Fine Chemicals
eBook - ePub

Fine Chemicals

The Industry and the Business

  1. English
  2. ePUB (mobile friendly)
  3. Available on iOS & Android
eBook - ePub

Fine Chemicals

The Industry and the Business

About this book

Now updated - the authoritative reference on one of the most exciting and challenging areas of the modern chemical industry

This highly readable and informative reference continues to take a comprehensive, in-depth view of the products, markets, and technology of the fine chemicals industry and business. Dr. Peter Pollak, one of the foremost authorities in the field, provides an insider's unique perspective on fine chemicals from both a technological and a commercial viewpoint, covering all recent developments. He provides ample facts and figures including sixty-three tables, thirty figures, and nineteen photo inserts - making this a well-illustrated and documented text.

This reference is divided into three parts:

  • Part One: The Industry discusses the types of fine chemical companies, the range of products and services, the role of research and development, the underlying technologies, and the challenges facing management

  • Part Two: The Business explores the key markets for fine chemicals - such as the pharmaceutical, agrochemical, and animal health industries - and the relevant marketing strategies, as well as the ins and outs of pricing, distribution channels, intellectual property rights, account management, and promotion

  • Part Three: Outlook examines trends such as globalization and outsourcing, forecasts future growth and development by industry segment, and discusses prerequisites for success in the field

This new edition features both updated and new information on the offer/demand balance for fine chemicals and the escalating impact of emerging companies in Asia, particularly from China and India. It describes the inversion of the mergers and acquisitions scenario from a seller's to a buyer's market, the broadening of the fine chemical business model, and the expanding role of biotechnology, as well as the impact of increased outsourcing of chemical manufacturing and the growing consumption of pharmaceuticals and agrochemicals by the life science industry. Also included are numerous molecular structures, engineering diagrams, and tables to facilitate understanding.

For a thorough understanding of the technology, the business, and the future of the fine chemicals industry, this book's insight is unprecedented. It is ideally suited for those in the industry - including employees, suppliers, customers, investors, and consulting companies - as well as academic and other research organizations, students and educators, public officials, media representatives, and anyone else who wants to understand the intricacies of the industry.


Fine Chemicals has been recognized as Outstanding Academic Title 2012 (Choice, v.50, no. 05, January 2013).

Trusted by 375,005 students

Access to over 1.5 million titles for a fair monthly price.

Study more efficiently using our study tools.

