Modeling and Simulation of Catalytic Reactors for Petroleum Refining
eBook - ePub

Modeling and Simulation of Catalytic Reactors for Petroleum Refining

  1. English
  2. ePUB (mobile friendly)
  3. Available on iOS & Android
eBook - ePub

Modeling and Simulation of Catalytic Reactors for Petroleum Refining

About this book

Modeling and Simulation of Catalytic Reactors for Petroleum Refining deals with fundamental descriptions of the main conversion processes employed in the petroleum refining industry: catalytic hydrotreating, catalytic reforming, and fluid catalytic cracking. Common approaches for modeling of catalytic reactors for steady-state and dynamic simulations are also described and analyzed. Aspects such as thermodynamics, reaction kinetics, process variables, process scheme, and reactor design are discussed in detail from both research and commercial points of view. Results of simulation with the developed models are compared with those determined at pilot plant scale as well as commercial practice. Kinetics data used in the reactor model are either taken from the literature or obtained under controlled experiments at the laboratory.

Trusted by 375,005 students

Access to over 1.5 million titles for a fair monthly price.

Study more efficiently using our study tools.

Information

Publisher
Wiley
Year
2011
Print ISBN
9780470185308
Edition
1
eBook ISBN
9781118002162
1
PETROLEUM REFINING
1.1 PROPERTIES OF PETROLEUM
Petroleum is the most important substance consumed in modern society. It provides not only fuel and energy for transportation but is also used in plastics, paint, fertilizer, insecticide, medicine, and elsewhere. The exact composition of petroleum varies widely from source to source, but the percentage of chemical elements changes over fairly narrow limits. Hydrogen and carbon are the major components, and sulfur, nitrogen, oxygen, and metals are present in relatively lower quantities (Table 1.1). Usually, petroleum or crude oil comes from deep underground, where the vestiges of plants and animals from millions of years ago have been heated and pressurized over time. It is blackish in color and has a characteristic odor that comes from the presence of small amounts of chemical compounds containing sulfur, nitrogen, and metals.
TABLE 1.1. Typical Elemental Composition of Petroleum
ElementWeight Percentage
C84–87
H11–14
O0.1–0.5
N0.1–2
S0.5–6
Metals0–0.1
The change in crude oil quality around the world (e.g., heavy petroleum production has been increased in recent years) has obliged crude oil refiners to reconfigure current refineries and to design new refineries specifically to process heavier feedstocks (i.e., blends of various crude oils with elevated amount of heavy petroleum). These new feeds are characterized by high amounts of impurities (sulfur, metals, nitrogen, asphaltenes) and low distillate yields, which make them more difficult than light crude oils to process.
Comparisons of some properties of various crude oils are presented in Tables 1.2 and 1.3. It is clear that light and heavy crude oils have remarkable differences. Heavy petroleum is characterized by low API gravity, large amounts of impurities, and low distillates yields; light petroleum is of much better quality. In general, the lower the API gravity (i.e., the heavier the crude oil), the higher the impurities content and the lower the distillates yield. Such properties make processing of heavy petroleum different from that used for light crude oil refining. In other words, a refinery capable of processing light petroleum cannot, without changes in some units or even complete reconfiguration, be employed to process 100% heavy petroleum.
TABLE 1.2. Range of Properties of Various Types of Petroleum
c01t00220vi
TABLE 1.3. Properties of Various Crude Oils
c01t00220wh
In general, light crude oil is rich in light distillates, and heavy crude oil, in residuum. However, the petroleum composition may vary with its API gravity and origin. Physical properties and exact chemical composition of crude oil also vary from one source to another. As a guide to chemical composition, Table 1.4 provides qualitative data on saturate, aromatic, resin and asphaltene (SARA) contents in the heavy fractions present in various crude oils. The most complex impurity of petroleum is asphaltene, which consists of condensed polynuclear aromatics containing small amounts of heteroatoms (S, N, O) and traces of nickel and vanadium. Asphaltenes are typically defined as brown and black powdery material produced by the treatment of petroleum, petroleum residua, or bituminous materials with a low-boiling liquid hydrocarbon (e.g., pentane or heptane); and soluble in benzene (and other aromatic solvents), carbon disulfide, and chloroform (or other chlorinated hydrocarbon solvents). Asphaltene molecules are grouped together in systems of up to five or six sheets, which are surrounded by the maltenes (all those structures different from asphaltenes that are soluble in n-heptane) and resin.
