A New Look at Geometry
eBook - ePub

A New Look at Geometry

  1. 416 pages
  2. English
  3. ePUB (mobile friendly)
  4. Available on iOS & Android
eBook - ePub

About this book

This richly detailed overview surveys the development and evolution of geometrical ideas and concepts from ancient times to the present. In addition to the relationship between physical and mathematical spaces, it examines the interactions of geometry, algebra, and calculus. The text proves many significant theorems and employs several important techniques. Chapters on non-Euclidean geometry and projective geometry form brief, self-contained treatments.
More than 100 exercises with answers and 200 diagrams illuminate the text. Teachers, students (particularly those majoring in mathematics education), and mathematically minded readers will appreciate this outstanding exploration of the role of geometry in the development of Western scientific thought.
Introduction to the Dover edition by Peter Ruane.

Tools to learn more effectively

Saving Books

Saving Books

Keyword Search

Keyword Search

Annotating Text

Annotating Text

Listen to it instead

Listen to it instead

Information

1

One Book and Three Metaphors

The purposes of this book may be expressed in terms of three metaphors.

The Gem

From the moment he is born a child begins to explore his environment by seeing and hearing it, by moving around in it, and by touching and manipulating things. Out of these explorations there crystallize his first primitive notions of space and the existence of objects in space. Through his daily experience he acquires conceptions of size and shape and distance. When he goes to school he refines these conceptions by absorbing into his experience some of the ideas about space created by inventive minds in the past. At first he studies geometry informally, with emphasis on mensuration. Later, in high school, he gets a brief introduction to Euclidean geometry as a deductive mathematical system. If he goes on to college he learns of new aspects of geometry presented under the titles “Analytic Geometry” and “Calculus.” He may hear hints, too, of other mysterious divisions of geometry that only the specialist penetrates: non-Euclidean Geometry, Projective Geometry, Topology, and others. If he is one of the lucky specialists, he discovers that geometry is a many-faceted gem cut and polished from the raw material of our daily experience. One purpose of this book is to permit the reader to share the pleasure of the specialist as he turns this gem in the light and catches the brilliant flashes of color reflected from its facets.

The Valley and the Mountain

Geometry today consists of many subdivisions. There are synthetic geometry, analytic geometry, and differential geometry. There are Euclidean geometry, hyperbolic geometry, and elliptic geometry. There are also metric geometry, affine geometry, projective geometry, and other branches besides. The subdivisions of geometry have been compared to the distinguishable regions within a complex landscape. Most of these regions are in a valley. An explorer who is deep within one region can easily lose sight of the fact that the other regions exist. At a boundary where one region touches another he can see the fact that the regions are related to each other. But seeing the regions pair by pair does not suffice to reveal the pattern of this relationship. There is a path from the valley that leads up the side of a mountain to a clearing at the top. The explorer who reaches this clearing suddenly sees the whole valley laid out before his eyes. From his height at the top of the mountain he can see all the regions of the valley and the pattern that they form. A second purpose of this book is to lead the reader from region to region in the valley, where he can savor the special beauties for which each is famous, and then to take him up to the top of the mountain where he can see the grand design of the valley in all its breathtaking splendor.

The Motion Picture Film

A motion picture theatre tries to interest the passerby in the film that is being shown by putting on display selected still photographs from the film. The passerby, looking at these “stills,” sees people in frozen attitudes of action. However, he knows that each of these pictures is but one of many frames on the film; that these frames form a time sequence; and that if he enters the theatre to see the pictures flashed on the screen in quick succession he will see the action and movement by which the story of the film unfolds. The many subdivisions of geometry are like the still photographs of a motion picture film. If we view them in sequence, they, too, tell a story, the story of the evolution of geometry through five thousand years of history. A third purpose of this book is to show the reader the motion picture as well as the “stills,” so that he may see the exciting story of geometry evolving.

Neither Fish Nor Fowl

The form of the book, determined by its threefold purpose, is a compromise between exposition and narration. There is much geometry in the book, but the book is not a textbook of geometry. The sequence in which ideas are developed is approximately chronological, but the book is not a history of geometry. Frequently, when we encounter an idea in an ancient setting, we shall view it with hindsight from the modern point of view, in order to see the full range of its implications. The book is organized around a few basic themes: 1) The relationship between physical space and mathematical space, and our changing conceptions of each. 2) The relationship between algebra and geometry, and how this relationship has changed in the course of time. 3) The story of how three separate streams of thought, the theory of parallels, the theory of curved surfaces, and the geometry of position converged to form one integrated whole. 4) The crystallization of the ideas which will permit us to answer the questions, “What is a space?” and “What is a geometry?”

2

Geometry Before Euclid

The Measurement of Physical Objects

Geometry in its earliest form, as developed in ancient Babylonia and Egypt, was concerned with the measurement of physical objects. It dealt with such practical problems as finding the length of a piece of cloth, the area of a field, or the volume of a basket.
There are three basic steps that are involved in making a measurement: 1) selection of a unit; 2) repetition of the unit; 3) counting the number of times that the unit is repeated. For example, to measure the area of a floor, we may choose a particular square tile as unit, and we count the number of such tiles that must be put side by side in order to cover the floor. The first significant results in geometry were short-cuts for carrying out the third step. For example, if a floor is covered by 5 rows of tiles and there are 3 tiles in each row, it is not necessary to count the tiles one by one to find the area of the floor. It suffices to multiply the numbers 3 and 5. This fact was already known to the priests of ancient Babylonia over five thousand years ago. Though they had no algebraic symbolism with which to express it, they were familiar with the formula for the area of a rectangle, A = hb, where h is the length of the height of the rectangle, and b is the length of its base. The Babylonians also knew the analogous formula for the volume of a prism or cylinder, V = hB, where h is the length of the height of the solid, and B is the area of its base.

