Carbofuran and Wildlife Poisoning
eBook - ePub

Carbofuran and Wildlife Poisoning

Global Perspectives and Forensic Approaches

  1. English
  2. ePUB (mobile friendly)
  3. Available on iOS & Android
eBook - ePub

Carbofuran and Wildlife Poisoning

Global Perspectives and Forensic Approaches

About this book

This cutting-edge title is one of the first devoted entirely to the issue of carbofuran and wildlife mortality. It features a compilation of international contributions from policy-makers, researchers, conservationists and forensic practitioners and provides a summary of the history and mode of action of carbofuran, and its current global use. It covers wildlife mortality stemming from legal and illegal uses to this point, outlines wildlife rehabilitation, forensic and conservation approaches, and discuss global trends in responding to the wildlife mortality.

The subject of carbofuran is very timely because of recent parallel discussions to withdraw and reinstate the insecticide in different parts of the world. Incidences of intentional and unintentional wildlife poisonings using carbofuran are undeniably on the rise, especially in Africa and India and gatherings of stakeholders are being organized and convened on a global basis. There is still a need to consolidate information on the different experiences and approaches taken by stakeholders. Carbofuran and Wildlife Poisoning is a comprehensive overview of global wildlife mortality, forensic developments and monitoring techniques and is a definitive reference on the subject.

It comprises of historical and current perspectives, contributions from key stakeholders in the issue of global wildlife poisonings with carbofuran, people on the ground who deal with the immediate and long-term ramifications to wildlife, those who have proposed or are working towards mitigative measures and solutions, those in contact with intentional or unintentional 'offenders', those who have adapted and developed forensic methodology and are gathering evidence.

"Carbofuran and Wildlife Poisoning is a collection of meticulously researched papers from all around the world that provide shocking facts about the effects of a deadly insecticide on wildlife. The book discusses the hundreds of thousands of animals, from elephants to fish, that are poisoned each year, the efforts to rehabilitate those which have been rescued, and the often heroic efforts to ban or reduce the use of the deadly chemical. This book is a must for all those concerned with the problem."
—Jane Goodall, PhD, DBE, Founder - the Jane Goodall Institute & UN Messenger of Peace, October 2011

Trusted by 375,005 students

Access to over 1.5 million titles for a fair monthly price.

Study more efficiently using our study tools.

