An Introduction to Orthogonal Polynomials
eBook - ePub

An Introduction to Orthogonal Polynomials

  1. 272 pages
  2. English
  3. ePUB (mobile friendly)
  4. Available on iOS & Android
eBook - ePub

An Introduction to Orthogonal Polynomials

About this book

Assuming no further prerequisites than a first undergraduate course in real analysis, this concise introduction covers general elementary theory related to orthogonal polynomials. It includes necessary background material of the type not usually found in the standard mathematics curriculum. Suitable for advanced undergraduate and graduate courses, it is also appropriate for independent study.
Topics include the representation theorem and distribution functions, continued fractions and chain sequences, the recurrence formula and properties of orthogonal polynomials, special functions, and some specific systems of orthogonal polynomials. Numerous examples and exercises, an extensive bibliography, and a table of recurrence formulas supplement the text.

Trusted by 375,005 students

Access to over 1 million titles for a fair monthly price.

Study more efficiently using our study tools.

Information

CHAPTER I
Elementary Theory of Orthogonal Polynomials
1 Introduction
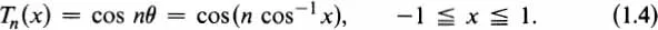
It is an elementary exercise in calculus to use the trigonometric identity
images
to obtain the integration formula
images
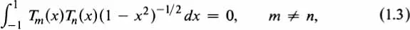
The fact that the integral in (1.2) vanishes is expressed by saying that cos and cos are orthogonal over the interval (0, π) for mn. We also say that {1, cos θ, cos 2θ, …, cos , …} is an orthogonal sequence over (0, π).
We observe that the change of variable, x = cos θ, converts (1.2) into
images
where we have written
images
We have
images
and by elementary trigonometric identities,
images
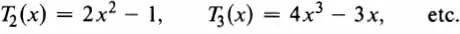
Using the identity (1.1) with m = 1, it is an easy proof by induction to show that Tn(x) is a polynomial in x of degree n. These polynomials are called the Tchebichef polynomials of the first kind. Because of (1.3) we say that the Tn(x) are orthogonal polynomials with respect to (1 – x2)–1/2, – 1 < x < 1. More precisely,
images
is an orthogonal polynomial sequence with respect to the weight function (1 – x2)–1/2 on the interval (–1, 1).
Somewhat more generally, consider a function w which is non-negative and integrable on an interval (a, b). We also assume that w(x) > 0 on...

Table of contents

  1. Cover
  2. Title Page
  3. Copyright Page
  4. Contents
  5. Preface
  6. Chapter I. Elementary Theory of Orthogonal Polynomials
  7. Chapter II. The Representation Theorem and Distribution Functions
  8. Chapter III. Continued Fractions and Chain Sequences
  9. Chapter IV. The Recurrence Formula and Properties of Orthogonal Polynomials
  10. Chapter V. Special Functions
  11. Chapter VI. Some Specific Systems of Orthogonal Polynomials
  12. Notes
  13. Appendix Table of Recurrence Formulas
  14. List of Frequently Used Symbols
  15. Bibliography
  16. Index

Frequently asked questions

Yes, you can cancel anytime from the Subscription tab in your account settings on the Perlego website. Your subscription will stay active until the end of your current billing period. Learn how to cancel your subscription
No, books cannot be downloaded as external files, such as PDFs, for use outside of Perlego. However, you can download books within the Perlego app for offline reading on mobile or tablet. Learn how to download books offline
Perlego offers two plans: Essential and Complete
  • Essential is ideal for learners and professionals who enjoy exploring a wide range of subjects. Access the Essential Library with 800,000+ trusted titles and best-sellers across business, personal growth, and the humanities. Includes unlimited reading time and Standard Read Aloud voice.
  • Complete: Perfect for advanced learners and researchers needing full, unrestricted access. Unlock 1.4M+ books across hundreds of subjects, including academic and specialized titles. The Complete Plan also includes advanced features like Premium Read Aloud and Research Assistant.
Both plans are available with monthly, semester, or annual billing cycles.
We are an online textbook subscription service, where you can get access to an entire online library for less than the price of a single book per month. With over 1 million books across 990+ topics, we’ve got you covered! Learn about our mission
Look out for the read-aloud symbol on your next book to see if you can listen to it. The read-aloud tool reads text aloud for you, highlighting the text as it is being read. You can pause it, speed it up and slow it down. Learn more about Read Aloud
Yes! You can use the Perlego app on both iOS and Android devices to read anytime, anywhere — even offline. Perfect for commutes or when you’re on the go.
Please note we cannot support devices running on iOS 13 and Android 7 or earlier. Learn more about using the app
Yes, you can access An Introduction to Orthogonal Polynomials by Theodore S Chihara in PDF and/or ePUB format, as well as other popular books in Mathematics & Applied Mathematics. We have over one million books available in our catalogue for you to explore.