
The Analysis of Covariance and Alternatives
Statistical Methods for Experiments, Quasi-Experiments, and Single-Case Studies
- English
- ePUB (mobile friendly)
- Available on iOS & Android
The Analysis of Covariance and Alternatives
Statistical Methods for Experiments, Quasi-Experiments, and Single-Case Studies
About this book
A complete guide to cutting-edge techniques and best practices for applying covariance analysis methods
The Second Edition of Analysis of Covariance and Alternatives sheds new light on its topic, offering in-depth discussions of underlying assumptions, comprehensive interpretations of results, and comparisons of distinct approaches. The book has been extensively revised and updated to feature an in-depth review of prerequisites and the latest developments in the field.
The author begins with a discussion of essential topics relating to experimental design and analysis, including analysis of variance, multiple regression, effect size measures and newly developed methods of communicating statistical results. Subsequent chapters feature newly added methods for the analysis of experimentswith orderedtreatments, including two parametric and nonparametric monotone analyses as well as approaches based on the robust general linear model and reversed ordinal logistic regression. Four groundbreaking chapters on single-case designs introduce powerful new analyses for simple and complex single-case experiments. This Second Edition also features coverage of advanced methods including:
- Simple and multiple analysis of covariance using both the Fisher approach and the general linear model approach
- Methods to manage assumption departures, including heterogeneous slopes, nonlinear functions, dichotomous dependent variables, and covariates affected by treatments
- Power analysis and the application of covariance analysis to randomized-block designs, two-factor designs, pre- and post-test designs, and multiple dependent variable designs
- Measurement error correction and propensity score methods developed for quasi-experiments, observational studies, and uncontrolled clinical trials
Thoroughly updated to reflect the growing nature of the field, Analysis of Covariance and Alternatives is a suitable book for behavioral and medical scineces courses on design of experiments and regression and the upper-undergraduate and graduate levels. It also serves as an authoritative reference work for researchers and academics in the fields of medicine, clinical trials, epidemiology, public health, sociology, and engineering.
Frequently asked questions
- Essential is ideal for learners and professionals who enjoy exploring a wide range of subjects. Access the Essential Library with 800,000+ trusted titles and best-sellers across business, personal growth, and the humanities. Includes unlimited reading time and Standard Read Aloud voice.
- Complete: Perfect for advanced learners and researchers needing full, unrestricted access. Unlock 1.4M+ books across hundreds of subjects, including academic and specialized titles. The Complete Plan also includes advanced features like Premium Read Aloud and Research Assistant.
Please note we cannot support devices running on iOS 13 and Android 7 or earlier. Learn more about using the app.
Information
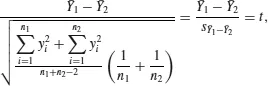
| A. Hypothesis Test |
Null hypothesis: H0: ![]() |
Test: Independent samples t (assume homogeneous population variances): ![]() where ![]() ![]() ![]() |
| When the t-ratio is obtained from sample data it is called the obtained value of t (denoted as tobt). After it is computed a decision rule is invoked in order to decide whether to reject the null hypothesis. Two forms of decision rules are described below; before either one can be used it is necessary to specify the level of α. Recall that the level of significance α is set before the experiment is carried out. If a directional (one-tailed) test is desired, the level of α may be denoted as α1. If a nondirectional (two-tailed) test is involved, then the level of alpha may be denoted as α2. |
| Decision rule for a nondirectional test using t. If the absolute value of tobt is ≥ tcv (where tcv is the critical value), then reject H0; otherwise retain. The critical value of t is often based on α2 set at .05; the degrees of freedom = N − 2 (where N = n1 + n2). |
| Decision rule for a nondirectional test using the p-value. Because most current statistics computer programs provide p-values in addition to obtained t-values, the modern approach is to simply inspect the p-value and compare it with the level of α that has been specified. The decision rule for a nondirectional test is as follows: if the p-value is ≤ α2, reject H0; otherwise retain. |
| B. Confidence Interval |
In the case of a simple two-group independent samples experiment the relevant 95% confidence interval is computed as follows: ![]() where ![]() ![]() |
Table of contents
- Cover
- Series
- Title Page
- Copyright
- Dedication
- Preface
- PART I: Basic Experimental Design and Analysis
- PART II: Essentials of Regression Analysis
- PART III: Essentials of Simple and Multiple ANCOVA
- PART IV: Alternatives for Assumption Departures
- PART V: Single-Case Designs
- PART VI: ANCOVA Extensions
- PART VII: Quasi-Experiments and Misconceptions
- Appendix: Statistical Tables
- References
- Index







