X-Ray Diffraction by Polycrystalline Materials
eBook - ePub

X-Ray Diffraction by Polycrystalline Materials

  1. English
  2. ePUB (mobile friendly)
  3. Available on iOS & Android
eBook - ePub

X-Ray Diffraction by Polycrystalline Materials

About this book

This book presents a physical approach to the diffraction phenomenon and its applications in materials science.

An historical background to the discovery of X-ray diffraction is first outlined. Next, Part 1 gives a description of the physical phenomenon of X-ray diffraction on perfect and imperfect crystals. Part 2 then provides a detailed analysis of the instruments used for the characterization of powdered materials or thin films. The description of the processing of measured signals and their results is also covered, as are recent developments relating to quantitative microstructural analysis of powders or epitaxial thin films on the basis of X-ray diffraction.

Given the comprehensive coverage offered by this title, anyone involved in the field of X-ray diffraction and its applications will find this of great use.

Tools to learn more effectively

Saving Books

Saving Books

Keyword Search

Keyword Search

Annotating Text

Annotating Text

Listen to it instead

Listen to it instead

PART 1

Basic Theoretical Elements, Instrumentation and Classical Interpretations of the Results

Chapter 1

Kinematic and Geometric Theories of X-Ray Diffraction

When matter is irradiated with a beam of X photons, it emits an X-ray beam with a wavelength equal or very close to that of the incident beam, which is an effect referred to as scattering. The scattered energy is very small, but in the case where scattering occurs without a modification of the wavelength (coherent scattering) and when the scattering centers are located at non-random distances from one another, we will see how the scattered waves interfere to give rise to diffracted waves with higher intensities. The analysis of the diffraction figure, that is, the analysis of the distribution in space of the diffracted intensity, makes it possible to characterize the structure of the material being studied. This constitutes the core elements of X-ray diffraction. Before we discuss diffraction itself, we will first describe the elementary scattering phenomenon.

1.1. Scattering by an atom

1.1.1. Scattering by a free electron

1.1.1.1. Coherent scattering: the Thomson formula

The scattering of X-radiation by matter was first observed by Sagnac [SAG 97b] in 1897. The basic relation expressing the intensity scattered by an electron was laid down the following year by Thomson [THO 98d].
Consider a free electron located inside a parallel X-ray beam with intensity I0. This beam constitutes a plane wave traveling along the x-axis, encountering a free electron located in O. The electron, subjected to the acceleration:
[1.1]
images
starts vibrating and emits an electromagnetic wave whose electrical field vector is written, in P, as:
[1.2]
images
where e is the charge of the electron, m is the mass of the electron, re is the radius of the electron,
images
is the angle between
images
and
images
, and r is the distance between O and P.
Figure 1.1. Coherent scattering by a free electron
ch1-fig1.1.gif
Therefore, we obtain a wave traveling through P with the same frequency as the incident wave and with amplitude:
[1.3]
images
The vector
images
can be decomposed in two independent vectors
images
and
images
. The expression for the amplitude of vector
images
is:
[1.4]
images
images
, which is the corresponding intensity in P, is defined as the flow of energy traveling through a unit surface located in P over 1 second. The ratio of the incident and scattered waves in P is equal to the squared ratio of the amplitudes of the electrical fields; therefore we have:
[1.5]
images
The unit surface located in P is observed from O with a solid angle equal to 1/r2. Therefore, the intensity in question, with respect to the unit of solid angle is
images
. Likewise, the intensity along the Oy-axis is given by
images
.
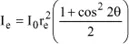
Any incident beam will be scattered with the proportions x and (1 – x) along the directions Oz and Oy and thus the total intensity in P can be written as:
images
If the beam is not polarized, then x = 0.5 and therefore:
[1.6]
images
From now on, we will refer to this intensity as Ie and therefore we have:
[1.7]
images
This relation is called the Thomson formula [THO 98d]. It has a specific use: the scattering power of a given object can be defined as the number of free and independent electrons this object would have to be replaced with, in order to obtain the same scattered intensity.

