Topics on Tournaments in Graph Theory
eBook - ePub

Topics on Tournaments in Graph Theory

  1. 112 pages
  2. English
  3. ePUB (mobile friendly)
  4. Available on iOS & Android
eBook - ePub

Topics on Tournaments in Graph Theory

About this book

Tournaments, in this context, are directed graphs ― an important and interesting topic in graph theory. This concise volume collects a substantial amount of information on tournaments from throughout the mathematical literature. Suitable for advanced undergraduate students of mathematics, the straightforward treatment requires a basic familiarity with finite mathematics.
The fundamental definitions and results appear in the earlier sections, and most of the later sections can be read independently of each other. Subjects include irreducible and strong tournaments, cycles and strong subtournaments of a tournament, the distribution of 3-cycles in a tournament, transitive tournaments, sets of consistent arcs in a tournament, the diameter of a tournament, and the powers of tournament matrices. Additional topics include scheduling a tournament and ranking the participants, universal tournaments, the use of oriented graphs and score vectors, and many other subjects.

Trusted by 375,005 students

Access to over 1.5 million titles for a fair monthly price.

Study more efficiently using our study tools.

Information

Year
2015
eBook ISBN
9780486804736

1.   Introduction

A (round-robin) tournament Tn consists of n nodesp1, p2, · ··, pn such that each pair of distinct nodes pj and pj is joined by one and only one of the oriented arcs
images
If the arc
images
is in Tn, then we say that pi dominates pj (symbolically, pi →pj). The relation of dominance thus defined is a complete, irreflexive, antisymmetric, binary relation. The score of pi is the number si of nodes that pi dominates. The score vector of Tn is the ordered n-tuple (s1, s2, ···, sn). We usually assume that the nodes are labeled in such a way that s1 ≤ s2 · · · ≤ sn.
Tournaments provide a model of the statistical technique called the method of paired comparisons. This method is applied when there are a number of objects to be judged on the basis of some criterion and it is impracticable to consider them all simultaneously. The objects are compared two at a time and one member of each pair is chosen. This method and related topics are discussed in David (1963) and Kendall (1962). Tournaments have also been studied in connection with sociometric relations in small groups. A survey of some of these investigations is given by Coleman (1960). Our main object here is to derive various structural and combinatorial properties of tournaments.

Exercises

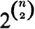
1. Two tournaments are isomorphic if there exists a one-to-one dominance-preserving correspondence between their nodes. The nonisomorphic tournaments with three and four nodes are illustrated in Figure 1. Determine the number of ways of assigning the labels to the nodes of these tournaments and verify that there are a total of
images
labeled tournaments Tn when n = 3, 4.
images
Figure 1
2. The complement of a tournament is obtained by reversing the orientation of all its arcs. A tournament is self-complementary if it is isomorphic to its complement. Show that self-complementary tournaments Tn exist if and only if n is odd. [Sachs (1965).]

2. Irreducible Tournaments

A tournament Tn is reducible if it is possible to partition its nodes into two nonempty sets B and A in such a way that all the nodes in B dominate all the nodes in A; the tournament is irreducible if this is not possible. It is very easy to determine whether a tournament Tn is reducible; if (s1, s2,· · ·, sn) is the score vector of Tn and s1 ≤ s2 ··· ≤ sn, then Tn is reducible if and only if the equation
images
holds for some value of k less than n.
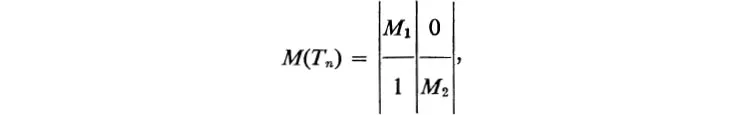
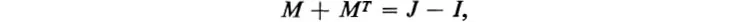
The (dominance) matrix of the tournament Tn is the n by n matrix M(Tn) = [aij] in which aij is 1 if pipj and 0 otherwise. All the diagonal entries are 0. A tournament matrix satisfies the equation
images
where J is the matrix of l’s and I is the identity matrix. If the tournament Tn is reducible and the scores
images
are in nondecreasing order, then its matrix has the structure
images
where M1 and M2 are the matrices of the tournaments defined by the sets A and B of the preceding paragraph.
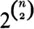
There are
images
labeled tournaments Tn. We now derive an approximation for P(n), the probability that a random tournament Tn is irred...

