
- 432 pages
- English
- ePUB (mobile friendly)
- Available on iOS & Android
Matrices and Linear Algebra
About this book
Linear algebra is one of the central disciplines in mathematics. A student of pure mathematics must know linear algebra if he is to continue with modern algebra or functional analysis. Much of the mathematics now taught to engineers and physicists requires it.
This well-known and highly regarded text makes the subject accessible to undergraduates with little mathematical experience. Written mainly for students in physics, engineering, economics, and other fields outside mathematics, the book gives the theory of matrices and applications to systems of linear equations, as well as many related topics such as determinants, eigenvalues, and differential equations.
Table of Contents:
l. The Algebra of Matrices
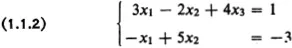
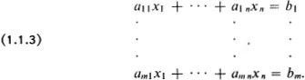
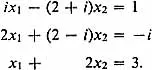
2. Linear Equations
3. Vector Spaces
4. Determinants
5. Linear Transformations
6. Eigenvalues and Eigenvectors
7. Inner Product Spaces
8. Applications to Differential Equations
For the second edition, the authors added several exercises in each chapter and a brand new section in Chapter 7. The exercises, which are both true-false and multiple-choice, will enable the student to test his grasp of the definitions and theorems in the chapter. The new section in Chapter 7 illustrates the geometric content of Sylvester's Theorem by means of conic sections and quadric surfaces. 6 line drawings. lndex. Two prefaces. Answer section.
Tools to learn more effectively

Saving Books

Keyword Search

Annotating Text

Listen to it instead
Information
of Matrices






Table of contents
- Cover
- Title Page
- Copyright Page
- Preface to the Second Edition
- Preface to the First Edition
- Contents
- 1 The Algebra Of Matrices
- 2 Linear Equations
- 3 Vector Spaces
- 4 Determinants
- 5 Linear Transformations
- 6 Eigenvalues And Eigenvectors
- 7 Inner Product Spaces
- 8 Applications To Differential Equations
- Answers
- Symbols
- Index
Frequently asked questions
- Essential is ideal for learners and professionals who enjoy exploring a wide range of subjects. Access the Essential Library with 800,000+ trusted titles and best-sellers across business, personal growth, and the humanities. Includes unlimited reading time and Standard Read Aloud voice.
- Complete: Perfect for advanced learners and researchers needing full, unrestricted access. Unlock 1.4M+ books across hundreds of subjects, including academic and specialized titles. The Complete Plan also includes advanced features like Premium Read Aloud and Research Assistant.
Please note we cannot support devices running on iOS 13 and Android 7 or earlier. Learn more about using the app