Molecular Encapsulation
eBook - ePub

Molecular Encapsulation

Organic Reactions in Constrained Systems

  1. English
  2. ePUB (mobile friendly)
  3. Available on iOS & Android
eBook - ePub

Molecular Encapsulation

Organic Reactions in Constrained Systems

About this book

The inclusion of small guest molecules within suitable host compounds results in constrained systems that imbue novel properties upon the incarcerated organic substrates. Supramolecular tactics are becoming widely employed and this treatise spotlights them. Often, the impact of encapsulation on product formation is substantial. The use of constrained systems offers the means to steer reactions along desired pathways. A broad overview of various supramolecular approaches aimed to manipulate chemical reactions are featured.

The following topics are covered in detail:

- general concepts governing the assembly of the substrate with the reaction vessel

- preparation of molecular reactors

- stabilization of reactive intermediates

- reactions in water, in organic solvents, and in the solid state

- photochemical reactions

- reactions with unusual regioselectivity

Molecular Encapsulation: Organic Reactions in Constrained Systems is an essential guide to the art of changing the outcome and the selectivity of a chemical reaction using nano-sized reaction vessels. It will find a place on the bookshelves of students and researchers working in the areas of supramolecular chemistry, nanotechnology, organic and pharmaceutical chemistry, and materials science as well.

Trusted by 375,005 students

Access to over 1.5 million titles for a fair monthly price.

Study more efficiently using our study tools.