Table of contents

  1. Cover
  2. Title Page
  3. Copyright Page
  4. Preface
  5. Contents
  6. 1. Introduction
  7. 2. Irreducible Tournaments
  8. 3. Strong Tournaments
  9. 4. Cycles in a Tournament
  10. 5. Strong Subtournaments of a Tournament
  11. 6. The Distribution of 3-cycles in a Tournament
  12. 7. Transitive Tournaments
  13. 8. Sets of Consistent Arcs in a Tournament
  14. 9. The Parity of the Number of Spanning Paths of a Tournament
  15. 10. The Maximum Number of Spanning Paths of a Tournament
  16. 11. An Extremal Problem
  17. 12. The Diameter of a Tournament
  18. 13. The Powers of Tournament Matrices
  19. 14. Scheduling a Tournament
  20. 15. Ranking the Participants in a Tournament
  21. 16. The Minimum Number of Comparisons Necessary to Determine a Transitive Tournament
  22. 17. Universal Tournaments
  23. 18. Expressing Oriented Graphs as the Union of Bilevel Graphs
  24. 19. Oriented Graphs Induced by Voting Patterns
  25. 20. Oriented Graphs Induced by Team Comparisons
  26. 21. Criteria for a Score Vector
  27. 22. Score Vectors of Generalizations of Tournaments
  28. 23. The Number of Score Vectors
  29. 24. The Largest Score in a Tournament
  30. 25. A Reversal Theorem
  31. 26. Tournaments with a Given Automorphism Group
  32. 27. The Group of the Composition of Two Tournaments
  33. 28. The Maximum Order of the Group of a Tournament
  34. 29. The Number of Nonisomorphic Tournaments
  35. Appendix
  36. References
  37. Index

Frequently asked questions

Yes, you can cancel anytime from the Subscription tab in your account settings on the Perlego website. Your subscription will stay active until the end of your current billing period. Learn how to cancel your subscription
No, books cannot be downloaded as external files, such as PDFs, for use outside of Perlego. However, you can download books within the Perlego app for offline reading on mobile or tablet. Learn how to download books offline
Perlego offers two plans: Essential and Complete
  • Essential is ideal for learners and professionals who enjoy exploring a wide range of subjects. Access the Essential Library with 800,000+ trusted titles and best-sellers across business, personal growth, and the humanities. Includes unlimited reading time and Standard Read Aloud voice.
  • Complete: Perfect for advanced learners and researchers needing full, unrestricted access. Unlock 1.5M+ books across hundreds of subjects, including academic and specialized titles. The Complete Plan also includes advanced features like Premium Read Aloud and Research Assistant.
Both plans are available with monthly, semester, or annual billing cycles.
We are an online textbook subscription service, where you can get access to an entire online library for less than the price of a single book per month. With over 1.5 million books across 990+ topics, we’ve got you covered! Learn about our mission
Look out for the read-aloud symbol on your next book to see if you can listen to it. The read-aloud tool reads text aloud for you, highlighting the text as it is being read. You can pause it, speed it up and slow it down. Learn more about Read Aloud
Yes! You can use the Perlego app on both iOS and Android devices to read anytime, anywhere — even offline. Perfect for commutes or when you’re on the go.
Please note we cannot support devices running on iOS 13 and Android 7 or earlier. Learn more about using the app
Yes, you can access Topics on Tournaments in Graph Theory by John W. Moon in PDF and/or ePUB format, as well as other popular books in Mathematics & Discrete Mathematics. We have over 1.5 million books available in our catalogue for you to explore.