
Beam Structures
Classical and Advanced Theories
- English
- ePUB (mobile friendly)
- Available on iOS & Android
About this book
Beam Structures: Classical and Advanced Theories proposes a new original unified approach to beam theory that includes practically all classical and advanced models for beams and which has become established and recognised globally as the most important contribution to the field in the last quarter of a century.
The Carrera Unified Formulation (CUF) has hierarchical properties, that is, the error can be reduced by increasing the number of the unknown variables. This formulation is extremely suitable for computer implementations and can deal with most typical engineering challenges. It overcomes the problem of classical formulae that require different formulas for tension, bending, shear and torsion; it can be applied to any beam geometries and loading conditions, reaching a high level of accuracy with low computational cost, and can tackle problems that in most cases are solved by employing plate/shell and 3D formulations.
Key features:
- compares classical and modern approaches to beam theory, including classical well-known results related to Euler-Bernoulli and Timoshenko beam theories
- pays particular attention to typical applications related to bridge structures, aircraft wings, helicopters and propeller blades
- provides a number of numerical examples including typical Aerospace and Civil Engineering problems
- proposes many benchmark assessments to help the reader implement the CUF if they wish to do so
- accompanied by a companion website hosting dedicated software MUL2 that is used to obtain the numerical solutions in the book, allowing the reader to reproduce the examples given in the book as well as to solve other problems of their own www.mul2.com
Researchers of continuum mechanics of solids and structures and structural analysts in industry will find this book extremely insightful. It will also be of great interest to graduate and postgraduate students of mechanical, civil and aerospace engineering.
Tools to learn more effectively

Saving Books

Keyword Search

Annotating Text

Listen to it instead
Information

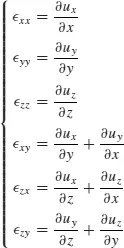
- Displacements, , of a point P:


- Strains,


These nine terms describe the deformed configuration in a three-orthogonal term of unit vectors () in P. The axial deformations are

Shear strains, which are symmetric, are

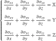
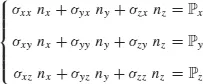
- Stresses, σ, at a point P:

Axial stresses are

Shear stresses, which are symmetric, are

















Table of contents
- Cover
- Title Page
- Copyright
- About the Authors
- Preface
- Introduction
- Chapter 1: Fundamental equations of continuous deformable bodies
- Chapter 2: The Euler–Bernoulli and Timoshenko theories
- Chapter 3: A refined beam theory with in-plane stretching: the complete linear expansion case
- Chapter 4: EBBT, TBT, and CLEC in unified form
- Chapter 5: Carrera Unified Formulation and refined beam theories
- Chapter 6: The parabolic, cubic, quartic, and N-order beam theories
- Chapter 7: CUF beam FE models: programming and implementation issue guidelines
- Chapter 8: Shell capabilities of refined beam theories
- Chapter 9: Linearized elastic stability
- Chapter 10: Beams made of functionally graded materials
- Chapter 11: Multi-model beam theories via the Arlequin method
- Chapter 12: Guidelines and recommendations
- Index
Frequently asked questions
- Essential is ideal for learners and professionals who enjoy exploring a wide range of subjects. Access the Essential Library with 800,000+ trusted titles and best-sellers across business, personal growth, and the humanities. Includes unlimited reading time and Standard Read Aloud voice.
- Complete: Perfect for advanced learners and researchers needing full, unrestricted access. Unlock 1.4M+ books across hundreds of subjects, including academic and specialized titles. The Complete Plan also includes advanced features like Premium Read Aloud and Research Assistant.
Please note we cannot support devices running on iOS 13 and Android 7 or earlier. Learn more about using the app