gif
For solids, it is customary to partition the stress tensor into a so-called “spherical” or isotropic part, characterized by pressure p, and a so-called “deviatoric” part [1.8]:
[1.8]
eq_1.8.gif
The representation of internal forces by pressure concerns, a priori, non-viscous fluids. However, when shocks occur in solids, the pressure can become very large and the terms of the deviatoric part (shear stress) may be negligible compared to the pressure. In these cases, it is possible to retain only pressure to represent internal forces. This is a hydrodynamic model of a material.
Figure 1.2. Representation of the components of the Cauchy stress tensor on a piece of material
p6_1.gif
Writing the behavior or resistance of a material logically involves stress tensor invariants. Besides the main constraints (σI, σII, σIII) that are the eigenvalues of the matrix representing the stress tensor, various invariants of this tensor are used:
– The first invariant of the stress tensor, which defines the pressure [1.9]:
[1.9]
eq_1.9.gif
– The second invariant of the deviator tensor, which ...

Table of contents

  1. Cover Page
  2. Contents
  3. Title Page
  4. Copyright Page
  5. Introduction
  6. Part 1: Dynamics of Solids
  7. Part 2: Dynamic of Structures
  8. Bibliography
  9. Index

Frequently asked questions

Yes, you can cancel anytime from the Subscription tab in your account settings on the Perlego website. Your subscription will stay active until the end of your current billing period. Learn how to cancel your subscription
No, books cannot be downloaded as external files, such as PDFs, for use outside of Perlego. However, you can download books within the Perlego app for offline reading on mobile or tablet. Learn how to download books offline
Perlego offers two plans: Essential and Complete
  • Essential is ideal for learners and professionals who enjoy exploring a wide range of subjects. Access the Essential Library with 800,000+ trusted titles and best-sellers across business, personal growth, and the humanities. Includes unlimited reading time and Standard Read Aloud voice.
  • Complete: Perfect for advanced learners and researchers needing full, unrestricted access. Unlock 1.4M+ books across hundreds of subjects, including academic and specialized titles. The Complete Plan also includes advanced features like Premium Read Aloud and Research Assistant.
Both plans are available with monthly, semester, or annual billing cycles.
We are an online textbook subscription service, where you can get access to an entire online library for less than the price of a single book per month. With over 1 million books across 990+ topics, we’ve got you covered! Learn about our mission
Look out for the read-aloud symbol on your next book to see if you can listen to it. The read-aloud tool reads text aloud for you, highlighting the text as it is being read. You can pause it, speed it up and slow it down. Learn more about Read Aloud
Yes! You can use the Perlego app on both iOS and Android devices to read anytime, anywhere — even offline. Perfect for commutes or when you’re on the go.
Please note we cannot support devices running on iOS 13 and Android 7 or earlier. Learn more about using the app
Yes, you can access Materials and Structures under Shock and Impact by Patrice Bailly in PDF and/or ePUB format, as well as other popular books in Technologie et ingénierie & Génie mécanique. We have over one million books available in our catalogue for you to explore.