Modeling and Verification of Real-time Systems
eBook - ePub

Modeling and Verification of Real-time Systems

Formalisms and Software Tools

  1. English
  2. ePUB (mobile friendly)
  3. Available on iOS & Android
eBook - ePub

Modeling and Verification of Real-time Systems

Formalisms and Software Tools

About this book

This title is devoted to presenting some of the most important concepts and techniques for describing real-time systems and analyzing their behavior in order to enable the designer to achieve guarantees of temporal correctness.

Topics addressed include mathematical models of real-time systems and associated formal verification techniques such as model checking, probabilistic modeling and verification, programming and description languages, and validation approaches based on testing. With contributions from authors who are experts in their respective fields, this will provide the reader with the state of the art in formal verification of real-time systems and an overview of available software tools.

Trusted by 375,005 students

Access to over 1.5 million titles for a fair monthly price.

Study more efficiently using our study tools.

Information

Publisher
Wiley-ISTE
Year
2013
Print ISBN
9781848210134
Edition
1
eBook ISBN
9781118623954

Chapter 1

Time Petri Nets - Analysis Methods and Verification with TINA

1.1. Introduction

Among the techniques proposed to specify and verify systems in which time appears as a parameter, two are prominent: Timed Automata (see Chapter 4) and Time Petri nets, introduced in [MER 74].
Time Petri nets are obtained from Petri nets by associating two dates min(t) and max(t) with each transition t. Assuming t became enabled for the last time at date θ, t cannot fire (cannot be taken) before the date θ + min(t) and must fire no later than date θ + max(t), except if firing another transition disabled t before then. Firing a transition takes no time. Time Petri nets naturally express specifications “in delays”. By making explicit the beginnings and ends of actions, they can also express specifications “in durations”; their applicability is thus broad.
We propose in this chapter a panorama of the analysis methods available for Time Petri nets and discuss their implementation. These methods, based on the technique of state classes, were initiated in [BER 83, BER 91]. State class graphs provide finite abstractions for the behavior of bounded Time Petri nets. Various abstractions have been proposed in [BER 83, BER 01, BER 03b], preserving various classes of properties. In this chapter, we will discuss in addition the practical problem of the verification of formulae (model checking) of certain logics on the graphs of state classes available. Using these techniques requires software tools, both for the construction of the state space abstractions and for the actual verification of the properties. The examples discussed in this chapter are handled with the tools available in the Tina environment [BER 04].
The basic concepts of Time Petri nets are reviewed in section 1.2. Sections 1.3 to 1.5 introduce various state class graph constructions, providing finite abstractions of the infinite state spaces of Time Petri nets. Sections 1.3 and 1.4 present the constructions preserving the properties of linear-time temporal logics such as LTL; in addition to traces, the construction of section 1.3 preserves markings while that exposed in section 1.4 also preserve states (markings and temporal information). Section 1.5 discusses preservation of the properties expressible in branching-time temporal logics. Section 1.6 discusses the analysis of firing schedules and presents a method to characterize exactly the possible firing dates of transitions along any finite sequence. The toolbox Tina, implementing all state space abstractions reviewed and a model checker, is presented in section 1.7. The following sections are devoted to the verification of LTL formulae on the graphs of state classes. Section 1.8 presents the logic selected, SE–LTL , an extension of the LTL logic, and the implementation of a verifier for that logic, the module selt of Tina. Section 1.9 discusses two application examples and their verification.

1.2. Time Petri nets

1.2.1. Definition

Let I+ be the set of non-empty real intervals with non-negative rational endpoints. For iI+, ↓ i denotes its left endpoint and ↑ i its right endpoint (if i is bounded) or ∞ (otherwise). For all
ch1-image20-01.gif
denotes the interval
ch1-image20-02.gif
.
DEFINITION 1.1.- A Time Petri net (TPN for short) is a tuple (P, T, Pre, Post, m0 , Is ), in which (P, T, Pre, Post, m0 ) is a Petri net and Is : T → I+ is a function called the Static Interval function.
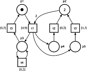
Application Is associates a temporal interval Is (t) with each transition of the net. Therationals Efts (t) =Is (t) and Lfts (t) =Is (t) are called the static earliest firing time, and static latest firing time of transition t, respectively. A Time Petri net is represented in Figure 1.1.

