Analytical Methods for Flavor and Fragrance Materials covers the most important methods in the analysis of flavour and fragrance materials, including traditional and newly emerging methodologies. It discusses the capabilities of the various analytical methods for flavour and fragrance analysis and guides the newcomer to the most appropriate techniques for specific analytical problems.

eBook - ePub
Practical Analysis of Flavor and Fragrance Materials
- English
- ePUB (mobile friendly)
- Available on iOS & Android
eBook - ePub
Practical Analysis of Flavor and Fragrance Materials
About this book
Modern flavours and fragrances are complex formulated products containing blends of aroma compounds with auxiliary materials, enabling desirable flavours or fragrances to be added to a huge range of products. The flavour and fragrance industry is a key part of the worldwide specialty chemicals industry, yet most technical recruits have minimal exposure to flavours and fragrances before recruitment. The analytical chemistry of flavour and fragrance materials presents specific challenges to the analytical chemist, as most of the chemicals involved are highly volatile, present in very small amounts and in complex mixtures.
Trusted by 375,005 students
Access to over 1.5 million titles for a fair monthly price.
Study more efficiently using our study tools.
Information
Chapter 1
Overview of Flavor and Fragrance Materials
The nature of this chapter must be that of an overview as the alternative would be a multivolume series! The difficulty is not a shortage of material but rather a surfeit, and a second issue is how to give a rational coverage; should the materials be classified by chemistry, by odor or by application? The approach here is a combination of all three, and is based in part on a précis of The Chemistry and Technology of Flavours and Fragrances [1].
There is, of course, a massive overlap between flavor and fragrance; for example, cis-3-hexenol, discussed below, has a âgreenâ, cut-grass odor, and hence contributes freshness to both flavors and fragrances. The division between the two Fs is itself not always a natural one!
1.1 Flavor Aroma Chemicals
1.1.1 Nature Identical
The vast majority of the aroma chemicals used in flavor are nature identical (NI), that is, they have been identified as occurring in foodstuffs in the human food chain. This is a key method of identifying the most important components which create a flavor, and until recently, there were also regulatory implications. European Council Directive 88/388/EEC defined these as âflavouring substances identical to natural substancesâ, with the alternative being âartificial flavouring substancesâ, with the latter leading to the stigma of âartificial flavorsâ. The newest regulations, REGULATION (EC) No 1334/2008 OF THE EUROPEAN PARLIAMENT AND OF THE COUNCIL, no longer differentiates between Nature Identical and artificial, but the concept is still important â as a guide to flavorists, knowing a material is NI is important, and it can be especially so the context of âfrom the named foodâ type of flavours. Regulation 1334/2008 now only differentiates between âflavouring substancesâ and ânatural flavouring substancesâ, which harmonizes to an extent with the USA, where the NI classification has never been used. Even there, though, the NI concept has value, as materials have to be on the FEMA GRAS list, that is they are âGenerally Recognized As Safeâ, and the vast majority of such substances are found in Nature.
1.1.1.1 Alcohols
It should be noted that ethanol 1 itself is a flavor component of âalcoholic drinksâ as anyone tasting alcohol-free drinks will report! In fact it may considered as a solvent (especially in fragrances), as a flavour substance (FEMA 2419) or an additive (E1510)! cis-3-Hexenol 2, mentioned above, is produced in nature as a âwound chemicalâ, that is, when plant tissue is damaged, ingressing oxygen is âmopped upâ by reaction with linoleic acid, which generates the unstable cis-3-hexenal, which is enzymatically reduced to the alcohol. Also formed are trans-2-hexenal 3, which has a harsher, more acrid greenness and trans-2-hexenol 4, which is rather sweeter:

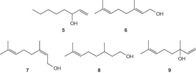
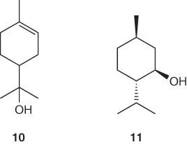
1-Octen-3-ol, âmushroom alcoholâ 5, has the earthy note characteristic of mushrooms. The âterpenoidâ alcohols, C10 derivatives, include geraniol 6 and its isomer nerol 7, citronellol 8 and linalool 9 [2]. Cyclic terpenoid alcohols include α-terpineol 10 and menthol 11:


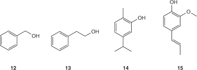
Benzyl alcohol 12 has relatively little odor and is more commonly used as a solvent in flavors; phenethyl alcohol 13 is a component of rose oil and has a pleasant rose-like aroma. Two important phenols are thymol 14 and eugenol 15, which are also major components of thyme and clove oils respectively:

1.1.1.2 Acids
Simple acids contribute sharp notes which often become fruity on dilution. Butyric acid 16 is indisputably âbaby vomitâ in high concentration; valeric acid 17 is cheesy, whereas 2-methylbutyric acid 18 is fruitier. Longer chain acids such as decanoic 19 are fatty and are important in dairy flavors. 4-Methyloctanoic acid 20 has the sharp fatty character of roasted lamb:


