On Angular Momentum
eBook - ePub

On Angular Momentum

  1. 64 pages
  2. English
  3. ePUB (mobile friendly)
  4. Available on iOS & Android
eBook - ePub

On Angular Momentum

About this book

A concise treatment of angular momentum by an important American physicist, this major work was first published under the auspices of the United States Atomic Energy Commission in 1952 and is finally available to a general audience of students and professionals in the field. Advanced undergraduates and graduate students of physics will particularly benefit from its teachings.
One of the most prominent American physicists of the twentieth century, Julian Schwinger (1918–94) taught at Harvard, MIT, and UCLA, among other institutions. In addition to his many other awards, Schwinger, jointly with Richard Feynman and Shinichiro Tomonaga, received the Nobel Prize in Physics in 1965 for his work in quantum electrodynamics.

Tools to learn more effectively

Saving Books

Saving Books

Keyword Search

Keyword Search

Annotating Text

Annotating Text

Listen to it instead

Listen to it instead

Information

1. INTRODUCTION

One of the methods of treating a general angular momentum in quantum mechanics is to regard it as the superposition of a number of elementary “ spins,” or angular momenta with
images
Such a spin assembly, considered as a Bose-Einstein system, can be usefully discussed by the method of second quantization. We shall see that this procedure unites the compact symbolism of the group theoretical approach with the explicit operator techniques of quantum mechanics.
We introduce spin creation and annihilation operators associated with a given spatial reference system,
images
and
images
which satisfy
images
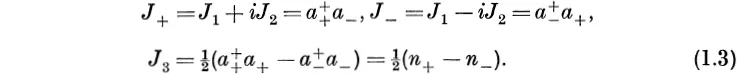
The number of spins and the resultant angular momentum are then given by
images
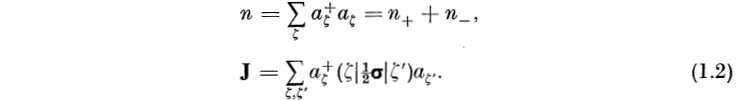
With the conventional matrix representation for σ, the components of J appear as
images
Of course, this realization of the angular momentum commutation properties in terms of those of harmonic oscillators can be introduced without explicit reference to the composition of spins.
To evaluate the square of the total angular momentum
images
we employ the matrix elements of the spin permutation operator
images
Thus
images
and
images
According to the commutation relations (1.1),
images
whence
images
a given number of spins, n=0, 1, 2, ..., possesses a definite angular momentum quantum number,
images
We further note that, according to (1.3), a state with a fixed number of positive and negative spins also has a definite magnetic quantum number,
images
Therefore, from the eigenvector of a state with prescribed occupat...

Table of contents

  1. Cover
  2. Title Page
  3. Copyright Page
  4. Content
  5. 1. Introduction
  6. 2. Rotations
  7. 3. Addition Of Two Angular Momenta
  8. 4. Three And Four Angular Momenta
  9. 5. Tensok Opeeators
  10. Appendix A
  11. Appendix B
  12. Appendix C

Frequently asked questions

Yes, you can cancel anytime from the Subscription tab in your account settings on the Perlego website. Your subscription will stay active until the end of your current billing period. Learn how to cancel your subscription
No, books cannot be downloaded as external files, such as PDFs, for use outside of Perlego. However, you can download books within the Perlego app for offline reading on mobile or tablet. Learn how to download books offline
Perlego offers two plans: Essential and Complete
  • Essential is ideal for learners and professionals who enjoy exploring a wide range of subjects. Access the Essential Library with 800,000+ trusted titles and best-sellers across business, personal growth, and the humanities. Includes unlimited reading time and Standard Read Aloud voice.
  • Complete: Perfect for advanced learners and researchers needing full, unrestricted access. Unlock 1.4M+ books across hundreds of subjects, including academic and specialized titles. The Complete Plan also includes advanced features like Premium Read Aloud and Research Assistant.
Both plans are available with monthly, semester, or annual billing cycles.
We are an online textbook subscription service, where you can get access to an entire online library for less than the price of a single book per month. With over 1 million books across 990+ topics, we’ve got you covered! Learn about our mission
Look out for the read-aloud symbol on your next book to see if you can listen to it. The read-aloud tool reads text aloud for you, highlighting the text as it is being read. You can pause it, speed it up and slow it down. Learn more about Read Aloud
Yes! You can use the Perlego app on both iOS and Android devices to read anytime, anywhere — even offline. Perfect for commutes or when you’re on the go.
Please note we cannot support devices running on iOS 13 and Android 7 or earlier. Learn more about using the app
Yes, you can access On Angular Momentum by Julian Schwinger in PDF and/or ePUB format, as well as other popular books in Physical Sciences & Physics. We have over one million books available in our catalogue for you to explore.