Information

Publisher
Wiley
Year
2011
Print ISBN
9780470745236
eBook ISBN
9781119951100
Edition
1
Chapter 1
An overview of the chemistry, manufacture, environmental fate and detection of carbofuran
Stephen Donovan,1 Mark Taggart,2 Ngaio Richards3,4
1Pennsylvania Department of Health, 110 Pickering Way, Lionville, Pennsylvania 19353, USA
2Environmental Research Institute, University of the Highlands and Islands, Castle Street, Thurso, Caithness, Scotland, KW14 7JD, UK
3Working Dogs for Conservation, 52 Eustis Road, Three Forks, Montana 59752, USA
4Department of Life Sciences, Anglia Ruskin University, East Road, Cambridge CB1 1PT, UK
1.1 Introduction
The aim of this chapter is to provide the reader with a comprehensive understanding of carbofuran as a compound and a familiarity with the technical terms used throughout this book. First, we outline the features which differentiate carbofuran from other compounds and detail its chemical properties. We then summarise its environmental fate, in other words what happens to it once it is in the environment, and conclude with a discussion of the most common methods of analysing and detecting carbofuran in environmental samples.
1.2 The chemistry and mode of action of carbofuran
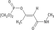
Carbofuran is an organic compound (meaning that it is made up of a carbon skeleton), composed of a benzofuranyl component which is connected to a carbamate group (circled in Figure 1.1), i.e., derived from carbamic acid. Its molecular formula is denoted as C12H15NO3 and its chemical name is: 2,3-dihydro-2,2-dimethyl-7-benzofuranyl N-methylcarbamate. Carbofuran is a systemic insecticide, which means that when it is applied it enters into a plant, is transported by the sap, and when insects or other pests feed on other parts of the plant, they become poisoned.
Figure 1.1 Chemical structure of carbofuran
image
The chemical structure of carbofuran is shown in Figure 1.1. As a group, carbamates can be classified into N-methyl carbamates of phenols (e.g., carbofuran, carbaryl (Figure 1.5) and propoxur) and the N-methyl carbamates of oximes (e.g., aldicarb and methomyl). These carbamates can be synthesised from the reaction of methyl isocyanate with the hydroxyl group of phenols and oximes. The biological activity of these carbamates comes from their ability to essentially liberate methyl isocyanate (MIC) inside the organism. Methyl isocyanate is quite reactive (i.e., toxic) and binds to enzymes that have reactive sulfhydro (RSH) and hydroxy (OH) groups. Since the activity of enzymes often relies on such groups repeatedly making and breaking bonds many thousand of times a second, the enzymes become inactive (inhibited). MIC is the industrial compound that was released into the air in 1984 in Bhopal (India) and caused the death of between 3 000 and 15 000 people and injured over half a million people (see also Chapter 4).
Figure 1.5 Chemical structure of carbaryl
image
Other important pesticide groups include the organophosphorus pesticides (e.g., monocrotophos (Figure 1.6), dimethoate, diazinon and phosalone), and the organochlorines (e.g., DDT (Figure 1.7), aldrin, its metabolite dieldrin (Figure 1.8), and endrin), often abbreviated as ‘OP/OPCs’ or ‘OCs’, respectively. Carbamates (often abbreviated as ‘CMs’ or ‘CBs’) and organophosphorus compounds both have a non-discriminate (or broad-spectrum) mode of action, i.e., one that inhibits cholinesterase enzyme activity in insects, mammals and birds. For this reason they are sometimes referred to as ‘anti-cholinesterases’. Involved in virtually all physiological responses and mechanisms, no other enzyme is thought to perform such a complex or extensive set of functions within the animal kingdom. The mechanism by which cholinesterase inhibition occurs and its clinical impact on avian and mammalian wildlife, are further detailed in Chapter 2, which also discusses relevant diagnostic and rehabilitation measures.
Figure 1.6 Chemical structure of monocrotophos
image
Figure 1.7 Chemical structure of DDT
image
Figure 1.8 Chemical structure of dieldrin
image
It is this broad spectrum of activity that also makes carbofuran an ideal insecticide, acaricide (against ticks and mites) and nematicide (against nematodes). Plant protection products containing carbofuran as the active ingredient (often denoted as ‘ai’ or ‘AI’) have been used worldwide to control pests in sugarcane, sugar beet, maize, coffee and rice crops. Carbofuran is available in liquid, silica-based granular and corncob formulations (further discussed in Chapter 8). Sand, clay or granulated dried corncob formulations are intended to enable the active ingredient to be released more slowly into the rhizosphere, the zone immediately surrounding the roots of a developing plant.
As such, carbofuran is particularly effective in controlling rice pests such as green leafhoppers (Nephotettix virescens), brown plant hoppers (Nilaparvata lugens) and more generally, stem borers and whorl maggots. This is because leaf hoppers and plant hoppers are piercing-sucking phloem feeders, and carbofuran is phloem systemic and therefore available in the phloem sap. Other pests, even if resistant to organophosphorus insecticides (e.g., white flies, leaf miners, ants, scale insects, cockroaches, wasps and aphids), can be effectively controlled by carbofuran. Although both organophosphates and carbamates have the same mode of action, different organisms can be resistant to one class of compound but not necessarily resistant to the other.
Unfortunately, for reasons which remain unclear, birds in particular are simply not equipped to detoxify (or effectively metabolise) either carbamate or organophosphorus compounds before succumbing to their toxic effect (Mineau 2009). Consequently, such ‘general biocides’ are now increasingly viewed as ‘old-fashioned’ and, as such, are very slowly being phased out and replaced by new compounds that do discriminate between target insects and non-target organisms or wildlife. Such compounds are therefore inherently less ‘ecotoxic’, but may still have significant unintended impacts on beneficial non-target insects, among others. For example, imidacloprid, a nicotinic systemic insecticide, was introduced as a ‘less toxic’ replacement. While not very toxic to animals in general (see www.pesticidemanual.com/ and http://www.beekeeping.com/articles/us/imidacloprid_bayer.htm), studies have indicated that exposure to sublethal levels slows mobility and communication capacity in honeybees (e.g., Medrzycki, Montanari, Bortolotti et al. 2003).
1.3 Manufacture and formulation of carbofuran
Carbofuran was developed in the 1960s, patented in 1965 (Budavari 1989), and introduced on the market as a systemic and broad spectrum nematicide in 1967 under the well-known brand/trade name of Furadan by FMC (Farm Machinery Corporation), based in Philadelphia in the United States (http://www.fmc.com/AboutFMC/CorporateOverview/FMCHistory.aspx?PageContentID=9). In some parts of this book (especially Chapter 3, regarding the situation in Kenya), the ‘names’ carbofuran and Furadan are effectively used interchangeably. This simply reflects the fact that in certain countries carbofuran (i.e., the product name) is more commonly known by its trade/brand name (in this case, Furadan). Each formulation is named according to its percentage active ingredient, i.e., the amount of carbofuran (by weight) in the formulation. Hence, Furadan 3G, 10G, and 15G contain 3, 10 and 15% (w/w, i.e., weight by weight or wet weight) of the active ingredient, respectively.
FMC held sole patent from the 1960s and is still considered the major global manufacturer of carbofuran. Patent law is country-specific, and we were unable to specifically determine when FMC’s original patent would have expired (i.e., when generic formulations would have been permitted). However, in the United States, patents are granted for a maximum of 20 years, and Chapters 5 and 6, for example, list other manufacturers as registrants of the product in the late 1980s, which leads us to believe that FMC’s sole patent expired sometime in the mid to late 1980s. Table 1.1 lists other known manufacturers of carbofuran around the world. For a complete list of manufacturers of carbofuran products, the reader is referred to the Pesticide Manual (www.pesticidemanual.com/).
Table 1.1 Name and headquarter location of selected companies that manufacture carbofuran products and trade names under which they are sold
Information taken from The Pesticide Manual (www.pesticidemanual.com/)
Company name Headquarter location Trade name
Agro-Chemie Hungary Chinufur
Aimco Pesticides Limited India Furacarb
Cequisa Spain Cekufuran
Makhteshim Agan Industries Israel Carbodan
Nagajura Agridar India Fury
Sanachem (Pty) Ltd South Africa Terrafuran
Sipcam Italy Carbosip, Rampart
Sanonda/Zhengzhou Pesticides Co Ltd. China Agrofuran
1.4 Carbofuran in the environment
The dominant source of carbofuran emission to the environment is via its application as an insecticide. In this context, it is sobering to consider that, in general, approximately 90% of all agricultural pesticide applications never actually reach their target organism(s). This ‘excess’ is instead widely dispersed into the environment, entering the air, soil and water (Moses, Johnson and Auger 1993). The environmental fate and persistence of any specific compound is also governed by the prevailing climate and as such differs between tropical and temperate regions (Fodor-Csorba 1998). Elevated temperatures can lead to pesticide loss and deterioration through volatilisation (i.e., transformation to a gas and then dissipation) and increased microbial activity. Sunlight and ultraviolet (UV) intensity is also greater in tropical and subtropical regions, which again can lead to more rapid photodegradation (Fodor-Csorba 1998). Such degradation and the reaction products formed (some of which may be more toxic than the original parent compound) are then themselves transported into the environment. The ability to identify and analyse such degradation products and metabolites is likely to become increasingly important in the future as ‘sustainable’ biocide products with low ecotoxicity are identified and developed.
In soil, chemical transformation processes are influenced by factors such as pH, temperature, clay content, organic matter content, moisture content, the presence of micro-organisms, and the types of functional groups that are attached to the pesticide molecule (Lalah, Kaigwara, Getenga et al. 2001). Chemical reactions can be catalysed by clay surfaces, metal oxides and metal ions in soil. Likewise, the rate of chemical hydrolysis (i.e., the addition of water to a compound) ...