TABLE 1.4. SARA Analysis and Physical Properties of Petroleum
c01t001
The properties of petroleum, such as viscosity, density, boiling point, and color, may vary widely, and the ultimate or elemental analysis varies over a narrow range for a large number of samples. Metals have a tendency to concentrate more in the heavier fraction (asphaltene) than in the saturated and aromatic fractions. The higher the asphaltene content in crude oil, the higher the metal content; however, the increase in vanadium concentration is not proportional to that of nickel. Nitrogen and sulfur can be present in traces in light petroleum, but with heavier or extra heavy crude oil, the sulfur and nitrogen contents also increase.
1.2 ASSAY OF CRUDE OILS
It is important to determine the physical and chemical characterizations of crude oil through a crude oil assay, since they are used in different areas in the petroleum refining industry. The most common applications of petroleum assays are:
  • To provide extensive detailed experimental data for refiners to establish the compatibility of a crude oil for a particular petroleum refinery
  • To anticipate if the crude oil will fulfill the required product yield, quality, and production
  • To determine if during refining the crude oil will meet environmental and other standards
  • To help refiners to make decisions about changes in plant operation, development of product schedules, and examination of future processing ventures
  • To supply engineering companies with detailed crude oil analyses for their process design of petroleum refining plants
  • To facilitate companies’ crude oil pricing and to negotiate possible penalties due to impurities and other nondesired properties
A crude oil assay is a compilation of laboratory (physical and chemical properties) and pilot-plant (distillation and product fractionation) data that characterize a specific crude oil. Assay analyses of whole crude oils are carried out by combining atmospheric and vacuum distillation units, which when combined will provide a true boiling-point (TBP) distillation. These batch distillation methods, although taking between 3 and 5 days, allow the collection of a sufficient amount of distillation fractions for use in further testing. The values of the distillation ranges of the distilled fractions are usually defined on the basis of their refinery product classifications. The most common distillation ranges used in international assays of crude oils are reported in Table 1.5.
TABLE 1.5. Typical Distillation Range of Fractions in Petroleum Assays
TBP Distillation Range (°C)Distillate
IBP–71Light straight-run naphtha
71–177Medium straight-run naphtha
177–204Heavy straight-run naphtha
204–274Jet fuel
274–316Kerosene
316–343Straight-run gasoil
343–454Light vacuum gasoil
454–538Heavy vacuum gasoil
R 538°C+Vacuum residue
There are various types of assays, which vary considerably in the amount of experimental information determined. Some include yields and properties of the streams used as feed for catalytic reforming (naphtha) and catalytic cracking (gas oils). Others give additional details for the potential production of lubricant oil and/or asphalt. At a minimum, the assay should contain a distillation curve (typically, TBP distillation) for the crude oil and a specific gravity curve.
The most complete assay includes experimental characterization of the entire crude oil fraction and various boiling-range fractions. Curves of TBP, specific gravity, and sulfur content are normal data contained in a well-produced assay. As an example, assays of various Mexican crude oils are presented in Table 1.6. The API gravity of these crude oils ranges from 10 to 33°API. API gravity is a measure of the relative density of a petroleum liquid and the density of water (i.e., how heavy or light a petroleum liquid is compared to water). Although, mathematically, API gravity has no units, it is always referred to as being in “degrees.” The correlation between specific gravity (sg) and degrees API is as follows (the specific gravity and the API gravity are both at 60°F):
(1.1)
c01e001
TABLE 1.6. Assay of Various Mexican Crude Oils
c01t00620y9
