Mathematics for Quantum Mechanics
eBook - ePub

Mathematics for Quantum Mechanics

An Introductory Survey of Operators, Eigenvalues, and Linear Vector Spaces

  1. 112 pages
  2. English
  3. ePUB (mobile friendly)
  4. Available on iOS & Android
eBook - ePub

Mathematics for Quantum Mechanics

An Introductory Survey of Operators, Eigenvalues, and Linear Vector Spaces

About this book

Advanced undergraduates and graduate students studying quantum mechanics will find this text a valuable guide to mathematical methods. Emphasizing the unity of a variety of different techniques, it is enduringly relevant to many physical systems outside the domain of quantum theory.
Concise in its presentation, this text covers eigenvalue problems in classical physics, orthogonal functions and expansions, the Sturm-Liouville theory and linear operators on functions, and linear vector spaces. Appendixes offer useful information on Bessel functions and Legendre functions and spherical harmonics. This introductory text's teachings offer a solid foundation to students beginning a serious study of quantum mechanics.

Trusted byĀ 375,005 students

Access to over 1.5 million titles for a fair monthly price.

Study more efficiently using our study tools.

Information

Year
2012
Print ISBN
9780486453088
eBook ISBN
9780486138817

1

Introductory Remarks

The purpose of these notes is to set forth the essentials of the mathematics of quantum mechanics with only enough mathematical rigor to avoid mistakes in the physical applications.
In various parts of quantum theory it is appropriate to use mathematical methods that at first sight are quite different and unconnected. Thus in dealing with potential barriers or the hydrogen atom, the techniques of ordinary or partial differential equations in coordinate space are employed, whereas for a problem such as the harmonic oscillator, the use of abstract linear operator methods leads to an elegant solution. The chief aims of the present discussion are to show the underlying unity of all the methods and to build up enough familiarity with each of them so that in the subsequent treatment of quantum mechanics as a subject of physics the best method can be applied to each problem without apology and without the need to explain new mathematics.
Quantum theory was originally developed with two different mathematical techniques—Schrƶdinger wave mechanics (differential equations) and Heisenberg matrix mechanics. The equivalence of the two approaches was soon demonstrated, and the mathematical methods were generalized by Dirac, who showed that the techniques of Heisenberg and Schrƶdinger were special representations of the formalism of linear operators in an abstract vector space.
The concept of discreteness is central in quantum theory. Physically measurable quantities (called ā€œobservablesā€) are often found to take on only certain definite values, independent of external conditions (e.g., preparation of light source, detailed design of deflecting magnet, etc.). Important examples of discrete observables are energy (Ritz combination principle and Rydberg formula, Franck-Hertz experiment) and angular momentum (Stern-Gerlach experiment). In mathematical language the discrete, allowed values of an observable are called eigenvalues (sometimes called characteristic or proper values). The physicist is often interested in predicting and correlating the eigenvalues for a given physical system. Provided he has an appropriate mathematical description of the physical system, he wants to solve ā€œthe eigenvalue problem.ā€ Thus the mathematical eigenvalue problem is an important aspect of quantum mechanics. This problem can be phrased in terms of differential equations, in terms of matrices, or in terms of linear vector spaces. We shall consider the various techniques and explore their essential unity below. Not all of quantum mechanics concerns itself with discrete eigenvalues, of course. Hence some of the mathematical discussion will not bear directly on the eigenvalue problem. Furthermore, a number of topics, such as perturbation theory and variational methods, will be omitted from these notes, to be dealt with separately.
Ā 
Ā 
References