The Use of Averages

The Babylonians tried to derive from the formula A = hb a more general rule for computing the area of a quadrilateral from the lengths of its four sides. We have no record of the reasoning that they used, but it has been surmised by some historians that it may have taken the following form: “To find the area of a quadrilateral, first replace it by a rectangle with approximately the same area. If the pairs of opposite sides of the quadrilateral have lengths a, a', and b, b' respectively, use the average of a and a' as the height of the rectangle, and use the average of b and b' as the base of the rectangle. Then, using the formula for the area of a rectangle, we get
inline1by2
or
inline1by4
In any case, the latter formula is the one that was used in Babylonia about 3000 B.C. Unfortunately it gives a correct result Unfortunately it gives a correct result only when the quadrilateral is a rectangle.
img13-1
Similar reasoning may have been used to derive the Babylonian formula for the volume of a basket whose height is h and whose upper and lower bases have areas B and B' respectively. If the volume of the basket is assumed to be equal to that of a cylinder of the same height whose base has an area equal to the average of B and B', then we get the Babylonian formula for the volume of the basket,
inline1by2
Unfortunately, this formula is correct only if B = B'.
img13-2
The Egyptians who lived one thousand years later were more ingenious and more successful in using the averaging principle. To compute the volume of a frustum of a square pyramid whose height is h and whose bases have edges a and b respectively, they used the correct formula
inline1by3
instead of the Babylonian formula
inline1by2
It is surmised that they derived their formula by equating the frustum to a prism whose height is h and whose base area is the average of three areas, namely a2, b2, and ab. The third of these areas, ab, is itself a kind of average between a2 and b2, known as their geometric mean. It is the area of a rectangle whose height is a and whose base is b.
img14-1

The Sides of a Triangle

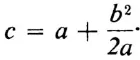
The Babylonians and the Egyptians who followed them were aware of the fact that the length of the hypotenuse of a right triangle is related to the lengths of the other two sides. The Babylonians computed the hypotenuse c by means of the approximate formula
img14-3
For the case where a = 4 and b = 3, this formula yields
inline1by8
This is not a bad approximation to the value c = 5 obtained from the later Pythagorean formula c2 = a2 + b2.
If the sides a, b and c of a triangle satisfy the Pythagorean formula, then the angle opposite c is a right angle. The Egyptians were aware of at least a special case of this rule, and used it in their technique for constructing a right angle. The surveyors of that time, known as “rope-stretchers,” laid out a right angle with the help of a rope that was divided into equal segments by a series of knots. They used the rope to form a triangle whose sides had the ratio 3 to 4 to 5. The angle opposite the longest side was the sought-for right angle.
img14-2
Rope-stretching

The Concept of Physical Space

When the Babylonians or Egyptians computed a volume, it was...

Table of contents

  1. Cover
  2. Title Page
  3. Copyright Page
  4. Contents
  5. Introduction
  6. 1 One Book and Three Metaphors
  7. 2 Geometry Before Euclid
  8. 3 Euclid’s
  9. 4 Geometry Geometry via Numbers
  10. 5 Geometry via Arrows
  11. 6 Geometry via Reflections
  12. 7 Geometry in Newtonian Physics
  13. 8 Non-Euclidean Geometry
  14. 9 The Calculus and Geometry
  15. 10 Projective Geometry
  16. 11 Geometry in Relativity Physics
  17. 12 Geometry Generalized
  18. 13 Geometry and Algebra
  19. Bibliography
  20. Answers to Exercises
  21. Index

Frequently asked questions

Yes, you can cancel anytime from the Subscription tab in your account settings on the Perlego website. Your subscription will stay active until the end of your current billing period. Learn how to cancel your subscription
No, books cannot be downloaded as external files, such as PDFs, for use outside of Perlego. However, you can download books within the Perlego app for offline reading on mobile or tablet. Learn how to download books offline
Perlego offers two plans: Essential and Complete
  • Essential is ideal for learners and professionals who enjoy exploring a wide range of subjects. Access the Essential Library with 800,000+ trusted titles and best-sellers across business, personal growth, and the humanities. Includes unlimited reading time and Standard Read Aloud voice.
  • Complete: Perfect for advanced learners and researchers needing full, unrestricted access. Unlock 1.4M+ books across hundreds of subjects, including academic and specialized titles. The Complete Plan also includes advanced features like Premium Read Aloud and Research Assistant.
Both plans are available with monthly, semester, or annual billing cycles.
We are an online textbook subscription service, where you can get access to an entire online library for less than the price of a single book per month. With over 1 million books across 990+ topics, we’ve got you covered! Learn about our mission
Look out for the read-aloud symbol on your next book to see if you can listen to it. The read-aloud tool reads text aloud for you, highlighting the text as it is being read. You can pause it, speed it up and slow it down. Learn more about Read Aloud
Yes! You can use the Perlego app on both iOS and Android devices to read anytime, anywhere — even offline. Perfect for commutes or when you’re on the go.
Please note we cannot support devices running on iOS 13 and Android 7 or earlier. Learn more about using the app
Yes, you can access A New Look at Geometry by Irving Adler,Ruth Adler, Ruth Adler, Peter Ruane in PDF and/or ePUB format, as well as other popular books in Mathematics & Geometry. We have over one million books available in our catalogue for you to explore.