Modeling of Living Systems
eBook - ePub

Modeling of Living Systems

From Cell to Ecosystem

  1. English
  2. ePUB (mobile friendly)
  3. Available on iOS & Android
eBook - ePub

Modeling of Living Systems

From Cell to Ecosystem

About this book

Modeling is now one of the most efficient methodologies in life sciences. From practice to theory, this book develops this approach illustrated by many examples; general concepts and the current state of the art are also presented and discussed.

An historical and general introduction informs the reader how mathematics and formal tools are used to solve biological problems at all levels of the organization of life. The core of this book explains how this is done, based on practical examples coming, for the most part, from the author's personal experience. In most cases, data are included so that the reader can follow the reasoning process and even reproduce calculus. The final chapter is devoted to essential concepts and current developments. The main mathematical tools are presented in an appendix to the book and are written in an adapted language readable by scientists, professionals or students, with a basic knowledge of mathematics.

Trusted by 375,005 students

Access to over 1.5 million titles for a fair monthly price.

Study more efficiently using our study tools.

Information

Publisher
Wiley-ISTE
Year
2012
Print ISBN
9781848214231
Edition
1
eBook ISBN
9781118569696

Chapter 1

Methodology of Modeling in Biology and Ecology

1.1. Models and modeling

The notion of models in the field of biology emerged over the course of the 1960s and 1970s when it became apparent that more precision was required between the real-world subject of study and its representation through a mathematical object: the mathematical model. For living systems, one of the first major syntheses was created by J.-M. Legay [LEG 73]1. Since then, many groups and individuals have contributed to a more precise definition of this notion and, especially, the definition of a model construction and use strategy, i.e. a modeling approach. However, the development of this method has been a source of debate, with certain parties neglecting or denying its usefulness in biology and ecology, and other experts struggling with the idea that the mathematical and physical objects in question may appear simpler than the simplest virus or the most elementary macromolecule. Moreover, the difficulty of producing general laws written in a mathematical form is not always fully appreciated. This difficulty has two implications: firstly, it limits the applicable range of models, leading to a diversification of approaches, and secondly, it leads to a questioning of the approach itself. Finally, the difficulty in obtaining precise and sufficiently numerous measurements does not facilitate our task. This being said, we may no longer doubt the fact that modeling is recognized as an effective tool, particularly when integrated into a rigorous experimental approach.
Finally, while modeling is not necessarily a form of theorization, the construction of a model may prove to be a determining element; however, we must remember that a formula or mathematical object must, first and foremost, be operational, i.e. respond to the aims of the modeling activity, and, as far as possible, be interpretable in biological or ecological terms. This formula must be able to be translated into simple terms, accessible to all, to avoid esotericism in the language used: esotericism has a tendency to cover ignorance and leads to obscurantism.

1.1.1. Models

A model can be described as a symbolic representation of certain aspects of a real-world object or phenomenon, i.e. an expression or formula written following the rules of the symbolic system from which this representation stems. This may seem somewhat obscure. Firstly, we should illustrate the notion of a symbolic system. Let us take the example of natural integers. In everyday life, we use a set of ten symbols to represent the numbers 0, 1, 2, 3, 4, 5, 6, 7, 8, 9: the figures in the decimal system. The numbers we use to count, for example, the number of people in a room, are made up of a figure (from zero individuals, 0, to nine people, written as 9) or two or more figures in conjunction (for more than nine people). Moreover, we can perform defined operations using these numbers, for example addition, which allows us to use two numbers to obtain a third. These rules were not defined by chance, but correspond to a concrete reality. For example, if we know that a room contains 21 people and eleven more people enter the room, the addition 11 + 21 allows us to calculate the final number of people without needing to recount: 11 + 21 = 32. This demonstrates the operation of any symbolic system: we have a set of basic symbols which we can associate and transform using a set of rules specific to this system.
In practice, the symbolic systems used in modeling today are rather more complex, but are still based on the same principle. We encounter a wide variety of systems; in addition to everyday language, significant examples include:
– mathematical language, in which case we talk of mathematical models;
– computerized modes of representation (programming languages, database formalisms, knowledge-base formalisms, multi-agent formalisms, etc.;
– geometric representations: curves, surfaces, maps, etc.;
– and many others.
Figure 1.1. gives an idea of the most widespread symbolic representation systems. See the following for an example.
The Gompertz (mathematical) model
images
or
images
This model represents the growth of certain morphological variables, including height and body mass, in higher organisms (for example, the development of body mass in the muskrat presented in Chapter 3, section 3.5.2).
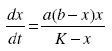
The Monod model
images
x represents the size of a population. This model provides a good representation of the growth of bacterial populations; we shall return to this example later.
Topographical maps and choremes
These provide users with a geometrical vision of the physical environment: for example, vegetation maps give a representation of vegetal coverage. Other symbolic systems may be used by geographers, for example, the choreme system proposed by Roger Brunet (see Brunet et al., [BRU 92], for example) to represent spatial organization and dynamics.
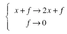
Functional representation
images
This diagram represents the growth of a biomass x in the presence of a growth factor f for which the dynamics are independent of the biomass. This diagram may be associated with the Gompertz model. It assists in the interpretation of the growth phenomena described by this model in functional terms.
One of the first problems we encounter is the choice of representation: we must represent well in order to solve well [MIN 88]. The integrated form of the Gompertz model, for example, is operational from a perspective of numerical calculation; the differential form, on the other hand, is better suited to interpretation. This expression is used to develop a block diagram, leading to the interpretation of the model in biological terms (see Chapter 2 and 3).
Figure 1.1. Principal categories of formal operational models: “traditional” models can only represent a small part of a complex system. This is the case, for example, of living systems or systems with biological components (e.g. ecosystems). Current modes of representation offered by computer sciences, for example multi-agent models, allow us to extend these representations by encircling them and, moreover, offering new possibilities in terms of manipulation and reasoning
ch1-image1.1.gif