1.1.1.3 Esters
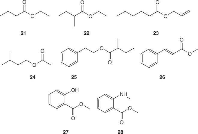
Numerous esters are used in flavors, so it is almost a case of any flavor alcohol combined with any flavor acid! Important simple esters include the fruity ethyl butyrate 21 and 2-methylbutyrate 22; allyl hexanoate 23 has a familiar pineapple aroma and isoamyl acetate 24 is âpear dropsâ. Phenethyl 2-methylbutyrate 25 is ârose bud esterâ and the warm sweet aroma of methyl cinnamate 26 makes it valuable in strawberry flavors. Methyl salicylate is the main component of wintergreen oil 27 and methyl N-methylanthranilate 28 is found in mandarin, which differentiates this from the other citrus oils:

1.1.1.4 Lactones
These cyclic esters are usually found as gamma-lactones (five-membered rings) and delta-lactones (six-membered). Like their acyclic cousins they are used in fruit flavors and also for dairy, especially the delta-lactones such as delta-decalactone 29. Gamma-nonalactone 30, also misleadingly known as Aldehyde C18, has a powerful coconut odor:

1.1.1.5 Aldehydes
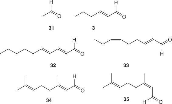
Acetaldehyde 31 is ubiquitous in fruit aromas, though its volatility (b.p. 19 °C) makes it difficult and dangerous to handle as a pure aroma chemical. Unsaturated aldehydes such as the previously mentioned trans-2-hexenal (leaf aldehyde) 3 are very important. trans-2-trans-4-Decadienal 32 is intensely âfatty-citrusâ; trans-2-cis-6-nonadienal 33 is âviolet leaf aldehydeâ. âCitralâ, a mixture of the isomers geranial 34 and neral 35, is intensely lemon; it is a key flavor component of lemon and to a lesser extent other citrus oils:

Benzaldehyde 36 is widely used in fruit flavors, especially for cherry, though in fact it is not a key component of cherries. Cinnamaldehyde 37 is found in cassia and cinnamon oils. The most important aromatic aldehyde, and one of the most significant of all aroma chemicals, is vanillin 38:

1.1.1.6 Ketones
The C4 ketones diacetyl 39 and acetoin 40 are used in butter-type flavors for margarines and other dairy products and hence are used in very large quantities. The former is very volatile and is believed to have led to respiratory damage amongst people exposed to large quantities of its vapor. The cyclic diketone âmaple lactoneâ 41 occurs as the enolic methylcyclopentenolone (MCP) and has the characteristic sweet, caramel odour of maple syrup. Raspberry ketone 42 is unusual in the bizarre world of flavor and fragrance trade names in that it is actually ...
Table of contents
- Cover
- Title Page
- Copyright
- Preface
- About the Editors
- List of Contributors
- Chapter 1: Overview of Flavor and Fragrance Materials
- Chapter 2: Sample Preparation
- Chapter 3: Traditional Flavor and Fragrance Analysis of Raw Materials and Finished Products
- Chapter 4: Gas Chromatography/Olfactometry (GC/O)
- Chapter 5: Multivariate Techniques
- Chapter 6: Electronic Nose Technology and Applications
- Chapter 7: MS/Nose Instrumentation as a Rapid QC Analytical Tool
- Chapter 8: Sensory Analysis
- Chapter 9: Regulatory Issues and Flavors Analysis
- Index
Frequently asked questions
Yes, you can cancel anytime from the Subscription tab in your account settings on the Perlego website. Your subscription will stay active until the end of your current billing period. Learn how to cancel your subscription
No, books cannot be downloaded as external files, such as PDFs, for use outside of Perlego. However, you can download books within the Perlego app for offline reading on mobile or tablet. Learn how to download books offline
Perlego offers two plans: Essential and Complete
- Essential is ideal for learners and professionals who enjoy exploring a wide range of subjects. Access the Essential Library with 800,000+ trusted titles and best-sellers across business, personal growth, and the humanities. Includes unlimited reading time and Standard Read Aloud voice.
- Complete: Perfect for advanced learners and researchers needing full, unrestricted access. Unlock 1.5M+ books across hundreds of subjects, including academic and specialized titles. The Complete Plan also includes advanced features like Premium Read Aloud and Research Assistant.
We are an online textbook subscription service, where you can get access to an entire online library for less than the price of a single book per month. With over 1.5 million books across 990+ topics, weâve got you covered! Learn about our mission
Look out for the read-aloud symbol on your next book to see if you can listen to it. The read-aloud tool reads text aloud for you, highlighting the text as it is being read. You can pause it, speed it up and slow it down. Learn more about Read Aloud
Yes! You can use the Perlego app on both iOS and Android devices to read anytime, anywhere â even offline. Perfect for commutes or when youâre on the go.
Please note we cannot support devices running on iOS 13 and Android 7 or earlier. Learn more about using the app
Please note we cannot support devices running on iOS 13 and Android 7 or earlier. Learn more about using the app
Yes, you can access Practical Analysis of Flavor and Fragrance Materials by Kevin Goodner, Russell Rouseff, Kevin Goodner,Russell Rouseff in PDF and/or ePUB format, as well as other popular books in Physical Sciences & Analytic Chemistry. We have over 1.5 million books available in our catalogue for you to explore.