Metamaterials with Negative Parameters
eBook - ePub

Metamaterials with Negative Parameters

Theory, Design, and Microwave Applications

  1. English
  2. ePUB (mobile friendly)
  3. Available on iOS & Android
eBook - ePub

Metamaterials with Negative Parameters

Theory, Design, and Microwave Applications

About this book

The first general textbook to offer a complete overview of metamaterial theory and its microwave applications

Metamaterials with Negative Parameters represents the only unified treatment of metamaterials available in one convenient book. Devoted mainly to metamaterials that can be characterized by a negative effective permittivity and/or permeability, the book includes a wide overview of the most important topics, scientific fundamentals, and technical applications of metamaterials.

Chapter coverage includes: the electrodynamics of left-handed media, synthesis of bulk metamaterials, synthesis of metamaterials in planar technology, microwave applications of metamaterial concepts, and advanced and related topics, including SRR- and CSRR-based admittance surfaces, magneto- and electro-inductive waves, and sub-diffraction imaging devices. A list of problems and references is included at the end of each chapter, and a bibliography offers a complete, up-to-daterepresentation of the current state of the art in metamaterials.

Geared toward students and professionals alike, Metamaterials with Negative Parameters is an ideal textbook for postgraduate courses and also serves as a valuable introductory reference for scientists and RF/microwave engineers.

Trusted by 375,005 students

Access to over 1.5 million titles for a fair monthly price.

Study more efficiently using our study tools.

Information

Year
2011
Print ISBN
9780471745822
Edition
1
eBook ISBN
9781118211564
CHAPTER ONE
The Electrodynamics of Left-Handed Media
1.1 INTRODUCTION
Continuous media with negative parameters, that is, media with negative dielectric constant, ε, or magnetic permeability, μ, have long been known in electromagnetic theory. In fact, the Drude–Lorentz model (which is applicable to most materials) predicts regions of negative ε or μ just above each resonance, provided losses are small enough [1]. Although losses usually prevent the onset of this property in common dielectrics, media with negative ε can be found in nature. The best-known examples are low-loss plasmas, and metals and semiconductors at optical and infrared frequencies (sometimes called solid-state plasmas). Media with negative μ are less common in nature due to the weak magnetic interactions in most solid-state materials [2]. Only in ferrimagnetic materials are magnetic interactions strong enough (and losses small enough) to produce regions of negative magnetic permeability. Ferrites magnetized to saturation present a tensor magnetic permeability with negative elements near the ferrimagnetic resonance (which usually occurs at microwave frequencies). These materials are widely used in microwave engineering, mainly to make use of their non-reciprocity. The electrodynamics of these solid-state materials with negative ε or μ is described in many well-known textbooks [3–5], so this chapter will focus on the electrodynamics of media having simultaneously negative ε and μ (see, however, problems 1.1–1.3, 1.12, and 1.14).
Wave propagation in media with simultaneously negative ε and μ was discussed and analyzed in a seminal paper by Veselago [6] at the end of the 1960s. However, it was necessary to wait for more than 30 years to see the first practical realization of such media [7], also called left-handed media [6,7]. This terminology will be used throughout this book.1 Other terms that have been proposed for media with simultaneously negative ε and μ are negative-refractive media [8], backward media [9], double-negative media [10], and also Veselago media [11].
The propagation constant of a plane wave is given by
c01_image001.webp
,
so it is apparent that wave propagation is not forbidden in left-handed media. Several principal questions arise from this statement:
  • Does an electromagnetic wave in a left-handed medium differ in any essential way from a wave in an ordinary medium with positive ε and μ?
  • Is there any essential physical law—for instance, energy conservation—forbidding left-handed media?
  • Assuming the answer to the previous question was affirmative. How to obtain a left-handed medium in practice?
In this chapter we will try to give some answers to the first and second questions above, leaving the following chapters to find the answer to the third question.
1.2 WAVE PROPAGATIO IN LEFT-HANDED MEDIA
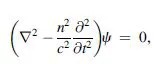
In order to show wave propagation in left-handed media, we will first reduce Maxwell equations to the wave equation [6]:
(1.1)
c01_image002.webp
where n is the refractive index, c is the velocity of light in vacuum, and n2/c2 = εμ. As the squared refractive index n2 is not affected by a simultaneous change of sign in ε and μ, it is clear that low-loss left-handed media must be transparent. In view of the above equation, we can obtain the impression that solutions to equation (1.1) will remain unchanged after a simultaneous change of the signs of ε and μ. However, when Maxwell’s first-order differential equations are explicitly considered,
(1.2)
c01_image003.webp
(1.3)
c01_image004.webp
it becomes apparent that these solutions are quite different. In fact, for plane-wave fields of the kind E = E0 exp(–jk.r + jωt) and H = H0 exp(–jk. r + jωt) (this space and time field dependence will be implicitly assumed throughout this book), the above equations reduce to
(1.4)
c01_image005.webp
(1.5)
c01_image006.webp
Therefore, for positive ε and μ, E, H, and k form a right-handed orthogonal system of vectors. However, if ε < 0 and μ < 0, then equations (1.4) and (1.5) can be rewritten as
(1.6)
c01_image007.webp
(1.7)
c01_image008.webp
showing that E, H, and k now form a left-handed triplet, as illustrated in Figure 1.1. In fact, this result is the original reason for the denomination of negative ε and μ media as “left-handed” media [6].
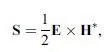
The main physical implication of the aforementioned analysis is backward-wave propagation (for this reason, the term backward media has been also proposed for media with negative ε and μ [9]). In fact, the direction of the time-averaged flux of energy is determined by the real part of the Poynting vector,
(1.8)
c01_image009.webp
which is unaffected by a simultaneous change of sign of ε and μ. Thus, E, H, and S still form a right-handed triplet in a left-handed medium. Therefore, in such media, energy and wavefronts travel in opposite directions (backward propagation). Backward-wave propagation is a well-known phenomenon that may appear in non-uniform waveguides [12,13]. However, backward-wave propagation in unbounded homogeneous isotropic media seems to be a unique property of left-handed media. As will be shown, most of the surprising unique electromagnetic properties of these media arise from this backward propagation property.
FIGURE 1.1 Illustration of the system of vectorsE, H, k, and S for a plane transverse electromagnetic (TEM) wave in an ordinary (left) and a left-handed (right) medium.
c01_image010.webp
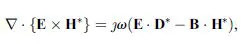
So far, we have neglected losses. However, losses are unavoidable in any practical material. In the following, the effect of losses in plane-wave propagation will be considered. To begin, we will consider a finite region filled by a homogeneous left-handed medium. In the steady state, and provided there are no sources inside the region, there must be some power flow into the region in order to compensate for losses. Thus, from the well-known complex Poynting theorem [14],
(1.9)
c01_image011.webp
it follows that
(1.10)
c01_image012.webp
where integration is carried out over the aforementioned region. Therefore,
(1.11)
c01_image013.webp
Let us now consider a plane wave with square wave number k2 = ω2με, propagating in a lossy left-handed medium with Re(ε) < 0 and Re(μ) < 0. From expression (1.11), it follows that Im(k2) > 0. Therefore
(1.12)
c01_image014.webp
That is, waves grow in the direction of propagation of the wavefronts. This fact is in agreement with the aforementioned backward-wave propagation.
1.3 ENERGY DENSITY AND GROUP VELOCITY
If negative values for ε and μ are introduced in the usual expression for the time-averaged density of energy in transparent nondispersive media, Und, given by
(1.13)
c01_image015.webp
they produce the nonphysical result of a negative density of energy. However, as is well known, any physical media other than vacuum must be dispersive [1], equation (1.13) being an approximation only valid for very weakly dispersive media. The correct expression for a quasimonochromatic wavepacket traveling in a dispersive media is [2]
(1.14)
c01_image016.webp
where the derivatives are evaluated at the central frequency of the wavepacket. Thus, the physical requirement of positive energy density implies that
(1.15)
c01_image017.webp
which are compatible with ε < 0 and μ < 0 provided
c01_image018.webp
and
c01_image019.webp
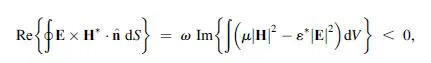
. Therefore, physical left-handed media must be highly dispersive. This fact is in agreement with the low-loss Drude-Lorentz model for ε and μ, which predicts negative values for ε and/or μ in the highly dispersive regions just above the resonances [1]. Finally, it must be mentioned that the usual interpretation of the imaginary part of the complex Poynting theorem, which relates the flux of reactive power through a closed surface with the difference ...