Information

Publisher
Wiley
Year
2011
Print ISBN
9780470627679
eBook ISBN
9781118002223
Part I: THE INDUSTRY
CHAPTER 1
What Fine Chemicals Are
1.1 DEFINITION
The underlying principle for definition of the term “fine chemicals” is a three-tier segmentation of the universe of chemicals into commodities, fine chemicals, and specialty chemicals (see Fig. 1.1). Fine chemicals account for the smallest part, about 4% of the total $2500 billion turnover of the global chemical industry (see Section 9.1).
Figure 1.1 Definitions.
c01f001
Commodities are large-volume, low-price homogeneous, and standardized chemicals produced in dedicated plants and used for a large variety of applications. Prices, typically less than $1/kg, are cyclic and are fully transparent. Petrochemicals, basic chemicals, heavy organic and inorganic chemicals, (large-volume) monomers, commodity fibers, and plastics are all part of commodities. Typical examples of single products are ethylene, propylene, acrylonitrile, caprolactam, methanol, toluene, o-xylene, phthalic anhydride, poly (vinyl chloride) soda, and sulfuric acid.
Fine chemicals are complex, single, pure chemical substances. They are produced in limited quantities (up to 1000 MT per year) in multipurpose plants by multistep batch chemical or biotech(nological) processes. They are based on exacting specifications, are used for further processing within the chemical industry, and are sold for more than $10/kg (see Fig. 1.1).
Fine chemicals are “high-value chemicals purchased for their molecular qualities rather than for their functional performance, usually to make drugs.”
–Rick Mullin, Chemical & Engineering News
The category is further subdivided on the basis of either the added value (building blocks, advanced intermediates, or active ingredients) or the type of business transaction (standard or exclusive products). As the term indicates, exclusive products are made exclusively by one manufacturer for one customer, which typically uses them for the manufacture of a patented specialty chemical, primarily a drug or agrochemical. Typical examples of single products are β-lactams, imidazoles, pyrazoles, triazoles, tetrazoles, pyridine, pyrimidines, and other N-heterocyclic compounds (see Section 3.1). A third way of differentiation is the regulatory status, which governs the manufacture. Active pharmaceutical ingredients (APIs) and advanced intermediates thereof have to be produced under current Good Manufacturing Practice (cGMP) regulations. They are established by the (U.S.) Food and Drug Administration (FDA) in order to guarantee the highest possible safety of the drugs made thereof. All advanced intermediates and APIs destined for drugs and other specialty chemicals destined for human consumption on the U.S. market have to be produced according to cGMP rules, regardless of the location of the plant. The regulations apply to all manufacturing processes, such as chemical synthesis, biotechnology, extraction, and recovery from natural sources. All in all, the majority of fine chemicals have to be manufactured according to the cGMP regime.
A precise distinction between commodities and fine chemicals is not feasible. In very broad terms, commodities are made by chemical engineers and fine chemicals by chemists. Both commodities and fine chemicals are identified according to specifications. Both are sold within the chemical industry, and customers know how to use them better than do suppliers. In terms of volume, the dividing line comes at about 1000 tons/year; in terms of unit sales prices, this is set at about $10/kg. Both numbers are somewhat arbitrary and controversial. Many large chemical companies include larger-volume/lower-unit-price products, so they can claim to have a large fine chemicals business (which is more appealing than commodities!). The threshold numbers also cut sometimes right into otherwise consistent product groups. This is, for instance, the case for APIs, amino acids, and vitamins. In all three cases, the two largest-volume products, namely, acetyl salicylic acid and paracetamol; L-lysine and D,L-methionine, and ascorbic acid and niacin, respectively, are produced in quantities exceeding 10,000 tons/year, and are sold at prices below the $10/kg level.
Specialty chemicals are formulations of chemicals containing one or more fine chemicals as active ingredients. They are identified according to performance properties. Customers are mostly trades outside the chemical industry and the public. Specialty chemicals are usually sold under brand names. Suppliers have to provide product information. Subcategories are adhesives, agrochemicals, biocides, catalysts, dyestuffs and pigments, enzymes, electronic chemicals, flavors and fragrances, food and feed additives, pharmaceuticals, and specialty polymers (see Chapter 11).
The distinction between fine and specialty chemicals is net. The former are sold on the basis of “what they are”; the latter, on “what they can do.” In the life science industry, the active ingredients of drugs, also known as APIs or drug substances (DS), are fine chemicals, the formulated drugs specialties, aka drug products (DP) (see Chapter 2).
Electronic chemicals (see Section 11.4.5) provide another illustrative example of the difference between fine and specialty chemicals: Merck KGaA produces a range of individual fine chemicals as active substances for liquid crystals in a modern multipurpose plant in Darmstadt, Germany. An example is (trans,trans)-4-[difluoromethoxy)-3,5-difluorophenyl]-4′-propyl-1,1′-bicyclohexyl. Merck ships the active ingredients to its secondary plants in Japan, South Korea, and Taiwan, where they are compounded into liquid crystal formulations. These specialties have to comply with stringent use-related specifications (electrical and color properties, etc.) of the Asian producers of consumer electronics such as cellular phones, DVD players, and flat-screen TV sets.
“Commoditized” specialty chemicals contain commodities as active ingredients and are interchangeable. Thus, ethylene glycol “99%” is a commodity. If it is diluted with water, enhanced with a colorant, and sold as “super antifreeze” in a retail shop, it becomes a commoditized specialty.
Note: Sometimes fine chemicals are considered as a subcategory of specialty chemicals. On the basis of the definitions given above, this classification should be avoided.
1.2 POSITIONING ON THE VALUE-ADDED CHAIN
An example of the value-added chain extending from commodities through fine chemicals to a pharmaceutical specialty is shown in Table 1.1. The product chosen is Pfizer’s anticholesterol drug Lipitor (atorvastatin), the world’s top-selling drug with sales of $11.4 billion in 2009.
TABLE 1.1 Example for the Value-Added Chain in the Chemical Industry: Lipitor (Atorvastatin)
c01t0062tkp
a Active pharmaceutical ingredient.
b Patent holder; several generic producers preparing for launch.
Note: Figures are indicative only.
Key: B, batch; C, continuous; D, dedicated; M, multipurpose.
(I) Ethyl (R)-4-cyano-3-hydroxy butanoate, “hydroxynitrile.”
(II) tert-Butyl (4R,6R)-2-[6-(2-aminoethyl)-2.2-dimethyl-1.3-dioxan-4-yl]acetate.
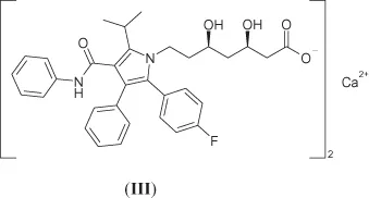
(III) 2-(4-Fluorophenyl)-β,δ-dihydroxy-5-(1-methylethyl)-3-phenyl-4-[(phenylamino)-carbonyl]-1H-pyrrole- heptanoic acid.
The value-added chain extends from a C1 molecule, methanol (left side of the table), all the way to a C33 molecule, atorvastatin. The indicative $2000 cost per kilogram API corresponds to about 4% of the price of the formulated prescription drug ($400 for 100 80 mg tablets) bought in the pharmacy. The structure of compound III in Table 1.1 is as follows:
c01uf001
Methanol and acetic acid are typical commodities, namely, low-price/ polyvalent products manufactured in large quantities by many companies. Under the heading “fine chemicals,” three molecules used for the manufacture of atorvastatin are listed, namely, the advanced intermediates ethyl 4- chloro-3-hydroxy butanoate (I) and tert-butyl (4R,6R)-2-[6-(2-aminoethyl)-2.2-dimethyl-1.3-dioxan-4-yl] acetate (II), respectively, and the API, atorvastatin (III) itself. As long as the latter, 2-(4-fluorophenyl)-β,δ-dihydroxy-5-(1-methylethyl)-3-phenyl-4-[(phenylamino)-carbonyl]-1H-pyrrole-heptanoic acid, is sold according to specifications, it is a fine chemical. In the pharmaceutical industry, the chemical synthesis of an API is also referred to as primary manufacturing. The secondary manufacturing comprises the formulation of the API into the final delivery form. The API is compounded with excipients that confer bulkiness, stability, color, and taste. Once atorvastatin is tableted, packed, and sold as the anticholesterol prescription drug Lipitor, it becomes a specialty.
CHAPTER 2
The Fine Chemical Industry
2.1 INDUSTRY STRUCTURE
Within the chemical universe, the fine chemical industry is positioned between the commodity and specialty chemical industries. The latter are their suppliers and customers, respectively. Among the customers, life sciences, especially the pharmaceutical industry, prevail (see Section 9.2). In the broad sense, fine chemical companies are active in research and development, manufacturing, and marketing of fine chemicals. They represent a wide variety of several 1000 enterprises offering mainly products and services along the drug supply chain (see Fig. 2.1). They extend from small, privately owned laboratories all the way to large, publicly owned manufacturing companies. However, not all of them encompass all three activities. Whereas Western fine chemical companies still dominate in sales revenues, most of the small ones are located in Asia.
Figure 2.1 Drug development stages.
HTS, high-throughput screening; API, active pharmaceutical ingredient.
Source: Lonza
c02f001
Fine chemical/custom manufacturing (CM) companies in the narrower sense are active in process scale-up, pilot plant (trial) production, and industrial-scale exclusive and nonexclusive manufacture and marketing. Their product portfolios comprise exclusive products, produced by CM (see Section 12.2.1), nonexclusive products, for example, active pharmaceutical ingredient (API)-for-generics (12.2.2), and standard products (12.2.3).
Contract research organizations (CROs, see Section 2.3) provide process development and bench scale synthesis services. Fine chemical companies which are both CM companies and CROs are called contract research and manufacturing companies (CRAMS).
Laboratory chemical suppliers (see Section 2.4) offer a large number (thousands) of different kinds of chemicals in small quantities for research purposes.
Finally, there are firms that do neither contract research nor manufacturing. They are distributors and/or agents of integrated fine chemical companies.
Fine chemical/CM companies account for the largest share of the industry, followed by chemical CROs and laboratory chemical suppliers.
Note: As...