1.2.2. States and the state reachability relation

DEFINITION 1.2.- A state of a Time Petri net is a pair e = (m, I ) in which m is a marking and I : T → I+ a function that associates a temporal interval with each transition enabled at m.
Figure 1.1. A Time Petri net
ch1-image21-01.gif
The initial state is e0 = (m0 , i0 ), where I0 is the restriction of Is to the transitions enabled at m0 . Any transition enabled must fire in the time interval associated with it.
Firing t at date θ from e = (m, I) (or, equivalently, waiting θ units of time then firing t instantly) is thus allowed if and only if:
ch1-image21-02.gif
The state e′ = (m′, I′) reached from e by firing t at θ is determined by:
1) m′ = m - Pre (t) + Post (t) (as in Petri nets).
2) For each transition k enabled at m′ :
ch1-image21-03.gif
Let us note by
ch1-image21-04.gif
the timed reachability relation defined above, and let
ch1-image21-05.gif
stand for
ch1-image21-06.gif
. A firing schedule is a sequence of timed transitions t11... tnn. It is firable from e if the transit...

Table of contents

  1. Cover
  2. Title Page
  3. Copyright Page
  4. Preface
  5. Chapter 1: Time Petri Nets - Analysis Methods and Verification with TINA
  6. Chapter 2: Validation of Reactive Systems by Means of Verification and Conformance Testing
  7. Chapter 3: An Introduction to Model Checking
  8. Chapter 4: Model Checking Timed Automata
  9. Chapter 5: Specification and Analysis of Asynchronous Systems using CADP
  10. Chapter 6: Synchronous Program Verification with Lustre/Lesar
  11. Chapter 7: Synchronous Functional Programming with Lucid Synchrone
  12. Chapter 8: Verification of Real-Time Probabilistic Systems
  13. Chapter 9: Verification of Probabilistic Systems Methods and Tools
  14. Chapter 10: Modeling and Verification of Real-Time Systems using the IF Toolset
  15. Chapter 11: Architecture Description Languages: An Introduction to the SAE AADL
  16. List of Authors
  17. Index

Frequently asked questions

Yes, you can cancel anytime from the Subscription tab in your account settings on the Perlego website. Your subscription will stay active until the end of your current billing period. Learn how to cancel your subscription
No, books cannot be downloaded as external files, such as PDFs, for use outside of Perlego. However, you can download books within the Perlego app for offline reading on mobile or tablet. Learn how to download books offline
Perlego offers two plans: Essential and Complete
  • Essential is ideal for learners and professionals who enjoy exploring a wide range of subjects. Access the Essential Library with 800,000+ trusted titles and best-sellers across business, personal growth, and the humanities. Includes unlimited reading time and Standard Read Aloud voice.
  • Complete: Perfect for advanced learners and researchers needing full, unrestricted access. Unlock 1.5M+ books across hundreds of subjects, including academic and specialized titles. The Complete Plan also includes advanced features like Premium Read Aloud and Research Assistant.
Both plans are available with monthly, semester, or annual billing cycles.
We are an online textbook subscription service, where you can get access to an entire online library for less than the price of a single book per month. With over 1.5 million books across 990+ topics, we’ve got you covered! Learn about our mission
Look out for the read-aloud symbol on your next book to see if you can listen to it. The read-aloud tool reads text aloud for you, highlighting the text as it is being read. You can pause it, speed it up and slow it down. Learn more about Read Aloud
Yes! You can use the Perlego app on both iOS and Android devices to read anytime, anywhere — even offline. Perfect for commutes or when you’re on the go.
Please note we cannot support devices running on iOS 13 and Android 7 or earlier. Learn more about using the app
Yes, you can access Modeling and Verification of Real-time Systems by Nicolas Navet, Stephan Merz, Nicolas Navet,Stephan Merz in PDF and/or ePUB format, as well as other popular books in Biological Sciences & System Theory. We have over 1.5 million books available in our catalogue for you to explore.