Thoroughly updated, incorporating around 25 % new material, Sewald/Jakubke remains the only modern and scientifically up-to-date advanced textbook on peptide biochemistry, distilling the knowledge of hundreds of publications into a highly readable synopsis of this diverse field.
The authors explain the broad fundamentals of peptide synthesis and structure, systematically addressing important families of biologically active peptides, and adopting an interdisciplinary approach that covers application areas in biotechnology, pharmaceutical science, and biomedicine. One major focus is on such "hot" research topics as pseudopeptides, peptidomimetics, and combinatorial synthesis.
This new edition also features study questions for each learning unit, for easier self-study and classroom teaching.

- English
- ePUB (mobile friendly)
- Available on iOS & Android
eBook - ePub
About this book
Trusted byĀ 375,005 students
Access to over 1.5 million titles for a fair monthly price.
Study more efficiently using our study tools.
Information
1
Introduction and Background
Peptide research has experienced considerable development during the past few decades. The progress in this important discipline of natural product chemistry is reflected in a flood of scientific data. The number of scientific publications per year increased from about 10 000 in the year 1980 to presently more than 20 000 papers. The introduction of new international scientific journals in this research area reflects this remarkable development.
A very useful bibliography on peptide research was published by John H. Jones [1]. The Houben-Weyl sampler volume E 22 āSynthesis of Peptides and Peptidomimeticsā edited by Murray Goodman (Editor-in-Chief), Arthur Felix, Luis Moroder and Claudio Toniolo [2] represents the most comprehensive general treatise in this field. This work is a tribute to the 100th aniversary of Emil Fischerās first synthesis of peptides and is the successor of two Houben-Weyl volumes, in German, edited by Erich Wünsch in 1974 [3].
A number of very important physiological and biochemical functions of life are influenced by peptides. Peptides are involved as neurotransmitters, neuromodulators, and hormones in receptor-mediated signal transduction. More than 100 peptides with functions in the central and peripheral nervous systems, in immunological processes, in the cardiovascular system, and in the intestine are known. Peptides influence cellācell communication upon interaction with receptors, and are involved in a number of biochemical processes, for example metabolism, pain, reproduction, and immune response.
The increasing knowledge of the manifold modes of action of bioactive peptides led to an increased interest of pharmacology and medical sciences in this class of compounds. The isolation and targeted application of these endogenous substances as potential intrinsic drugs are gaining importance for the treatment of pathologic processes. New therapeutic methods based on peptides for a series of diseases give rise to the hope that diseases, where peptides play a functional role, can be amenable to therapy.
Peptide chemistry contributes considerably to research in the life science area. Synthetic peptides serve as antigens to raise antibodies, as enzyme substrates to map the active site requirements of an enzyme under investigation, or as enzyme inhibitors to influence signaling pathways in biochemical research or pathologic processes in medical research. Peptide ligands immobilized to a solid matrix may facilitate specific protein purification. Proteināprotein interaction can be manipulated by small synthetic peptides. The āpeptide dissection approachā uses relatively short peptide fragments that are part of a protein sequence. The synthetic peptides are investigated for their ability to fold independently, with the aim to improve the knowledge on protein folding.
The isolation of peptides from natural sources, however, is often problematic. In many cases, the concentration of peptide mediators ranges from 10ā15 to 10ā12 mol per mg fresh weight of tissue. Therefore, only highly sensitive assay methods, such as immunohistochemical techniques, render cellular localization possible. Although not all relevant bioactive peptides occur in such low concentrations, isolation methods generally suffer from disadvantages, such as the limited availability of human tissue sources. Complicated logistics during collection or storage of the corresponding organs, e.g., porcine or bovine pancreas for insulin production, additionally impose difficulties on the utilization of natural sources. Possible contamination of tissue used for the isolation of therapeutic peptides and proteins with pathogenic viruses is an enormous health hazard. Factor VIII preparations for treatment of hemophilia patients, isolated from natural sources, have been contaminated with human immunodeficiency virus (HIV), while impure growth hormone preparations isolated from human hypophyses after autopsy have led to the transmission of central nerve system diseases (CreutzfeldāJacob disease). Nowadays, many therapeutic peptides and proteins are produced by recombinant techniques. Immunological incompatibilities of peptide drugs obtained from animal sources have also been observed. Consequently, the development of processes for the synthesis of peptide drugs must be pursued with high priority.