Table of contents

  1. Cover
  2. Series
  3. Title page
  4. Copyright
  5. Dedication
  6. PREFACE
  7. ACKNOWLEDGMENTS
  8. CHAPTER ONE: The Electrodynamics of Left-Handed Media
  9. CHAPTER TWO: Synthesis of Bulk Metamaterials
  10. CHAPTER THREE: Synthesis of Metamaterials in Planar Technology
  11. CHAPTER FOUR: Microwave Applications of Metamaterial Concepts
  12. CHAPTER FIVE: Advanced and Related Topics
  13. INDEX

Frequently asked questions

Yes, you can cancel anytime from the Subscription tab in your account settings on the Perlego website. Your subscription will stay active until the end of your current billing period. Learn how to cancel your subscription
No, books cannot be downloaded as external files, such as PDFs, for use outside of Perlego. However, you can download books within the Perlego app for offline reading on mobile or tablet. Learn how to download books offline
Perlego offers two plans: Essential and Complete
  • Essential is ideal for learners and professionals who enjoy exploring a wide range of subjects. Access the Essential Library with 800,000+ trusted titles and best-sellers across business, personal growth, and the humanities. Includes unlimited reading time and Standard Read Aloud voice.
  • Complete: Perfect for advanced learners and researchers needing full, unrestricted access. Unlock 1.5M+ books across hundreds of subjects, including academic and specialized titles. The Complete Plan also includes advanced features like Premium Read Aloud and Research Assistant.
Both plans are available with monthly, semester, or annual billing cycles.
We are an online textbook subscription service, where you can get access to an entire online library for less than the price of a single book per month. With over 1.5 million books across 990+ topics, we’ve got you covered! Learn about our mission
Look out for the read-aloud symbol on your next book to see if you can listen to it. The read-aloud tool reads text aloud for you, highlighting the text as it is being read. You can pause it, speed it up and slow it down. Learn more about Read Aloud
Yes! You can use the Perlego app on both iOS and Android devices to read anytime, anywhere — even offline. Perfect for commutes or when you’re on the go.
Please note we cannot support devices running on iOS 13 and Android 7 or earlier. Learn more about using the app
Yes, you can access Metamaterials with Negative Parameters by Ricardo Marqués,Ferran Martín,Mario Sorolla in PDF and/or ePUB format, as well as other popular books in Technology & Engineering & Microwaves. We have over 1.5 million books available in our catalogue for you to explore.