Since only the bare essentials will be presented in these notes, the student will wish to consult more complete treatments. Some useful references are the following:
Ā 
R. Courant and D. Hilbert, ā€œMethods of Mathematical Physics,ā€ Vol. I, Interscience, New York, 1953. Chapter 2 on orthogonal expansions; Chap. 5 on eigenvalue problems; Chap. 7 on special functions.
B. Friedman, ā€œPrinciples and Techniques of Applied Mathematics,ā€ Wiley, New York, 1956. A very useful, if formal, treatment.
G. Goertzel and N. Tralli, ā€œSome Mathematical Methods of Physics,ā€ McGraw-Hill, New York, 1960.
P. R. Halmos, ā€œFinite Dimensional Vector Spaces,ā€ Princeton University Press, Princeton, N.J., 1942; ā€œIntroduction to Hilbert Space,ā€ Chelsea, New York, 1951. These books present a rigorous mathematical discussion of vector spaces.
F. B. Hildebrand, ā€œMethods of Applied Mathematics,ā€ Prentice-Hall, Englewood Cliffs, N.J., 1952. The first 100 pages deal with matrices and vector spaces.
H. Margenau and G. M. Murphy, ā€œMathematics of Physics and Chemistry,ā€ 2nd ed., Van Nostrand, Princeton, N.J., 1956. Chapters 2, 3, 7, 8, 10, and 11 have particular relevance.
P. M. Morse and H. Feshbach, ā€œMethods of Theoretical Physics,ā€ 2 vols., McGraw-Hill, New York, 1953. Very complete, with valuable appendices at the end of each chapter.
V. Rojansky, ā€œIntroductory Quantum Mechanics,ā€ Prentice-Hall, Englewood Cliffs, N.J., 1946. Chapter IX has a useful review of matrices. Parts of Chaps. X and XI are also relevant.
H. Sagan, ā€œBoundary and Eigenvalue Problems in Mathematical Physics,ā€ Wiley, New York, 1961.
A. Sommerfeld, ā€œPartial Differential Equations,ā€ Academic, New York, 1949. The emphasis is on orthonormal expansions, special functions, eigenfunctions, and eigenvalues.
Ā 
Special mention must be made of one extremely useful reference on special functions;
W. Magnus and F. Oberhettinger, ā€œFormulas and Theorems for the Special Functions of Mathematical Physics,ā€ Chelsea, New York, 1949. This book will be referred to often and will be denoted as ā€œMO.ā€
Ā 
A much more elaborate collection of information on special functions and various transforms is contained in the Bateman volumes,
Ā 
Bateman Manuscript Project, ā€œHigher Transcendental Functions,ā€ 3 vols., A. Erdelyi (Ed.), McGraw-Hill, New York, 1953.
Bateman Manuscript Project, ā€œTables of Integral Transforms,ā€ 2 vols., A. Erdelyi (Ed.), McGraw-Hill, New York, 1954.
Note, however, that MO has quite useful tables of Fourier and Laplace transforms.
Ā 
When it comes to tables of integrals and numerical values of the elementary functions, personal preference takes over. Useful, inexpensive references include the following:
H. B. Dwight, ā€œTables of Integrals and Other Mathematical Data,ā€ Macmillan, New York.
B. O. Pierce and R. M. Foster, ā€œA Short Table of Integrals,ā€ 4th ed., Ginn, Boston.
Handbook of Chemistry and Physics, ā€œMathematical Tables,ā€ McGraw-Hill, New York.
E. Jahnke and F. Emde, ā€œTables of Functionsā€ (paperback), Dover, New York, 1945. Tabulation and graphs of special functions.
Ā 
As a final introductory remark let me say that it is assumed that the student has some familiarity with ordinary differential equations, the method of separation of variables for partial differential equations, the elements of Fourier series, the elementary properties of matrices, and the notions of vectors in three dimensions, rotations, etc. Furthermore, it is assumed that his knowledge of classical mechanics is at the level of the books by Symon (K. R. Symon, ā€œMechanics,ā€ 2nd ed., Addison-Wesley, Reading, Mass., 1960) or by Slater and Frank (J. C. Slater and N. H. Frank, ā€œMechanics,ā€ McGraw-Hill, New York, 1947).

2

Eigenvalue Problems in Classical Physics

Eigenvalue problems dominate quantum mechanics, but they were well known and understood in classical physics. They occur for mechanical systems with a finite number of degrees of freedom (discrete systems), or for mechanical or electromagnetic systems with an infinite number of degrees of freedom (continuous systems). We shall discuss briefly a few examples to recall the mathematical methods used, and to see how and why eigenvalues arise.