1.1.1.2. Incoherent scattering: Compton scattering [COM 23]

In addition to the coherent scattering just discussed, X photons can scattered incoherently, that is, with a change in wavelength. This effect can be described with classical mechanics by considering the incident photons and the electrons as particles and by describing their interactions as collisions, as shown in Figure 1.2.
images
and
images
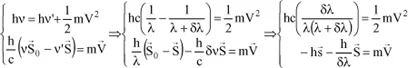
are the unit vectors of the incident and scattered beams, 2θ being the scattering angle, m the mass of the electron and V the electron’s recoil velocity once it is struck by the photon. If the vibration frequencies of the incident photon and the scattered photon are denoted by ν and ν’, respectively, the energy conservation principle leads to the relation:
[1.8]
images
By applying the momentum conservation principle, we get:
[1.9]
images
Figure 1.2. Incoherent scattering by a free electron
ch1-fig1.2.gif
Calculation of the difference in wavelength between the incident wave and the scattered wave
By using the two principles just applied, we will be able to calculate this difference δλ, since we have:
images
with:
images
because
images
is a unit vector.
images
images
and finally:
[1.10]
images
Therefore, the variation in wavelength is independent of the initial wavelength and increases with θ.
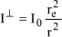
In the case of a free electron, nothing prevents it from moving, since it is subjected to no outside force. Hence, the predominant effect is Compton scattering. However, it can be shown that the intensity of this scattering effect is accurately described by Thomson’s relation. When considering a set of free electrons, the different waves scattered by these electrons have different wavelengths and therefore do not lead to interference effects. What we observe is merely the sum of the scattered intensities.

1.1.2. Scattering by a bound electron

In an atom, an electron can assume different energy states. If, during the interaction with the X photon, the state of the electron does not change, then the photon emitted by the atom has the same energy as the incident photon. Hence, the resulting scattering is coherent (Thomson scattering). On the other hand, if the electron’s energy level changes, the scattered photon has a different energy and therefore a different wavelength from those of the incident photon: this is incoherent scattering. It means that by irradiating an atom with an X-ray beam whose energy is insufficient to cause electronic transitions, what we will observe is, for the most part, coherent scattering. Throughout this book, we will assume that this is the case.
Generally speaking, it can be shown that the total intensity scattered by a bound electron is equal to the coherent intensity scattered by a free electron, as given by the Thomson formula. This result can be expressed by the relation:
[1.11]
images
Calculating the intensity of coherent scattering
Each electron moves about in an orbital and, if
images
denotes the charge density of the bound electron in any elementary volume dV of this orbital, vector
images
being the one shown in Figure 1.3, then
images
is expressed as
images
, where
images
is a wave function which is a solution to the Schrödinger equation.
Since the volume dV contains the charge ρdV, it scatters an amplitude equal to the one scattered by one electron multiplied by ρdV. If we consider coherent scattering, the waves scattered by each elementary volume dV interfere, because they have the sa...

Table of contents

  1. Cover
  2. Title Page
  3. Copyright
  4. Preface
  5. Acknowledgements
  6. An Historical Introduction: The Discovery of X-rays and the First Studies in X-ray Diffraction
  7. Part 1: Basic Theoretical Elements, Instrumentation and Classical Interpretations of the Results
  8. Part 2: Microstructural Analysis
  9. Bibliography
  10. Index

Frequently asked questions

Yes, you can cancel anytime from the Subscription tab in your account settings on the Perlego website. Your subscription will stay active until the end of your current billing period. Learn how to cancel your subscription
No, books cannot be downloaded as external files, such as PDFs, for use outside of Perlego. However, you can download books within the Perlego app for offline reading on mobile or tablet. Learn how to download books offline
Perlego offers two plans: Essential and Complete
  • Essential is ideal for learners and professionals who enjoy exploring a wide range of subjects. Access the Essential Library with 800,000+ trusted titles and best-sellers across business, personal growth, and the humanities. Includes unlimited reading time and Standard Read Aloud voice.
  • Complete: Perfect for advanced learners and researchers needing full, unrestricted access. Unlock 1.4M+ books across hundreds of subjects, including academic and specialized titles. The Complete Plan also includes advanced features like Premium Read Aloud and Research Assistant.
Both plans are available with monthly, semester, or annual billing cycles.
We are an online textbook subscription service, where you can get access to an entire online library for less than the price of a single book per month. With over 1 million books across 990+ topics, we’ve got you covered! Learn about our mission
Look out for the read-aloud symbol on your next book to see if you can listen to it. The read-aloud tool reads text aloud for you, highlighting the text as it is being read. You can pause it, speed it up and slow it down. Learn more about Read Aloud
Yes! You can use the Perlego app on both iOS and Android devices to read anytime, anywhere — even offline. Perfect for commutes or when you’re on the go.
Please note we cannot support devices running on iOS 13 and Android 7 or earlier. Learn more about using the app
Yes, you can access X-Ray Diffraction by Polycrystalline Materials by René Guinebretière in PDF and/or ePUB format, as well as other popular books in Technology & Engineering & Materials Science. We have over one million books available in our catalogue for you to explore.