Information

Publisher
Wiley
Year
2011
Print ISBN
9780470998076
eBook ISBN
9781119957102
1
Reaction Control by Molecular Recognition–A Survey from the Photochemical Perspective
Cheng Yang1, Chenfeng Ke2, Yu Liu2, and Yoshihisa Inoue1
1 PRESTO (JST) and Department of Applied Chemistry, Osaka University, Suita 565-0871, Japan2 Department of Chemistry, Nankai University, Tianjing, China
1.1 Introduction
Molecular recognition through non-covalent interactions between two or more molecules has attracted much attention from a broad spectrum of chemists for a long period of time and has already found many applications in various areas of science and technology. The concept of molecular recognition was first developed for biomolecular systems such as enzyme, antibody and DNA, which can selectively bind the specific target molecules through non-covalent weak interactions, including hydrogen bonding, van der Waals, dipole–dipole, charge–dipole and hydrophobic interactions.1–3 Recent studies on artificial host–guest systems have revealed that molecular recognition is the essential conceptual basis for supramolecular chemistry and nanotechnology.4,5
Reaction control through complexation of substrate by supramolecular host is a relatively new idea compared to the conventional approaches that involve simple collisional attack or coordination of substrate to metal. Multiple non-covalent interactions in supramolecular assembly bind and locate a site-specific substrate in the right position, orientation and conformation near the catalyst or active site, stabilize the high-energy transition state, and eventually make the reaction faster and more selective. Typical examples are found in enzymatic reactions, which proceed with high specificity and efficiency in aqueous solutions under mild conditions. These observations in natural systems have inspired researchers to develop novel research areas such as supramolecular chemistry, biomimetic chemistry and bio-inspired materials science and technology.6,7
Contrary to the thermal counterpart, photochemical reactions in supramolecular system have been less investigated and therefore of current interest. Photochemistry is a powerful tool in synthetic chemistry as a complementary method for achieving compounds that are difficult to obtain through thermal reactions due to high strain, low stability, and orbital symmetry reasons. Unlike thermal reactions, photoreactions deal with excited-state molecules that are usually short-lived but experience much lower energy barriers and exhibit high reactivities even at low temperatures. As a consequence of these features, the precise control of a photoreaction is more difficult to achieve than that of thermal one. This is one of the reasons why most asymmetric photoreactions result in only relatively low enantioselectivities. In this context, supramolecular approaches to the photochemical asymmetric synthesis enable the more precise control of the orientation and conformation of substrates and, as a result, the enantioselectivity of photoproducts, by utilizing the non-covalent interactions in both ground and excited states.
Supramolecular photochemistry is a relatively new interdisciplinary area of science and may be tracked back to the work in early 1980s, where the spectroscopic properties of ions were manipulated by crown ethers.8–10 The rapid development of supramolecular chemistry in the last two decades accelerated the application of supramolecular systems to organic photochemistry 11,12 and more recently to asymmetric synthesis, 13,14 leading to a great number of publications on reaction control by molecular recognition. Consequently, not all of these areas will be covered, but the concentration will be rather on the representative supramolecular photoreactions conducted primarily in solution. This will help idenitify the crucial concepts, strategies and conclusions as well as the major factors and mechanisms that govern the supramolecular photochemistry in different systems, and also provide the possible applications and future perspectives of this interesting area of supramolecular chemistry.
1.2 Photochemical Reactions Mediated by Macrocyclic Compounds
1.2.1 Supramolecular Photoreactions with Crown Ethers
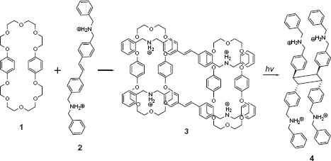
Crown ethers, a family of cyclic oligomers of ethylene oxide, are artificial macrocyclic hosts which have been synthesized and utilized since the early days of supramolecular chemistry.15,16 Besides various metal ions that are complexed by crown ethers mainly through ion–dipole interaction, primary and secondary organic ammonium ions also form stable complexes with larger sized crown ethers through ion–dipole and hydrogen-bonding interactions. Stoddart and co-workers used crown ethers that can simultaneously bind two organic ammonium guests to facilitate photodimerization. 2 forms a doubly encircled, doubly threaded 2: 2 complex with bis-p-phenylene-34-crown-10 1 to give a centrosymmetric [4]pseudorotaxane in the solid state. In addition to the hydrogen-bonding interactions between 1 and 2, the complex is also stabilized by ππ stacking interactions between the two trans-stilbene units with mean interplanar and centroid-centroid separations of 3.57 and 4.33 Å, respectively. The close arrangement of stilbenes accelerates the photodimerization upon irradiation to17 As illustrated in Scheme 1.1, trans-stilbene derivative exclusively give a single cyclobutane isomer 4 with a synantisyn conformation, as confirmed by X-ray crystallographic analysis. A control experiment showed that no photodimerization but only trans-to-cis isomerization took place in the absence of crown ether 1.
Scheme 1.1
The photochromic behavior of viologens is greatly affected upon complexion with crown ether. Viologens show photoinduced colour change in the absence of any additional reagents when dispersed in isotropic thin polymer films.18 Irradiation of benzylviologen 5 (Scheme 1.2) incorporated in a polymer matrix caused a colour change from colourless to blue as a result of the reduction of 5 from dication to radical cation, which was reverted to dication within 2 h in the dark. Crown ether 1 forms a 1: 1 complex with 5 and also with 6 in acetone with association constants of ca. 200 M—1. The charge-transfer (CT) interaction between viologen 5 or 6 and 1 led to the formation of yellow-coloured CT complex with a CT absorption band at 453 nm and 421 nm for 5 and 6, respectively. The crown ether complexes of photoreduced viologens showed much accelerated bleaching rates than the corresponding free viologen radical cations. A similar phenomenon was observed also for 21 complex in a polymer matrix.
Scheme 1.2
1.2.2 Supramolecular Photoreactions with Calixarenes
Calix[n]arenes are a class of macrocycles that are normally made up of phenol units linked with methylene bridges and possess cavities of various sizes that can accommodate small organic molecules primarily driven by hydrophobic interactions.Water soluble p-sulfonatocalix[6]arene (SCA[6]) and [8]arene (SCA[8]) (Scheme 1.3) have dimensions of 15.9 × 11.8 Å and 20.4 × 16.7 Å at the upper rim and 6.5 × 3.3 Å and 8.6 × 5.9 Å at the lower rim, respectively,19,20 and provide suitable cavities for accommodating quaternary ammonium ions, 21,22 native amino acids,23 and small neutral organic molecules.24 Using SCA[6] and SCA[8]25 as supramolecular hosts, Ramamurthy et al. investigated the photochemistry of benzoin alkyl ethers 7a–c.26 28– These SCAs formed the corresponding 1: 1 complexes with 7a–c in aqueous solution, and 7a showed modest association constants of 137 M—1 and 386 M—1 with SCA[6] and SCA[8], respectively. Upon photolysis, these benzoin alkyl ethers underwent both the Norrish type I (α -cleavage) and type II (γ-hydrogen abstraction) reactions to give photoproducts 8–12 (Scheme 1.3). In the absence of SCAs, pinacol ether 9 was obtained as in 92% relative yield in aqueous solution at pH 7, along with deoxybenzoin 11 (8% relative yield), for which the α-cleavage (kα ≈1010 s—1) faster than the γ-hydrogen abstraction (kγ ≈109 s—1) is responsible. However, when the photoreaction was performed in the presence of SCA, product 11 became the major product. The relative yield of the type II products 11 and 12 depends critically on the -cavity size of hosts and association constants. Photoirradiation of 7a in the presence of an 8-fold excess amount of SCA[8] o...