2-1 VIBRATING STRING

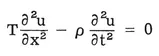
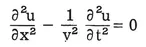
A string of uniform mass density ρ, tension T, fastened at the points x = 0 and x = a, can move in the xy plane with a displacement measured perpendicular to the x axis equal to u(x,t). The equation of motion for small oscillations of the string is a linear, second-order, partial differential equation of the form
e9780486138817_i0002.webp
(1)
If we define a quantity with dimensions of velocity v = (T/ρ)1/2, the equation can be written
e9780486138817_i0003.webp
(2)
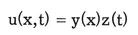
Using the separation-of-variables technique, we assume a solution
e9780486138817_i0004.webp
(3)
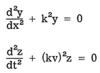
and find that y(x) and z(t) must satisfy the separate ordinary differential equations
e9780486138817_i0005.webp
(4)
where k2 is some as yet undetermined constant. We note that y(x) and z(vt) satisfy the same equation whose solution is sines and cosines.
So far there has been no mention of an eigenvalue problem. That comes with the imposition of the boundary conditions. These are
1. Spatial: u(O,t) = u(a,t) = 0, for all t.
2. Temporal: u(x,0) = F(x),
e9780486138817_img_477.gif
u/
e9780486138817_img_477.gif
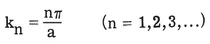
t(x,0) = G(x), for 0 < x < a. First we consider the spatial boundary condition. The solution for y(x) is
e9780486138817_i0006.webp
(5)
To satisfy boundary condition 1 it is necessary that y(0) = y(a) = 0. Hence B = 0 and, if A ≠ 0, then ka = nĻ€. The unknown parameter k has thus been found to have a countably infinite set of discrete eigenvalues,
e9780486138817_i0007.webp
(6)
The most general solution consi...

Table of contents

  1. Title Page
  2. Copyright Page
  3. Editor’s Foreword
  4. Preface
  5. Table of Contents
  6. 1 - Introductory Remarks
  7. 2 - Eigenvalue Problems in Classical Physics
  8. 3 - Orthogonal Functions and Expansions
  9. 4 - Sturm-Liouville Theory and Linear Operators on Functions
  10. 5 - Linear Vector Spaces
  11. Appendix A - Bessel Cylinder Functions
  12. Appendix B - Legendre Functions and Spherical Harmonics

Frequently asked questions

Yes, you can cancel anytime from the Subscription tab in your account settings on the Perlego website. Your subscription will stay active until the end of your current billing period. Learn how to cancel your subscription
No, books cannot be downloaded as external files, such as PDFs, for use outside of Perlego. However, you can download books within the Perlego app for offline reading on mobile or tablet. Learn how to download books offline
Perlego offers two plans: Essential and Complete
  • Essential is ideal for learners and professionals who enjoy exploring a wide range of subjects. Access the Essential Library with 800,000+ trusted titles and best-sellers across business, personal growth, and the humanities. Includes unlimited reading time and Standard Read Aloud voice.
  • Complete: Perfect for advanced learners and researchers needing full, unrestricted access. Unlock 1.5M+ books across hundreds of subjects, including academic and specialized titles. The Complete Plan also includes advanced features like Premium Read Aloud and Research Assistant.
Both plans are available with monthly, semester, or annual billing cycles.
We are an online textbook subscription service, where you can get access to an entire online library for less than the price of a single book per month. With over 1.5 million books across 990+ topics, we’ve got you covered! Learn about our mission
Look out for the read-aloud symbol on your next book to see if you can listen to it. The read-aloud tool reads text aloud for you, highlighting the text as it is being read. You can pause it, speed it up and slow it down. Learn more about Read Aloud
Yes! You can use the Perlego app on both iOS and Android devices to read anytime, anywhere — even offline. Perfect for commutes or when you’re on the go.
Please note we cannot support devices running on iOS 13 and Android 7 or earlier. Learn more about using the app
Yes, you can access Mathematics for Quantum Mechanics by John David Jackson in PDF and/or ePUB format, as well as other popular books in Physical Sciences & Quantum Theory. We have over 1.5 million books available in our catalogue for you to explore.