Table of contents

  1. Cover
  2. Contents
  3. Title
  4. Copyright
  5. Preface
  6. Acknowledgements
  7. Contributor Biographies
  8. Chapter 1: An overview of the chemistry, manufacture, environmental fate and detection of carbofuran
  9. Chapter 2: Carbofuran: Toxicity, diagnosing poisoning and rehabilitation of poisoned birds
  10. Chapter 3: A chronicling of long-standing carbofuran use and its menace to wildlife in Kenya
  11. Chapter 4: Mitigating human-wildlife conflict and retaliatory poisonings in India to preserve biodiversity and maintain sustainable livelihoods
  12. Chapter 5: Regulation of carbofuran and its use to poison wildlife in the European Union and the rest of Europe
  13. Chapter 6: Perspectives on wildlife poisoning by carbofuran in the United Kingdom and Republic of Ireland – with a particular focus on Scotland
  14. Chapter 7: A Latin American perspective: the environmental impact of farming wheat and rice treated with carbofuran and Rhodamine B on Brazilian wild birds
  15. Chapter 8: Impacts of carbofuran on birds in Canada and the United States
  16. Chapter 9: Conclusions, recommendations and the way forward
  17. Index

Frequently asked questions

Yes, you can cancel anytime from the Subscription tab in your account settings on the Perlego website. Your subscription will stay active until the end of your current billing period. Learn how to cancel your subscription
No, books cannot be downloaded as external files, such as PDFs, for use outside of Perlego. However, you can download books within the Perlego app for offline reading on mobile or tablet. Learn how to download books offline
Perlego offers two plans: Essential and Complete
  • Essential is ideal for learners and professionals who enjoy exploring a wide range of subjects. Access the Essential Library with 800,000+ trusted titles and best-sellers across business, personal growth, and the humanities. Includes unlimited reading time and Standard Read Aloud voice.
  • Complete: Perfect for advanced learners and researchers needing full, unrestricted access. Unlock 1.5M+ books across hundreds of subjects, including academic and specialized titles. The Complete Plan also includes advanced features like Premium Read Aloud and Research Assistant.
Both plans are available with monthly, semester, or annual billing cycles.
We are an online textbook subscription service, where you can get access to an entire online library for less than the price of a single book per month. With over 1.5 million books across 990+ topics, we’ve got you covered! Learn about our mission
Look out for the read-aloud symbol on your next book to see if you can listen to it. The read-aloud tool reads text aloud for you, highlighting the text as it is being read. You can pause it, speed it up and slow it down. Learn more about Read Aloud
Yes! You can use the Perlego app on both iOS and Android devices to read anytime, anywhere — even offline. Perfect for commutes or when you’re on the go.
Please note we cannot support devices running on iOS 13 and Android 7 or earlier. Learn more about using the app
Yes, you can access Carbofuran and Wildlife Poisoning by Ngaio Richards in PDF and/or ePUB format, as well as other popular books in Medicine & Forensic Medicine. We have over 1.5 million books available in our catalogue for you to explore.