Chemical peptide synthesis is the classical method which has been mainly developed during the past four decades, although the foundations were laid in the early 20th century by Theodor Curtius and Emil Fischer. Synthesis has often been the final structural proof of many peptides isolated only in minute amounts from natural sources.
The production of polypeptides and proteins by recombinant techniques has also contributed important progress in terms of methodology. Genetically engineered pharmaproteins verify the concept of therapy with endogenous protein drugs (endopharmaceuticals). Cardiovascular diseases, tumors, auto-immune diseases and infectious diseases are the most important indications. Classical peptide synthesis has, however, not been questioned by the emergence of these techniques. Small peptides, like the artificial sweetener aspartame (which has an annual production of more than 5000 tons), and peptides of medium size remain the objectives of classical synthesis, not to mention derivatives with nonproteinogenic amino acids or selectively labeled (13C, 15N) amino acid residues for structural investigations using nuclear magnetic resonance (NMR).
The demand for synthetic peptides in biological applications is steadily increasing. At present, following the sequencing of the human genome, peptides have become a focus of biotechnological research. Their importance is growing as they represent the essential bioactive molecules inside the biological systems. The research fields of genomics and proteomics generate a huge number of new peptide targets which can help combat diseases and strengthen the immune resistance. The new targets do not allow for an isolated position of peptide chemistry exclusively oriented toward synthesis. Modern interdisciplinary science and research require synthesis, analysis, isolation, structure determination, conformational analysis and molecular modeling as integrated components of a cooperation between biologists, biochemists, pharmacologists, medical scientists, biophysicists, and bioinformaticians. Studies on structureāactivity relationships (SAR) involve a large number of synthetic peptide analogues with sequence variation and the introduction of nonproteinogenic buildings blocks. The ingenious concept of solid-phase peptide synthesis has exerted considerable impact on the life sciences, whilst methods of combinatorial peptide synthesis allow the simultaneous creation of peptide libraries which contain at least several hundred different peptides. The high yields and purities enable both in vitro and in vivo screening of biological activity to be carried out. Special techniques enable the creation of peptide libraries that contain several hundred thousand peptides; these techniques offer an interesting approach in the screening of new lead structures in pharmaceutical developments.
Peptide drugs, however, can be applied therapeutically only to a limited extent because of their chemical and enzymatic labilities. Many peptides are inactive when applied orally, and even parenteral application (intravenous or subcutaneous injection) is often not efficient because proteolytic degradation occurs on the locus of the application. However, sophisticated formulation techniques are very encouraging as they are capable of significantly enhancing the oral bioavailability of discovered active peptides. Application via mucous membranes (e.g., nasal) is promising. Despite the utilization of special depot formulations and new applications systems (computer-programmed minipump implants, iontophoretic methods, etc.) a major strategy in peptide chemistry is directed towards chemical modification in order to increase its chemical and enzymatic stability, to prolong the time of action, and to increase activity and selectivity towards the receptor.
The synthesis of analogues of bioactive peptides with unusual amino acid building blocks, linker or spacer molecules and modified peptide bonds is directed towards the development of potent agonists and antagonists of endogenous peptides. Once the amino acids of a protein that are essential for the specific biological mode of action have been revealed, these pharmacophoric groups may be incorporated into a small peptide. The development of orally active drugs is an important target. Rational drug design has contributed extensively in the development of protease-resistant structural variants of endogenous peptides, and in this context the incorporation of D-amino acids, the modification of covalent bonds, and the formation of ring structures (cyclopeptides) must be mentioned.
Peptidomimetics imitate bioactive peptides. The original peptide structure can hardly be recognized in these molecules, which induce a physiological effect by specific interaction with the corresponding receptor. Hence, a peptide structure may be transformed into a nonpeptide drug. This task is another timely challenge for peptide chemists, because only sufficient knowledge of the biologically active conformation of a peptide drug and of the interaction with the specific receptor enable the rational design of such peptide mimetics.
Today nearly 300 new peptide-based drugs for broad indications like cardiovascular diseases, bone metabolism disorders, type II diabetes and viral infections are at different stages of development. A breakthrough for peptides as important pharmaceuticals was the discovery of the 36-peptide enfuvirtide (T20; Fuzeonā¢) which is capable of docking on the surface of the AIDS virus and therefore blocking the virus from entering into human blood cells. The discovery of T20 has initiated research on viral entry inhibitors that form a new class of antiviral drugs.T20 is the first peptide-based drug to be produced on a metric ton scale by solid-phase peptide synthesis.
