This book presents the principal concepts of operations research (OR), the tools for the planning support and the management of various types of networks. The term "network" is meant to include physical networks, for instance road and rail networks, as well as logical networks that are used in the planning of complex projects. In this case, the vertices of the network correspond to activities and the connections describe temporal relations.

- English
- ePUB (mobile friendly)
- Available on iOS & Android
eBook - ePub
Operational Research and Networks
About this book
Trusted by 375,005 students
Access to over 1.5 million titles for a fair monthly price.
Study more efficiently using our study tools.
Information
Chapter 1
Linear Programming 1
1.1. Fundamental concepts
This chapter concerns the problems whose objective is to optimize a function by respecting constraints. Linear programming, more precisely, studies the cases where the function to optimize (or objective function) and the constraints are expressed linearly. This model, which can seem rather specialized, is in fact very flexible. We will show in this chapter that it allows us to model a great many important applications.
Numerous studies describe linear programming techniques. We cite, not wanting to give a long list, some reference studies in French [CHA 96, MIN 83] and in English [BAZ 90, CHV 83, DAN 63, MUR 85, SAK 83, NEM 88].
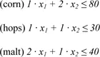
We first describe an example that illustrates the allocation of resources: the company Biereco produces two varieties of beer, B1 and B2, from three ingredients: corn, hops and malt. These cereals are available in quantities of 80, 30 and 40 parts. Each barrel of beer B1 uses one part corn, one part hops and two parts malt, while each barrel of B2 must have two parts corn, one part hops and one part malt. A barrel of B1 is sold at 50 monetary units and a barrel of B2 is sold at 40 monetary units. The objective of the producer is to maximize the profit. Table 1.1 gives the data for this problem.
Table 1.1. Data for the Biereco example

We model this problem with the help of a linear program. The decision variables x1 and x2 represent the number of barrels of beer B1 and B2 to be produced. In order for the solution obtained to be realistic, these variables must be non-negative. The limits on the quantity of available resources and the composition of the beers involve the following constraints:

The profit to maximize is given by the function z = 50x1 + 40x2. We thus obtain the linear program below:
(objective function) maximize z = 50x1 + 40x2
| (constraints) | 1 x1 + 2 x2 = 80 |
| 1 x1 + 1 x2 = 30 | |
| 2 x1 + 1 x2 = 40 | |
| x1 = 0, x2 = 0 |
The linearity of the objective function and the constraints is natural for this type of problem. In effect, the profits and the consumption of the resources are additives.
Figure 1.1 describes the set of feasible solutions R: the elements of R satisfy all the constraints. The constraints are inequations. They are thus represented by halfplanes (in the figure, the arrows indicate which half-plane is to be considered). By definition, R is the intersection of these half-planes.
Figure 1.1. Admissible region R

The region R represents the candidates (x1, x2) in competition to maximize the objective function. Let us consider the straight lines 50x1 + 40x2 = z where z is a constant. On each of these lines, the profit remains the same (Figure 1.2).
The optimal solution to the Biereco problem is x1 = 10 and x2 = 20 and the maximum profit is z = 1,300. This example enables us to come to several conclusions:
– The constraint of corn is oversized. In effect, no feasible solution attains the limit of 80 available units.
Figure 1.2. Different values of the objective function

– The extreme points of R, E0 = (0, 0), E1 = (20, 0), E2 = (10, 20) and E3 = (0, 30) are particularly interesting. In each of these points, at least two constraints are saturated. In this example, E2 is optimal and it saturates the constraints of hops and malt. The construction of Figure 1.2 shows that each linear objective function admits an optimal solution in an extreme point. This optimal extreme point is not necessarily unique. For example, let us modify the objective: z’ = 60x1 + 30x2. In this case, the extreme points E1 and E2 are both optimal.
– A point that saturates several constraints simultaneously is not necessarily an extreme point. For example, the point (0.40) saturates the three constraints x1 ≥ 0, x1 + 2x2 ≤ 80 and 2x1 + x2 ≤ 40, but is non-feasible. However, when the number of constraints is finite, the...
Table of contents
- Cover
- Title Page
- Copyright
- Introduction
- Chapter 1: Linear Programming
- Chapter 2: Graphs and Networks
- Chapter 3: Classical Combinatorial Problems and Solution Techniques
- Chapter 4: Project Scheduling
- Chapter 5: Operations Management in Transportation Networks
- Chapter 6: Pickup and Delivery Problems with Services on Nodes or Arcs of a Network
- Chapter 7: Telecommunication Networks
- Chapter 8: Mission Planning for Observation Satellites
- List of Authors
- Index
Frequently asked questions
Yes, you can cancel anytime from the Subscription tab in your account settings on the Perlego website. Your subscription will stay active until the end of your current billing period. Learn how to cancel your subscription
No, books cannot be downloaded as external files, such as PDFs, for use outside of Perlego. However, you can download books within the Perlego app for offline reading on mobile or tablet. Learn how to download books offline
Perlego offers two plans: Essential and Complete
- Essential is ideal for learners and professionals who enjoy exploring a wide range of subjects. Access the Essential Library with 800,000+ trusted titles and best-sellers across business, personal growth, and the humanities. Includes unlimited reading time and Standard Read Aloud voice.
- Complete: Perfect for advanced learners and researchers needing full, unrestricted access. Unlock 1.5M+ books across hundreds of subjects, including academic and specialized titles. The Complete Plan also includes advanced features like Premium Read Aloud and Research Assistant.
We are an online textbook subscription service, where you can get access to an entire online library for less than the price of a single book per month. With over 1.5 million books across 990+ topics, we’ve got you covered! Learn about our mission
Look out for the read-aloud symbol on your next book to see if you can listen to it. The read-aloud tool reads text aloud for you, highlighting the text as it is being read. You can pause it, speed it up and slow it down. Learn more about Read Aloud
Yes! You can use the Perlego app on both iOS and Android devices to read anytime, anywhere — even offline. Perfect for commutes or when you’re on the go.
Please note we cannot support devices running on iOS 13 and Android 7 or earlier. Learn more about using the app
Please note we cannot support devices running on iOS 13 and Android 7 or earlier. Learn more about using the app
Yes, you can access Operational Research and Networks by Gerd Finke in PDF and/or ePUB format, as well as other popular books in Technology & Engineering & Electrical Engineering & Telecommunications. We have over 1.5 million books available in our catalogue for you to explore.