
- 160 pages
- English
- ePUB (mobile friendly)
- Available on iOS & Android
eBook - ePub
The Summation of Series
About this book
Valuable as both a text and a reference, this concise monograph starts with a consideration of the calculus of finite differences and advances to discussions of the gamma and psi functions and other methods of summation. Subsequent chapters offer a summation of tables and an examination of infinite sums. The treatment concludes with a table of finite sums and helpful indexes.
This volume was written by a prominent mathematician and educator whose interests encompassed the history of mathematics, statistics, modeling in economics, mathematical physics, and other disciplines. The book is suitable for students, researchers, and applied mathematicians in many areas of mathematics, computer science, and engineering.
This volume was written by a prominent mathematician and educator whose interests encompassed the history of mathematics, statistics, modeling in economics, mathematical physics, and other disciplines. The book is suitable for students, researchers, and applied mathematicians in many areas of mathematics, computer science, and engineering.
Frequently asked questions
Yes, you can cancel anytime from the Subscription tab in your account settings on the Perlego website. Your subscription will stay active until the end of your current billing period. Learn how to cancel your subscription.
No, books cannot be downloaded as external files, such as PDFs, for use outside of Perlego. However, you can download books within the Perlego app for offline reading on mobile or tablet. Learn more here.
Perlego offers two plans: Essential and Complete
- Essential is ideal for learners and professionals who enjoy exploring a wide range of subjects. Access the Essential Library with 800,000+ trusted titles and best-sellers across business, personal growth, and the humanities. Includes unlimited reading time and Standard Read Aloud voice.
- Complete: Perfect for advanced learners and researchers needing full, unrestricted access. Unlock 1.4M+ books across hundreds of subjects, including academic and specialized titles. The Complete Plan also includes advanced features like Premium Read Aloud and Research Assistant.
We are an online textbook subscription service, where you can get access to an entire online library for less than the price of a single book per month. With over 1 million books across 1000+ topics, we’ve got you covered! Learn more here.
Look out for the read-aloud symbol on your next book to see if you can listen to it. The read-aloud tool reads text aloud for you, highlighting the text as it is being read. You can pause it, speed it up and slow it down. Learn more here.
Yes! You can use the Perlego app on both iOS or Android devices to read anytime, anywhere — even offline. Perfect for commutes or when you’re on the go.
Please note we cannot support devices running on iOS 13 and Android 7 or earlier. Learn more about using the app.
Please note we cannot support devices running on iOS 13 and Android 7 or earlier. Learn more about using the app.
Yes, you can access The Summation of Series by Harold T. Davis in PDF and/or ePUB format, as well as other popular books in Mathematics & Calculus. We have over one million books available in our catalogue for you to explore.
Information
CHAPTER 1
THE CALCULUS OF FINITE DIFFERENCES
1. Finite Differences. The demands not only of statistics, but of physical science as well, have made desirable some knowledge of what is called the calculus of finite differences to distinguish it from the infinitesimal calculus. The calculus of finite differences can be divided into two parts, one concerned with differences, called the difference calculus, and the other concerned with summations, called the summation calculus. These resemble in many details the differential and integral calculus.
Since the elements of the calculus of finite differences are readily understood by any one who has mastered the principles of the infinitesimal calculus, it will be possible to develop readily many of the important features of this very useful discipline.
By the difference of a function f(x), designated by Δf(x), or simply Δf, we mean the expression

where d is the difference interval.
That the differential calculus is in a sense the limiting form of the difference calculus is at once observed from the following limit:

In most of the discussion which follows it will simplify the analysis to assume that the difference interval is 1, that is to say, we shall concern ourselves with the special difference defined by

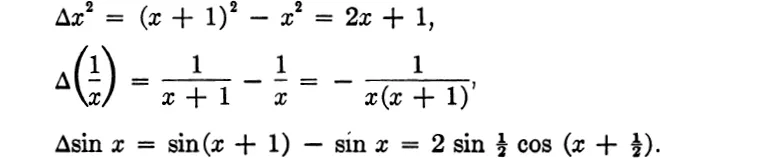
Examples of differences are given by the following:

The difference calculus can now be developed...
Table of contents
- Cover
- Title Page
- Copyright Page
- Contents
- Preface
- Chapter 1. The Calculus of Finite Differences
- Chapter 2. The Gamma and Psi Functions
- Chapter 3. Other Methods of Summation
- Chapter 4. Summation by Tables
- Chapter 5. Infinite Sums
- Table Of Finite Sums
- INDEXES