Linear Models
eBook - ePub

Linear Models

  1. English
  2. ePUB (mobile friendly)
  3. Available on iOS & Android
eBook - ePub

Linear Models

About this book

This 1971 classic on linear models is once again available--as a Wiley Classics Library Edition. It features material that can be understood by any statistician who understands matrix algebra and basic statistical methods.

Tools to learn more effectively

Saving Books

Saving Books

Keyword Search

Keyword Search

Annotating Text

Annotating Text

Listen to it instead

Listen to it instead

CHAPTER 1

GENERALIZED INVERSE MATRICES

1. INTRODUCTION

The application of generalized inverse matrices to linear statistical models is of relatively recent occurrence. As a mathematical tool such matrices aid in understanding certain aspects of the analysis procedures associated with linear models, especially the analysis of unbalanced data, a topic to which considerable attention is given in this book. An appropriate starting point is therefore a summary of the features of generalized inverse matrices that are important to linear models. Other ancillary results in matrix algebra are also discussed.
a. Definition and existence
A generalized inverse of a matrix A is defined, in this book, as any matrix G that satisfies the equation
(1)
equation
The name ā€œgeneralized inverseā€ for matrices G defined by (1) is unfortunately not universally accepted, although it is used quite widely. Names such as ā€œconditional inverseā€, ā€œpseudo inverseā€ and ā€œg-inverseā€ are also to be found in the literature, sometimes for matrices defined as is G of (1) and sometimes for matrices defined as variants of G. However, throughout this book the name ā€œgeneralized inverseā€ of A is used exclusively for any matrix G satisfying (1).
Notice that (1) does not define G as ā€œtheā€ generalized inverse of A but as ā€œaā€ generalized inverse. This is because G, for a given matrix A, is not unique. As shown below, there is an infinite number of matrices G that satisfy (1) and so we refer to the whole class of them as generalized inverses of A.
One way of illustrating the existence of G and its non-uniqueness starts with the equivalent diagonal form of A. If A has order p Ɨ q the reduction to this diagonal form can be written as
equation
or, more simply, as
equation
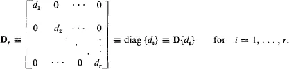
As usual, P and Q are products of elementary operators [see, for example, Searle (1966), Sec. 5.7], r is the rank of A and Dr is a diagonal matrix of order r. In general, if d1 d2, …, dr, are the diagonal elements of any diagonal matrix D we will use the notation D{di} for Dr; i.e.,
(2)
equation
Furthermore, as in Ī”, null matrices will be represented by the symbol 0, with order being determined by context on each occasion.
Derivation of G comes easily from Ī”. Analogous to Ī” we define Ī”āˆ’ (to be read as ā€œĪ” minusā€) as
equation
Then, as shown below,
(3)
equation
satisfies (1). Hence G is a generalized inverse of A. Clearly G as given by (3) is not unique, for neither...

Table of contents

  1. Cover
  2. Half Title page
  3. Title page
  4. Copyright page
  5. Preface
  6. Chapter 1: Generalized Inverse Matrices
  7. Chapter 2: Distributions and Quadratic Forms
  8. Chapter 3: Regression, or the Full Rank Model
  9. Chapter 4: Introducing Linear Models: Regression on Dummy Variables
  10. Chapter 5: Models Not of Full Rank
  11. Chapter 6: Two Elementary Models
  12. Chapter 7: The 2-Way Crossed Classification
  13. Chapter 8: Some Other Analyses
  14. Chapter 9: Introduction to Variance Components
  15. Chapter 10: Methods of Estimating Variance Components from Unbalanced Data
  16. Chapter 11: Variance Component Estimation from Unbalanced Data: Formulae
  17. Literature Cited
  18. Statistical Tables
  19. Index

Frequently asked questions

Yes, you can cancel anytime from the Subscription tab in your account settings on the Perlego website. Your subscription will stay active until the end of your current billing period. Learn how to cancel your subscription
No, books cannot be downloaded as external files, such as PDFs, for use outside of Perlego. However, you can download books within the Perlego app for offline reading on mobile or tablet. Learn how to download books offline
Perlego offers two plans: Essential and Complete
  • Essential is ideal for learners and professionals who enjoy exploring a wide range of subjects. Access the Essential Library with 800,000+ trusted titles and best-sellers across business, personal growth, and the humanities. Includes unlimited reading time and Standard Read Aloud voice.
  • Complete: Perfect for advanced learners and researchers needing full, unrestricted access. Unlock 1.4M+ books across hundreds of subjects, including academic and specialized titles. The Complete Plan also includes advanced features like Premium Read Aloud and Research Assistant.
Both plans are available with monthly, semester, or annual billing cycles.
We are an online textbook subscription service, where you can get access to an entire online library for less than the price of a single book per month. With over 1 million books across 990+ topics, we’ve got you covered! Learn about our mission
Look out for the read-aloud symbol on your next book to see if you can listen to it. The read-aloud tool reads text aloud for you, highlighting the text as it is being read. You can pause it, speed it up and slow it down. Learn more about Read Aloud
Yes! You can use the Perlego app on both iOS and Android devices to read anytime, anywhere — even offline. Perfect for commutes or when you’re on the go.
Please note we cannot support devices running on iOS 13 and Android 7 or earlier. Learn more about using the app
Yes, you can access Linear Models by Shayle R. Searle in PDF and/or ePUB format, as well as other popular books in Mathematics & Probability & Statistics. We have over one million books available in our catalogue for you to explore.