
- 272 pages
- English
- ePUB (mobile friendly)
- Available on iOS & Android
eBook - ePub
Special Functions for Scientists and Engineers
About this book
Clear and comprehensive, this text provides undergraduates with a straightforward guide to special functions. It is equally suitable as a reference volume for professionals, and readers need no higher level of mathematical knowledge beyond elementary calculus. Topics include the solution of second-order differential equations in terms of power series; gamma and beta functions; Legendre polynomials and functions; Bessel functions; Hermite, Laguerre, and Chebyshev polynomials; Gegenbauer and Jacobi polynomials; and hypergeometric and other special functions. Three appendices offer convenient tabulation of principal results, and a generous supply of worked examples and problems includes some hints and solutions. 1968 edition. 25 figures.
Tools to learn more effectively

Saving Books

Keyword Search

Annotating Text

Listen to it instead
Information
1
SERIES SOLUTION
OF DIFFERENTIAL EQUATIONS
OF DIFFERENTIAL EQUATIONS
1.1METHOD OF FROBENIUS
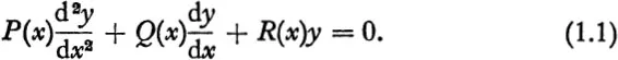
Many special functions arise in the consideration of the solutions of equations of the form

We shall restrict ourselves to equations of the type

where q(x) and r(x) may be expanded as power series in x,


convergent for some range of x including the point x = 0.
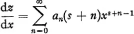
The basis of Frobenius’ method is to try for a solution of equation (1.2) of the form

with a0 ≠ 0. (We may always take a0 ≠ 0, since otherwise we should just have another series of the type (1.5) with a different value of s, the first coefficient of which we could now call a0.)
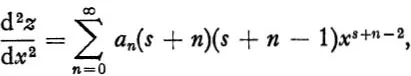
From equation (1.5) we have

and

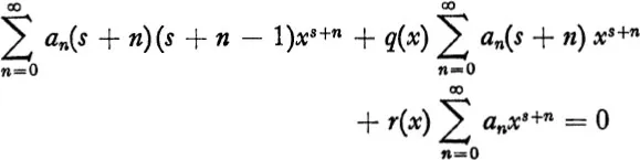
so that if we require z to satisfy equation (1.2) we must have

and this reduces to

which, on using equations (1.3) and (1.4) for q(x) and r(x) and cancelling a common factor of x8, becomes

For the infinite series on the left-hand side of equation (1.6) to be zero for all values of x in some range, we must have the coefficient of each power of x equal to zero. This requirement gives rise to a set of equations as follows.
Requiring that the coefficient of x0 be zero, and noting that ...
Table of contents
- Cover
- Title Page
- Copyright Page
- Preface
- List of Symbols
- Contents
- 1 Series Solution of Differential Equations
- 2 Gamma and Beta Functions
- 3 Legendre Polynomials and Functions
- 4 Bessel Functions
- 5 Hermite Polynomials
- 6 Laguerre Polynomials
- 7 Chebyshev Polynomials
- 8 Gegenbauer and Jacobi Polynomials
- 9 Hypergeometric Functions
- 10 Other Special Functions
- Appendices
- Hints and solutions to problems
- Bibliography
- Index
Frequently asked questions
Yes, you can cancel anytime from the Subscription tab in your account settings on the Perlego website. Your subscription will stay active until the end of your current billing period. Learn how to cancel your subscription
No, books cannot be downloaded as external files, such as PDFs, for use outside of Perlego. However, you can download books within the Perlego app for offline reading on mobile or tablet. Learn how to download books offline
Perlego offers two plans: Essential and Complete
- Essential is ideal for learners and professionals who enjoy exploring a wide range of subjects. Access the Essential Library with 800,000+ trusted titles and best-sellers across business, personal growth, and the humanities. Includes unlimited reading time and Standard Read Aloud voice.
- Complete: Perfect for advanced learners and researchers needing full, unrestricted access. Unlock 1.4M+ books across hundreds of subjects, including academic and specialized titles. The Complete Plan also includes advanced features like Premium Read Aloud and Research Assistant.
We are an online textbook subscription service, where you can get access to an entire online library for less than the price of a single book per month. With over 1 million books across 990+ topics, we’ve got you covered! Learn about our mission
Look out for the read-aloud symbol on your next book to see if you can listen to it. The read-aloud tool reads text aloud for you, highlighting the text as it is being read. You can pause it, speed it up and slow it down. Learn more about Read Aloud
Yes! You can use the Perlego app on both iOS and Android devices to read anytime, anywhere — even offline. Perfect for commutes or when you’re on the go.
Please note we cannot support devices running on iOS 13 and Android 7 or earlier. Learn more about using the app
Please note we cannot support devices running on iOS 13 and Android 7 or earlier. Learn more about using the app
Yes, you can access Special Functions for Scientists and Engineers by W. W. Bell in PDF and/or ePUB format, as well as other popular books in Technology & Engineering & Engineering General. We have over one million books available in our catalogue for you to explore.