Viscosity must be provided at a minimum of three temperatures so that one can calculate the sample viscosity at other temperatures. The most common temperatures used to determine viscosity are 15.5, 21.1, and 25°C. If viscosities of the sample cannot be measured at those temperatures, the sample needs to be heated and higher temperatures are used, such as in the case of the 10 and 13°API crude oils reported in Table 1.6. Once viscosities at three temperatures are available, a plot of a double logarithm (log10) of viscosity against the temperature can be constructed, and viscosities at other temperatures can be obtained easily, as shown in Figure 1.1.
Figure 1.1. Kinematic viscosities of several Mexican crude oils.
c01f001
The characterization factor (KUOP or KWatson) of the Mexican crude oils reported in Table 1.6 ranges from 11.5 to 12.0. The K factor is not determined experimentally; rather, it is calculated using the following equation (for petroleum fractions):
(1.2)
c01e002
where MeABP (in degrees Rankine) is the mean average boiling point of the sample calculated with distillation curve data.
In general, if K > 12.5, the sample is predominantly paraffinic in nature, while K < 10.0 is indicative of highly aromatic material. The characterization factor thus provides a means for roughly identifying the general origin and nature of petroleum solely on the basis of two observable physical parameters, sg and MeABP. More detailed relationships of the K factor to the nature of the sample are given in Table 1.7. The characterization factor has also been related to other properties (e.g., viscosity, aniline point, molecular weight, critical temperature, percentage of hydrocarbons), so it can be estimated using a number of petroleum properties.
TABLE 1.7. Relationship of Type of Hydrocarbon to the Characterization Factor
K FactorType of Hydrocarbon
12.15–12.90Paraffinic
11.50–12.10Naphthenic–paraffinic
11.00–11.45Naphthenic
10.50–10.90Aromatic–naphthenic
10.00–10.45Aromatic
Asphaltenes, which are generally reported as n-heptane insolubles, are, strictly speaking, defined as the weight percentage of n-heptane insolubles (HIs) minus the weight percentage of toluene insolubles (TIs) in the sample (wt% of asphaltenes = wt% of HI − wt% of TI). For the crude oils given in Table 1.6, their asphaltene contents are 24.65, 17.83, 11.21, 1.56, and 0.57 wt% for the 10°API, 13°API, Maya, Isthmus, and Olmeca crude oils, respectively.
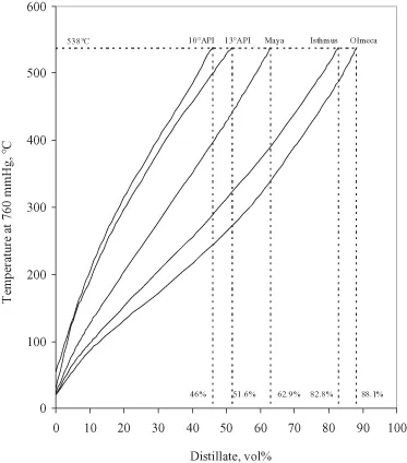
TBP distillations for Mexican crude oils are presented in Figure 1.2. It is clear that light crude oils that have high API gravity values present also the highest amounts of distillates [e.g., Olmeca crude oil (38.67°API) has 88.1 vol% distillates, whereas the 10°API has only 46 vol% distillates]. Figures 1.3 and 1.4 illustrate plots of API gravity and the sulfur content of distillates against the average volume percentage of distillates of the various crude oils. Distillates of heavier crude oils have lower API gravity and a higher sulfur content than those obtained from light crude oils.
Figure 1.2. True boiling-point curve of various Mexican crude oils.
c01f002
Figure 1.3. API gravity of distillates versus average volume percentage.
c01f003
Figure 1.4. Sulfur content of distillates versus average volume percentage.
c01f004
1.3 SEPARATION PROCESSES
1.3.1 Crude Oil Pretreatment: Desalting
Desalting is the first separation process that takes place at the front end of a petroleum refinery (i.e., prior to atmospheric distillation; Figure 1.5). Its primary objective is to prevent corrosion and fouling of downstream lines and equipment by reducing the oil’s salt content significantly. Desalting is normally considered a part of the crude distillation unit since heat from some of the streams in the atmospheric distillation is used to heat the crude in the desalting process. The most common salts in crude oil are sodium, calcium and magnesium chlorides (NaCl ∼ 70 to 80 wt%, CaCl2 ∼ 10 wt%, and MgCl2 ∼ 10 to 20 wt%), which are in the form of crystals or ionized in the water present in the crude. If salt is not removed, the high temperatures present during crude oil refining could cause water hydrolysis, which in turn allows the formation of hydrochloric acid (HCl), provoking serious corrosion problems in the equipment. Part of the salt that has not been removed can also cause fouling problems in pipes, heat transfer equipment, and furnaces. Deactivation of catalysts (e.g., the zeolite-type catalysts used in fluid catalytic cracking) may be enhanced by the metals in salts, particularly sodium. Typically, the maximum salt content allowed in the feed to crude distillation units is 50 PTB (pounds of salt per thousand barrels of crude oil).
Figure 1.5. Desalting and atmospheric and vacuum disti...

