
- 192 pages
- English
- ePUB (mobile friendly)
- Available on iOS & Android
eBook - ePub
Mathematics of Relativity
About this book
Based on the ideas of Einstein and Minkowski, this concise treatment is derived from the author's many years of teaching the mathematics of relativity at the University of Michigan. Geared toward advanced undergraduates and graduate students of physics, the text covers old physics, new geometry, special relativity, curved space, and general relativity.
Beginning with a discussion of the inverse square law in terms of simple calculus, the treatment gradually introduces increasingly complicated situations and more sophisticated mathematical tools. Changes in fundamental concepts, which characterize relativity theory, and the refinements of mathematical technique are incorporated as necessary. The presentation thus offers an easier approach without sacrifice of rigor.
Beginning with a discussion of the inverse square law in terms of simple calculus, the treatment gradually introduces increasingly complicated situations and more sophisticated mathematical tools. Changes in fundamental concepts, which characterize relativity theory, and the refinements of mathematical technique are incorporated as necessary. The presentation thus offers an easier approach without sacrifice of rigor.
Frequently asked questions
Yes, you can cancel anytime from the Subscription tab in your account settings on the Perlego website. Your subscription will stay active until the end of your current billing period. Learn how to cancel your subscription.
At the moment all of our mobile-responsive ePub books are available to download via the app. Most of our PDFs are also available to download and we're working on making the final remaining ones downloadable now. Learn more here.
Perlego offers two plans: Essential and Complete
- Essential is ideal for learners and professionals who enjoy exploring a wide range of subjects. Access the Essential Library with 800,000+ trusted titles and best-sellers across business, personal growth, and the humanities. Includes unlimited reading time and Standard Read Aloud voice.
- Complete: Perfect for advanced learners and researchers needing full, unrestricted access. Unlock 1.4M+ books across hundreds of subjects, including academic and specialized titles. The Complete Plan also includes advanced features like Premium Read Aloud and Research Assistant.
We are an online textbook subscription service, where you can get access to an entire online library for less than the price of a single book per month. With over 1 million books across 1000+ topics, we’ve got you covered! Learn more here.
Look out for the read-aloud symbol on your next book to see if you can listen to it. The read-aloud tool reads text aloud for you, highlighting the text as it is being read. You can pause it, speed it up and slow it down. Learn more here.
Yes! You can use the Perlego app on both iOS or Android devices to read anytime, anywhere — even offline. Perfect for commutes or when you’re on the go.
Please note we cannot support devices running on iOS 13 and Android 7 or earlier. Learn more about using the app.
Please note we cannot support devices running on iOS 13 and Android 7 or earlier. Learn more about using the app.
Yes, you can access Mathematics of Relativity by George Yuri Rainich in PDF and/or ePUB format, as well as other popular books in Physical Sciences & Relativity in Physics. We have over one million books available in our catalogue for you to explore.
Information
1
OLD PHYSICS
The purpose of this chapter is to reformulate some of the fundamental equations of mechanics and electrodynamics—specifically, to write them in a new form appropriate for the discussion that follows. The content of the chapter is classical; the modifications which are characteristic of the relativity theory have not been introduced, but the form is decidedly new.
1.Motion of a particle. The inverse square law
The fundamental equations of mechanics of a particle are usually written in the form

Here m denotes the mass of the particle; x, y, z are functions of the time t, whose values are the coordinates of the particles at the corresponding time; and X, Y, Z are functions of the coordinates whose values are the components of the force at the corresponding point. This system of equations was the first example of what we may call mathematical physics, and much that is now mathematical physics may be conveniently considered a result of a development whose germ is the system 1.1. This chapter will be devoted to tracing out some lines of this development.
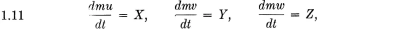
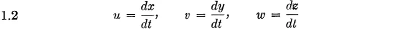
We begin by writing equations 1.1 in the form

where

are the velocity components. The quantities

are called the momentum components, and in this form our fundamental equations express the statement that the time rate of change of the momentum is equal to the force, the original statement of Newton. Equations 1.11 are seen to be equivalent to 1.1 if we use the notation 1.2 and the fact, usually tacitly assumed, that the mass of a particle does not change with time, or, in symbols, that

In equations 1.1, x, y, z are usually unknown functions of the time, and X, Y, Z are given functions of the coordinates. The situation then is this: first the field has to be described by giving the forces X, Y, Z, and then the motion in the given field is determined by solving equations 1.1 (with some additional initial conditions).
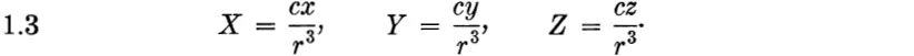
We shall first discuss fields of a certain simple type. One of the simplest fields of force is the so-called inverse square field. The field has a center, which is a singularity of the field; in it the field is not determined. In every other point of the field the force is directed toward the center (or away from it), and the magnitude of the force is inversely proportional to the square of the distance from the center. As the most common realization of such a field of force we may consider the gravitational field produced by a mass particle. If cartesian coordinates with the origin at the particle are introduced, the force components are

Here r is the distance of the moving particle from the origin, so that

and c is a coefficient of proportionality, negative when we have attraction and positive when we have repulsion (c depends on the mass of the particle producing the field and also on the mass of the particle on which the field acts, but at present we are not interested in these dependences). In order to show that 1.3 actually represents the inverse square law we form the sum of the squares of the components and find the result to be c2/r4, so that the magnitude of the force is c/r2. If the field is produced by several attracting particles the force at every point (outside of the points where the particles are located) is considered to be given by the sum of the forces due to the separate particles. In these circumstances the expressions become quite complicated, and it is easier to study the general properties of such fields by using certain differential equations to which the force components are subjected rather than by studying the explicit expressions.
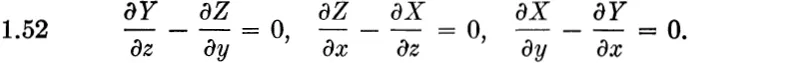
These differential equations are as follows:


The fact that the functions X, Y, Z, given by formulas 1.3, satisfy these equations may be proved by direct substitution. To facilitate calculation we may notice that differentiation of 1.4 gives

Differentiating the first of equations 1.3, we have now

Substituting this and two analogous expressions into 1.51 we easily verify it. The verification of 1.52 presents little difficulty.
It is known that equations 1.52 state a necessary and sufficient condition for the existence of a function ϕ of which X, Y, Z are partial derivatives. The derivative ∂Х/∂х is then the second derivative of this function, and the system 1.51–1.52 may be replaced by the equivalent system


The last equation is known as the equation of Laplace.
In the particular case where X, Y, Z are given by the formulas 1.3, a function ϕ of which X, Y, Z are partial derivatives is (as it is easy to verify)

We may say now that the field of force given by 1.3 satisfies the differential equations 1.51–1.52 (or 1.53–1.54, which express the same thing). We will show now that these equations are satisfied not only by the field due to one particle at the origin but also by that due to any number of particles: First, we notice that if a particle is not at the origin this results only in additive constants in the coordinates and so does not affect partial derivatives which appear in the equations 1.51–1.52; these equations therefore remain true. Second, these equations are linear and homogeneous, as a consequence of which the sum of tw...
Table of contents
- Cover
- Title Page
- Copyright Page
- Preface
- Contents
- 1 Old Physics
- 2 New Geometry
- 3 Special Relativity
- 4 Curved Space
- 5 General Relativity
- Conclusion
- Index