Table of contents

  1. Cover
  2. Title page
  3. Copyright page
  4. Dedication
  5. PREFACE
  6. ACKNOWLEDGMENTS
  7. Part I: THE INDUSTRY
  8. BIBLIOGRAPHY
  9. Part II: THE BUSINESS
  10. BIBLIOGRAPHY
  11. Part III: OUTLOOK
  12. BIBLIOGRAPHY
  13. ABBREVIATIONS
  14. APPENDICES
  15. Index
  16. Color Plates

Frequently asked questions

Yes, you can cancel anytime from the Subscription tab in your account settings on the Perlego website. Your subscription will stay active until the end of your current billing period. Learn how to cancel your subscription
No, books cannot be downloaded as external files, such as PDFs, for use outside of Perlego. However, you can download books within the Perlego app for offline reading on mobile or tablet. Learn how to download books offline
Perlego offers two plans: Essential and Complete
  • Essential is ideal for learners and professionals who enjoy exploring a wide range of subjects. Access the Essential Library with 800,000+ trusted titles and best-sellers across business, personal growth, and the humanities. Includes unlimited reading time and Standard Read Aloud voice.
  • Complete: Perfect for advanced learners and researchers needing full, unrestricted access. Unlock 1.5M+ books across hundreds of subjects, including academic and specialized titles. The Complete Plan also includes advanced features like Premium Read Aloud and Research Assistant.
Both plans are available with monthly, semester, or annual billing cycles.
We are an online textbook subscription service, where you can get access to an entire online library for less than the price of a single book per month. With over 1.5 million books across 990+ topics, we’ve got you covered! Learn about our mission
Look out for the read-aloud symbol on your next book to see if you can listen to it. The read-aloud tool reads text aloud for you, highlighting the text as it is being read. You can pause it, speed it up and slow it down. Learn more about Read Aloud
Yes! You can use the Perlego app on both iOS and Android devices to read anytime, anywhere — even offline. Perfect for commutes or when you’re on the go.
Please note we cannot support devices running on iOS 13 and Android 7 or earlier. Learn more about using the app
Yes, you can access Fine Chemicals by Peter Pollak in PDF and/or ePUB format, as well as other popular books in Ciencias fĂ­sicas & QuĂ­mica industrial y tĂŠcnica. We have over 1.5 million books available in our catalogue for you to explore.