Table of contents

  1. Cover
  2. Title page
  3. Copyright page
  4. PREFACE
  5. ABOUT THE AUTHOR
  6. 1 PETROLEUM REFINING
  7. 2 REACTOR MODELING IN THE PETROLEUM REFINING INDUSTRY
  8. 3 MODELING OF CATALYTIC HYDROTREATING
  9. 4 MODELING OF CATALYTIC REFORMING
  10. 5 MODELING AND SIMULATION OF FLUIDIZED-BED CATALYTIC CRACKING CONVERTERS
  11. Index

Frequently asked questions

Yes, you can cancel anytime from the Subscription tab in your account settings on the Perlego website. Your subscription will stay active until the end of your current billing period. Learn how to cancel your subscription
No, books cannot be downloaded as external files, such as PDFs, for use outside of Perlego. However, you can download books within the Perlego app for offline reading on mobile or tablet. Learn how to download books offline
Perlego offers two plans: Essential and Complete
  • Essential is ideal for learners and professionals who enjoy exploring a wide range of subjects. Access the Essential Library with 800,000+ trusted titles and best-sellers across business, personal growth, and the humanities. Includes unlimited reading time and Standard Read Aloud voice.
  • Complete: Perfect for advanced learners and researchers needing full, unrestricted access. Unlock 1.5M+ books across hundreds of subjects, including academic and specialized titles. The Complete Plan also includes advanced features like Premium Read Aloud and Research Assistant.
Both plans are available with monthly, semester, or annual billing cycles.
We are an online textbook subscription service, where you can get access to an entire online library for less than the price of a single book per month. With over 1.5 million books across 990+ topics, we’ve got you covered! Learn about our mission
Look out for the read-aloud symbol on your next book to see if you can listen to it. The read-aloud tool reads text aloud for you, highlighting the text as it is being read. You can pause it, speed it up and slow it down. Learn more about Read Aloud
Yes! You can use the Perlego app on both iOS and Android devices to read anytime, anywhere — even offline. Perfect for commutes or when you’re on the go.
Please note we cannot support devices running on iOS 13 and Android 7 or earlier. Learn more about using the app
Yes, you can access Modeling and Simulation of Catalytic Reactors for Petroleum Refining by Jorge Ancheyta in PDF and/or ePUB format, as well as other popular books in Technology & Engineering & Chemical & Biochemical Engineering. We have over 1.5 million books available in our catalogue for you to explore.