Mathematical Models
eBook - ePub

Mathematical Models

  1. English
  2. ePUB (mobile friendly)
  3. Available on iOS & Android
eBook - ePub

Mathematical Models

About this book

This series of five volumes proposes an integrated description of physical processes modeling used by scientific disciplines from meteorology to coastal morphodynamics. Volume 1 describes the physical processes and identifies the main measurement devices used to measure the main parameters that are indispensable to implement all these simulation tools. Volume 2 presents the different theories in an integrated approach: mathematical models as well as conceptual models, used by all disciplines to represent these processes. Volume 3 identifies the main numerical methods used in all these scientific fields to translate mathematical models into numerical tools. Volume 4 is composed of a series of case studies, dedicated to practical applications of these tools in engineering problems. To complete this presentation, volume 5 identifies and describes the modeling software in each discipline.

Tools to learn more effectively

Saving Books

Saving Books

Keyword Search

Keyword Search

Annotating Text

Annotating Text

Listen to it instead

Listen to it instead

Information

Publisher
Wiley-ISTE
Year
2012
Print ISBN
9781848211544
eBook ISBN
9781118587706
Edition
1
Subtopic
Hydrology

Chapter 1

Reminders on the Mechanical Properties of Fluids 1

1.1. Laws of conservation, principles and general theorems

In this chapter, we will go back over the different theorems and principles of mechanics and thermodynamics and express them through Euler’s variable using the rules defined in previous volumes for a material domain.

1.1.1. Mass conservation, continuity equation

1.1.1.1. Mass conservation

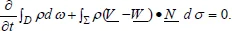
PRINCIPAL 1.1 (Figure 1.1). Mass in a material domain is conserved over the course of time.
Figure 1.1.
image
Taking D as a place for observation, noting that the material product for the mass of the domain is zero, we fully accept that the term for accumulation is balanced by the flow crossing the boundaries .
We call
image
the surface effort at every point of of perpendicular angle
image
.
Note. As a rule, the perpendicular angle
image
will always be pulled toward the outside.
CLASSIFICATIONS. An integral as defined by volume is represented by D φdω, a surface integral D φ and a vector
image
.
Faithful to Liebniz’ rule, the global equation is written as follows:
image
Liebniz’ rule: if D(t) is a deformable domain we can write:
image
image
therefore represents the localized velocity of displacement for all or part of the interface (boundary or component of the boundary) for D.
We notice that on the level of a mobile surface, the local flow
image
is zero by definition as the control’s surface sets the boundaries for the domain. This signifies that even if the fluid runs over the surface with a relative velocity above zero, it will not cross the surface, where the domain D is fixed:
image
image
represents the rate of accumulation (or loss) for mass in the domain.
image
represents the flow of mass crossing the boundaries of the domain.
The conservation of mass for a domain is expressed as the void sum of a term of accumulation (or loss) of mass in the domain and as a fixed term representing flow of mass to the boundaries of the domain.
The term for flow is represented by
image
, using the following theorem.

Theorem for divergence

We will often have the need to pass between localized scripture to global scripture and vice versa. It is therefore important to be able to pass between integrals for volume and integrals for surface reciprocally. We therefore use the theorem of divergence:
image
.
This expression shows us that the integral for volume of a greater divergence is equal to the surface flow of the same size.
The pseudo-vector nabla is written as
image
It represents the gradient of the size we are considering. The point
image
represents the contracted product of two tensors (or the scalar product when applied to two vectors). The divergence is therefore equal to the scalar product of the operator nabla by the size being considered.
We can therefore consider that the divergence corresponds to the diffusion of a surface term on the inside of the liquid domain. In a more general way, every time we will meet a term for divergence in a localized equation, we will interpret it as the diffusion of an issued term from a surface action.
The theorem for divergence applies itself equally as well to vectors as to tensors:
image
A tensor is represented by
image
. It is said to be of second order if it is represented in the form of a 3 × 3 matrix. Its scalar product by a vector is a vector.
Figure 1.2.
image
EXAMPLE 1....

Table of contents

  1. Cover
  2. Title Page
  3. Copyright
  4. Introduction
  5. Chapter 1. Reminders on the Mechanical Properties of Fluids
  6. Chapter 2. 3D Navier-Stokes Equations
  7. Chapter 3. Models of the Atmosphere
  8. Chapter 4. Hydrogeologic Models
  9. Chapter 5. Fluvial and Maritime Currentology Models
  10. Chapter 6. Urban Hydrology Models
  11. Chapter 7. Tidal Model and Tide Streams
  12. Chapter 8. Wave Generation and Coastal Current Models
  13. Chapter 9. Solid Transport Models and Evolution of the Seabed
  14. Chapter 10. Oil Spill Models
  15. Chapter 11. Conceptual, Empirical and Other Models
  16. Chapter 12. Reservoir Models in Hydrology
  17. Chapter 13. Reservoir Models in Hydrogeology
  18. Chapter 14. Artificial Neural Network Models
  19. Chapter 15. Model Coupling
  20. Chapter 16. A Set of Hydrological Models
  21. List of Authors
  22. Index
  23. General Index of Authors
  24. Summary of the Other Volumes in the Series

Frequently asked questions

Yes, you can cancel anytime from the Subscription tab in your account settings on the Perlego website. Your subscription will stay active until the end of your current billing period. Learn how to cancel your subscription
No, books cannot be downloaded as external files, such as PDFs, for use outside of Perlego. However, you can download books within the Perlego app for offline reading on mobile or tablet. Learn how to download books offline
Perlego offers two plans: Essential and Complete
  • Essential is ideal for learners and professionals who enjoy exploring a wide range of subjects. Access the Essential Library with 800,000+ trusted titles and best-sellers across business, personal growth, and the humanities. Includes unlimited reading time and Standard Read Aloud voice.
  • Complete: Perfect for advanced learners and researchers needing full, unrestricted access. Unlock 1.4M+ books across hundreds of subjects, including academic and specialized titles. The Complete Plan also includes advanced features like Premium Read Aloud and Research Assistant.
Both plans are available with monthly, semester, or annual billing cycles.
We are an online textbook subscription service, where you can get access to an entire online library for less than the price of a single book per month. With over 1 million books across 990+ topics, we’ve got you covered! Learn about our mission
Look out for the read-aloud symbol on your next book to see if you can listen to it. The read-aloud tool reads text aloud for you, highlighting the text as it is being read. You can pause it, speed it up and slow it down. Learn more about Read Aloud
Yes! You can use the Perlego app on both iOS and Android devices to read anytime, anywhere — even offline. Perfect for commutes or when you’re on the go.
Please note we cannot support devices running on iOS 13 and Android 7 or earlier. Learn more about using the app
Yes, you can access Mathematical Models by Jean-Michel Tanguy in PDF and/or ePUB format, as well as other popular books in Physical Sciences & Hydrology. We have over one million books available in our catalogue for you to explore.