Table of contents

  1. Cover
  2. Title
  3. Copyright page
  4. Preface
  5. List of Contributors
  6. 1 Reaction Control by Molecular Recognition – A Survey from the Photochemical Perspective
  7. 2 Cyclodextrins
  8. 3 Cyclodextrins as Molecular Reactors
  9. 4 Reactions Mediated by Cyclodextrins
  10. 5 Reactions in Zeolites
  11. 6 Chemistry in Self-Assembled Nanoreactors
  12. 7 Concave Reagents
  13. 8 Reactivity Control by Calixarenes
  14. 9 Reactivity Control by Calixarenes
  15. 10 Encapsulation of Reactive Intermediates
  16. 11 Dye Encapsulation
  17. 12 Organic Cations in Constrained Systems
  18. 13 Organic Cations in Constrained Systems
  19. 14 Chemical Reactions with RNA and DNA Enzymes
  20. 15 Reactions in Supramolecular Systems
  21. 16 Encapsulation Processes by Bilayer Vesicles
  22. 17 Reactions in Liposomes
  23. Index

Frequently asked questions

Yes, you can cancel anytime from the Subscription tab in your account settings on the Perlego website. Your subscription will stay active until the end of your current billing period. Learn how to cancel your subscription
No, books cannot be downloaded as external files, such as PDFs, for use outside of Perlego. However, you can download books within the Perlego app for offline reading on mobile or tablet. Learn how to download books offline
Perlego offers two plans: Essential and Complete
  • Essential is ideal for learners and professionals who enjoy exploring a wide range of subjects. Access the Essential Library with 800,000+ trusted titles and best-sellers across business, personal growth, and the humanities. Includes unlimited reading time and Standard Read Aloud voice.
  • Complete: Perfect for advanced learners and researchers needing full, unrestricted access. Unlock 1.5M+ books across hundreds of subjects, including academic and specialized titles. The Complete Plan also includes advanced features like Premium Read Aloud and Research Assistant.
Both plans are available with monthly, semester, or annual billing cycles.
We are an online textbook subscription service, where you can get access to an entire online library for less than the price of a single book per month. With over 1.5 million books across 990+ topics, we’ve got you covered! Learn about our mission
Look out for the read-aloud symbol on your next book to see if you can listen to it. The read-aloud tool reads text aloud for you, highlighting the text as it is being read. You can pause it, speed it up and slow it down. Learn more about Read Aloud
Yes! You can use the Perlego app on both iOS and Android devices to read anytime, anywhere — even offline. Perfect for commutes or when you’re on the go.
Please note we cannot support devices running on iOS 13 and Android 7 or earlier. Learn more about using the app
Yes, you can access Molecular Encapsulation by Udo H. Brinker, Jean-Luc Mieusset, Udo H. Brinker,Jean-Luc Mieusset in PDF and/or ePUB format, as well as other popular books in Physical Sciences & Physical & Theoretical Chemistry. We have over 1.5 million books available in our catalogue for you to explore.