Processing of Synthetic Aperture Radar (SAR) Images
eBook - ePub

Processing of Synthetic Aperture Radar (SAR) Images

  1. English
  2. ePUB (mobile friendly)
  3. Available on iOS & Android
eBook - ePub

Processing of Synthetic Aperture Radar (SAR) Images

About this book

Synthetic aperture radar provides broad-area imaging at high resolutions, which is used in applications such as environmental monitoring, earth-resource mapping, and military systems.
This book presents the tools required for the digital processing of synthetic aperture radar images. They are of three types: (a) the elements of physics, (b) mathematical models and (c) image processing methods adapted to particular applications.

Frequently asked questions

Yes, you can cancel anytime from the Subscription tab in your account settings on the Perlego website. Your subscription will stay active until the end of your current billing period. Learn how to cancel your subscription.
No, books cannot be downloaded as external files, such as PDFs, for use outside of Perlego. However, you can download books within the Perlego app for offline reading on mobile or tablet. Learn more here.
Perlego offers two plans: Essential and Complete
  • Essential is ideal for learners and professionals who enjoy exploring a wide range of subjects. Access the Essential Library with 800,000+ trusted titles and best-sellers across business, personal growth, and the humanities. Includes unlimited reading time and Standard Read Aloud voice.
  • Complete: Perfect for advanced learners and researchers needing full, unrestricted access. Unlock 1.4M+ books across hundreds of subjects, including academic and specialized titles. The Complete Plan also includes advanced features like Premium Read Aloud and Research Assistant.
Both plans are available with monthly, semester, or annual billing cycles.
We are an online textbook subscription service, where you can get access to an entire online library for less than the price of a single book per month. With over 1 million books across 1000+ topics, we’ve got you covered! Learn more here.
Look out for the read-aloud symbol on your next book to see if you can listen to it. The read-aloud tool reads text aloud for you, highlighting the text as it is being read. You can pause it, speed it up and slow it down. Learn more here.
Yes! You can use the Perlego app on both iOS or Android devices to read anytime, anywhere — even offline. Perfect for commutes or when you’re on the go.
Please note we cannot support devices running on iOS 13 and Android 7 or earlier. Learn more about using the app.
Yes, you can access Processing of Synthetic Aperture Radar (SAR) Images by Henri Maître in PDF and/or ePUB format, as well as other popular books in Technology & Engineering & Electrical Engineering & Telecommunications. We have over one million books available in our catalogue for you to explore.

Chapter 1

The Physical Basis of Synthetic Aperture Radar Imagery 1

1.1. Electromagnetic propagation

The physics behind radar image formation is complex and involves several different topics. Some deal with electronic components devoted to transmission and reception of the wave, but they will not be discussed here. Other aspects, namely wave propagation and the interaction between microwave frequency waves and materials, are more important for our purposes. These two topics are the subject of this chapter. Electromagnetism obviously underlies both these phenomena and we begin with a review of useful results in this area.

1.1.1. The laws of propagation in homogenous media

1.1.1.1. Basic equations

An electromagnetic wave such as that emitted by radars is characterized at any point in space and at every moment by four vector values:
ch1_images001.gif
(electric field),
ch1_images002.gif
(electric displacement),
ch1_images003.gif
(magnetic induction) and
ch1_images004.gif
(magnetic field).
These quantities verify Maxwell’s equations, which in the absence of free charges and current densities are written as [JAC 75]:
images


In the linear stationary case, the fields, the electric displacement and the magnetic induction are ruled by the following relations:
images


where
images
is the permittivity and µ is the permeability. We will consider them as scalar values in this book (they are tensors in the general case of anisotropic dielectrics).
The electric field
ch1_images001.gif
and magnetic field
ch1_images004.gif
vectors are sufficient to characterize this electromagnetic wave for an unbounded, homogenous, isotropic medium which is free of charges and currents. We will use Maxwell’s equations to show that every component of these fields verifies the wave equation:
[1.1]
images


We thus observe the electromagnetic energy transmission; v is the propagation velocity of the electromagnetic wave.
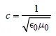
By denoting
images
0 the vacuum permittivity and μ0 the vacuum permeability, we deduce c, i.e. the speed of light, as being:
images


In the general case and in the absence of any charge or current, the relative permittivity
ch1_images009.gif
and relative permeability
ch1_images010.gif
of the propagation medium are normally used, which makes it possible to express the propagation velocity according to c:
images


The refractive index n for a propagation medium is defined as:
images


Note that in non-magnetic media we will deal with µr = 1, which leads to
ch1_images013.gif
Since the medium is unbounded,
ch1_images014.gif
and
ch1_images015.gif
are perpendicular to each other at any
ch1_images016.gif
and both are perpendicular to the propagation direction
ch1_images017.gif
that represents the energy path, which is also called a ray.
If a preferred direction can be specified by convention in the plan (
ch1_images001.gif
,
ch1_images004.gif
), we will then be able to characterize
ch1_images001.gif
(and therefore
ch1_images004.gif
) in terms of its polarization, i.e., its orientation with respect to the defined direction.

1.1.1.2. Propagation equation solution

In the presence of an isotropic radiation source
ch1_images018.gif
located at
ch1_images019.gif
the solution of propagation equation [1.1] at any
ch1_images020.gif
point in space is written:
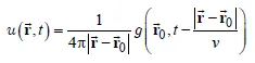
[1.2]
images


The wave then propagates from the source (homogenous medium) in such a way that the wavefront, i.e., the normal ray surface everywhere in space, is a sphere centered on the source: the propagation between the source and any observer is carried out in a straight line.
In the specific case of satellite systems, the objects impinged by the ...

Table of contents

  1. Cover
  2. Title Page
  3. Copyright
  4. Introduction
  5. Chapter 1: The Physical Basis of Synthetic Aperture Radar Imagery
  6. Chapter 2: The Principles of Synthetic Aperture Radar
  7. Chapter 3: Existing Satellite SAR Systems
  8. Chapter 4: Synthetic Aperture Radar Images
  9. Chapter 5: Speckle Models
  10. Chapter 6: Reflectivity Estimation and SAR Image Filtering
  11. Chapter 7: Classification of SAR Images
  12. Chapter 8: Detection of Points, Contours and Lines
  13. Chapter 9: Geometry and Relief
  14. Chapter 10: Radargrammetry
  15. Chapter 11: Radarclinometry
  16. Chapter 12: Interferometry
  17. Chapter 13: Phase Unwrapping
  18. Chapter 14: Radar Oceanography
  19. Bibliography
  20. List of Authors
  21. Index