Interestingly, nanotubular structures based on cyclic tri-β-peptides have been synthesized that could be used in molecular electronic devives. Functional material from peptides promotes the development of nanotubular systems with interior and exterior functionalization which will widen the scope of these nanotubular structures to medical chemistry.
The variety of the tasks described herein renders peptide research an important and attractive discipline of modern life sciences. Despite the development of gene technology, peptide chemistry will have excellent future prospects because gene technology and peptide chemistry are complementary approaches.
References
1 J. H. Jones, J. Pept. Sci. 2000, 6, 201.
2 M. Goodman, A. Felix, L. Moroder, C. Toniolo, Synthesis of Peptides and Peptidomimetics in Houben-Weyl-Methoden der organischen Chemie, Vol. E22, K. H. Büchel (Ed.), Thieme, Stuttgart, 2002.
3 E. Wünsch, Synthese von Peptiden, in Houben-Weyl Methoden der organischen Chemie, Vol. 15, 1/2, E. Müller (Ed.), Thieme, Stuttgart, 1974.
2
Fundamental Chemical and Structural Principles
2.1 Definitions and Main Conformational Features of the Peptide Bond
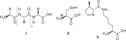
Peptides 1 are, formally, oligomers or polymers of amino acids, connected by amide bonds (peptide bonds) between the carboxy group of one amino acid and the amino group of the following amino acid.

Natural peptides and proteins encoded by DNA usually contain up to 22 different α-amino acids (including the secondary amino acid proline and the rare amino acids selenocysteine 2 and pyrrolysine 3). The different side chains R of the amino acids contribute fundamentally to their biochemical mode of action. A collection of the names, structures, three-letter code, and one-letter code abbreviations of these proteinogenic amino acids is given on the inside front cover of this book.
Selenocysteine (Sec, U) 2, which is found both in prokaryotes and eukaryotes, is encoded by a special tRNA with the anticodon UCA recognizing UGA triplets on mRNA. It is incorporated into proteins by ribosomal synthesis. Normally, the UGA codon serves as a stop codon.
Py...
Table of contents
- Cover
- Series
- Title
- Copyright
- Preface to the second edition
- Preface to the first edition
- 1: Introduction and Background
- 2: Fundamental Chemical and Structural Principles
- 3: Biology of Peptides
- 4: Peptide Synthesis
- 5: Synthesis Concepts for Peptides and Proteins
- 6: Synthesis of Special Peptides and Peptide Conjugates
- 7: Peptide and Protein Design, Pseudopeptides, and Peptidomimetics
- 8: Combinatorial Peptide Synthesis
- 9: Application of Peptides and Proteins
- 10: Peptides in Proteomics
- Glossary
- Index
- End User License Agreement
Frequently asked questions
Yes, you can cancel anytime from the Subscription tab in your account settings on the Perlego website. Your subscription will stay active until the end of your current billing period. Learn how to cancel your subscription
No, books cannot be downloaded as external files, such as PDFs, for use outside of Perlego. However, you can download books within the Perlego app for offline reading on mobile or tablet. Learn how to download books offline
Perlego offers two plans: Essential and Complete
- Essential is ideal for learners and professionals who enjoy exploring a wide range of subjects. Access the Essential Library with 800,000+ trusted titles and best-sellers across business, personal growth, and the humanities. Includes unlimited reading time and Standard Read Aloud voice.
- Complete: Perfect for advanced learners and researchers needing full, unrestricted access. Unlock 1.5M+ books across hundreds of subjects, including academic and specialized titles. The Complete Plan also includes advanced features like Premium Read Aloud and Research Assistant.
We are an online textbook subscription service, where you can get access to an entire online library for less than the price of a single book per month. With over 1.5 million books across 990+ topics, weāve got you covered! Learn about our mission
Look out for the read-aloud symbol on your next book to see if you can listen to it. The read-aloud tool reads text aloud for you, highlighting the text as it is being read. You can pause it, speed it up and slow it down. Learn more about Read Aloud
Yes! You can use the Perlego app on both iOS and Android devices to read anytime, anywhere ā even offline. Perfect for commutes or when youāre on the go.
Please note we cannot support devices running on iOS 13 and Android 7 or earlier. Learn more about using the app
Please note we cannot support devices running on iOS 13 and Android 7 or earlier. Learn more about using the app
Yes, you can access Peptides by Norbert Sewald,Hans-Dieter Jakubke in PDF and/or ePUB format, as well as other popular books in Biological Sciences & Biochemistry. We have over 1.5 million books available in our catalogue for you to explore.