1.1.2. Modeling

Clearly, modeling is the approach which leads to the creation of a model. The process takes into account:
– the object and/or phenomenon being represented;
– the formal system selected;
– objectives, i.e. the use for which the model is intended;
– data (in relation to variables) and information (concerning the relationship between variables) already available or accessible through experimentation or observation.
Figure 1.2. Example of formal representations of a biological system. Here, we have highlighted formalisms based on an object-centered computer representation used in certain IT systems. Note the (possible) links with other representations (mathematical, graphical or otherwise)
ch1-image1.2.gif
The tasks which need to be accomplished clearly depend on the biological situation and formal system selected. However, in all cases, we must:
– carry out formalization activities in correspondence with the writing of the model;
– manipulate this model within the formal system to render it more “useable” (for example to obtain an integrated expression from a differential equation) and to study its properties;
– establish relationships with other representations (for example, the graph of a function, or the computer program which will allow users to calculate numerical values);
– interpret and compare the different representations obtained in the formal world with the biological reality (this reality is generally seen through experimental data).

1.2. Mathematical modeling

As we have seen, modeling may be based on formal systems other than mathematics. However, mathematical modeling is the best known, explored and developed system (having been in use for over 2000 years), both in terms of its internal operations and in terms of the relationships between mathematical objects and real objects or other representations (for example, geometric representations). The construction of mathematical representations follows the same type of schema laid out in Figure 1.2 (see Figure 1.3).
However, we should remember that most current knowledge in mathematics was obtained through problems in the domain of physics. The capacity of mathematics to solve certain problems in this discipline is astonishing: objects and concepts have emerged, the existence of which was suggested by the logic inherent in mathematics, permitting subtle physical interpretations. To take a current example, we might refer to gauge theory, or to the consequences of Lagrangian invariance for certain transformations known as symmetries. However, these extraordinary successes should not distract us from the fact that the picture is less rosy as soon as we move away from fundamental physics, even to the domain of “everyday” physics, particularly in terms of the physics of complex systems (for example, the correct treatment of the painter’s ladder problem, including friction and the “oscillations” produced by the painter climbing the ladder, which is no easy matter). Tackling biological systems is harder still. We do not know if “nature” is essentially mathematical2, but one thing we can say, without excessive positivism, is that mathematics developed essentially around certain physical problems, and while it is encouraging and astounding that it responds so well to these questions, this seems to be greater proof of the excellence of the human mind rather than of the presence of a profound mathematical “essence” in the world.
With our current knowledge, we are able to give a more detailed vision of modeling using a global diagram where the “elementary” steps are laid out (see Figure 1.4). Our discussion will be based on this diagram. In Figures 1.2 and 1.3 and, to a lesser extent, in Figure 1.4., we see that we refer ba...

Table of contents

  1. Cover
  2. Title Page
  3. Copyright
  4. Preface
  5. Introduction
  6. Chapter 1. Methodology of Modeling in Biology and Ecology
  7. Chapter 2. Functional Representations: Construction and Interpretation of Mathematical Models
  8. Chapter 3. Growth Models – Population Dynamics and Genetics
  9. Chapter 4. Models of the Interaction Between Populations
  10. Chapter 5. Compartmental Models
  11. Chapter 6. Complexity, Scales, Chaos, Chance and Other Oddities
  12. APPENDICES
  13. Bibliography
  14. Index

Frequently asked questions

Yes, you can cancel anytime from the Subscription tab in your account settings on the Perlego website. Your subscription will stay active until the end of your current billing period. Learn how to cancel your subscription
No, books cannot be downloaded as external files, such as PDFs, for use outside of Perlego. However, you can download books within the Perlego app for offline reading on mobile or tablet. Learn how to download books offline
Perlego offers two plans: Essential and Complete
  • Essential is ideal for learners and professionals who enjoy exploring a wide range of subjects. Access the Essential Library with 800,000+ trusted titles and best-sellers across business, personal growth, and the humanities. Includes unlimited reading time and Standard Read Aloud voice.
  • Complete: Perfect for advanced learners and researchers needing full, unrestricted access. Unlock 1.5M+ books across hundreds of subjects, including academic and specialized titles. The Complete Plan also includes advanced features like Premium Read Aloud and Research Assistant.
Both plans are available with monthly, semester, or annual billing cycles.
We are an online textbook subscription service, where you can get access to an entire online library for less than the price of a single book per month. With over 1.5 million books across 990+ topics, we’ve got you covered! Learn about our mission
Look out for the read-aloud symbol on your next book to see if you can listen to it. The read-aloud tool reads text aloud for you, highlighting the text as it is being read. You can pause it, speed it up and slow it down. Learn more about Read Aloud
Yes! You can use the Perlego app on both iOS and Android devices to read anytime, anywhere — even offline. Perfect for commutes or when you’re on the go.
Please note we cannot support devices running on iOS 13 and Android 7 or earlier. Learn more about using the app
Yes, you can access Modeling of Living Systems by Alain Pavé in PDF and/or ePUB format, as well as other popular books in Biological Sciences & Zoology. We have over 1.5 million books available in our catalogue for you to explore.