
- 176 pages
- English
- ePUB (mobile friendly)
- Available on iOS & Android
eBook - ePub
Induction in Geometry
About this book
Induction in Geometry discusses the application of the method of mathematical induction to the solution of geometric problems, some of which are quite intricate. The book contains 37 examples with detailed solutions and 40 for which only brief hints are provided. Most of the material requires only a background in high school algebra and plane geometry; chapter six assumes some knowledge of solid geometry, and the text occasionally employs formulas from trigonometry. Chapters are self-contained, so readers may omit those for which they are unprepared.
To provide additional background, this volume incorporates the concise text, The Method of Mathematical Induction. This approach introduces this technique of mathematical proof via many examples from algebra, geometry, and trigonometry, and in greater detail than standard texts. A background in high school algebra will largely suffice; later problems require some knowledge of trigonometry. The combination of solved problems within the text and those left for readers to work on, with solutions provided at the end, makes this volume especially practical for independent study.
To provide additional background, this volume incorporates the concise text, The Method of Mathematical Induction. This approach introduces this technique of mathematical proof via many examples from algebra, geometry, and trigonometry, and in greater detail than standard texts. A background in high school algebra will largely suffice; later problems require some knowledge of trigonometry. The combination of solved problems within the text and those left for readers to work on, with solutions provided at the end, makes this volume especially practical for independent study.
Tools to learn more effectively

Saving Books

Keyword Search

Annotating Text

Listen to it instead
Information
1. The Method of Mathematical Induction
1. EXAMPLES OF UNSOUND INDUCTION IN MATHEMATICS
First let us consider two examples of the sort of induction which is inadmissible in mathematics.
EXAMPLE 1. Let

The following equalities are easy to verify:

On the basis of these four results, one might conclude that for all natural numbers n it is true that

EXAMPLE 2. Next let us consider the trinomial x2 + x + 41, first considered by the famous mathematician L. Euler.1 If we replace x by the number 0 in this trinomial, we obtain the prime number 41. If we replace x by the number 1, we again obtain a prime number, namely 43. If we continue in this manner and replace x by the numbers 2, 3, 4, 5, 6, 7, 8, 9, 10, successively, we obtain in each case a prime number: 47, 53, 61, 71, 83, 97, 113, 131, 151, respectively. On the basis of these results one might conclude that for any nonnegative integer x, the value of the trinomial is a prime number.
Why is the reasoning used in these examples inadmissible in mathematics? In what way is the reasoning invalid?
In both the examples the reasoning employed led us to assert a general statement referring to any n (or any x) on the basis that the statements had been found true for certain particular values of n (or of x). It so happens that the general statement obtained in Example 1 is true, as we shall see below in Example 5; however, the general statement obtained in Example 2 is false. Indeed, while it can be shown that the trinomial x2 + x + 41 yields prime numbers for x = 0, 1, 2, 3, ... , 39, for x = 40 the value of the trinomial is seen to be 412, which is a composite number.
Induction has wide applications in mathematics, but it must be used with care or it may lead to erroneous conclusions.
1. MORE EXAMPLES OF UNSOUND INDUCTION
We have encountered in Example 2 a statement which proves to be true in forty instances, but which is not true in general. We shall give two additional examples of statements which are true in some particular instances without being true in general.
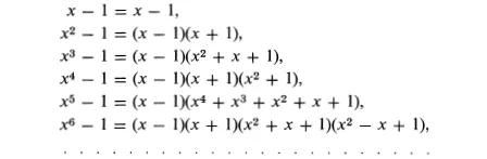
EXAMPLE 3. The binomial xn – 1 (where n is a natural number) is of great interest to mathematicians as it is closely related to the geometric problem of dividing a circle into n equal parts. Hence, it is not surprising that this binomial has been studied with great care, with particular attention to the question of resolving it into factors with integral coefficients.
In studying these factorizations for many particular values of n, mathematicians noted that in each of the cases studied, the absolute values of the coefficients of the factors never exceeded the number 1. Thus,

Tables of coefficients were made, and in each case the coefficients had the property mentioned above. Nevertheless, all attempts to prove the statement true for all values of n failed.
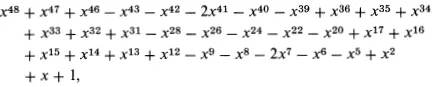
The problem was finally solved in 1941 by V. Ivanov with the following result: If n < 105, the binomial xn – 1 has the above property. One of the factors of x105 – 1, however, is the polynomial

which no longer has this property.
EXAMPLE 4. Into how many parts is space divided by n planes which pass through the same point, but no three of which intersect in the same straight line?
Let us consider the simplest special cases of this problem: One plane divides space into 2 parts. Two planes passing through a common point divide space into 4 parts. Three planes passing through a common point, but having no line in common, divide space into 8 parts.
At first glance it may appear that as the number of planes increases by 1, the number of parts into which they divide space is doubled, so that 4 planes would divide space into 16 parts, 5 planes into 32 parts, and so on; or, in general, that n planes would divide space into 2n parts.
Actually, this is not the case: 4 planes divide space into 14 parts, 5 planes into 22 parts. In general, n planes divide space into n(n – 1) + 2 parts.1
These examples illustrate the following simple but important fact: A statement may be true in many special instances and yet not be true in general.
1. THE PRINCIPLE OF MATHEMATICAL INDUCTION
Now the following question arises: Suppose that we have a statement involving natural numbers which we have found to be true in some particular instances. How can we determine whether the statement is true in general; or, to be more specific, how can we determine whether the statement is true for all natural numbers n = 1, 2, 3, ... ?
This question can sometimes be answered by using a special method of reasoning called the method of mathematical induction (complete induction), based on the following principle:
A statement is true for every natural number n if the following conditions are satisfied:
Co...
Table of contents
- Cover
- Title Page
- Copyright Page
- Preface to the American Edition
- Contents
- Introduction
- CHAPTER 1. The Method of Mathematical Induction
- CHAPTER 2. Examples and Exercises
- CHAPTER 3. Proofs of Some Theorems of Algebra
- Solutions of Exercises in Chapter 2
- Induction in Geometry
- Preface to the American Edition
- Contents
- Introduction: What Is the Method of Mathematical Induction?
- CHAPTER 1. Computation by Induction
- CHAPTER 2. Proof by Induction
- CHAPTER 3. Construction by Induction
- CHAPTER 4. The Determination of Geometric Loci by Induction
- CHAPTER 5. Definitions by Induction
- CHAPTER 6. Induction on the Number of Dimensions
Frequently asked questions
Yes, you can cancel anytime from the Subscription tab in your account settings on the Perlego website. Your subscription will stay active until the end of your current billing period. Learn how to cancel your subscription
No, books cannot be downloaded as external files, such as PDFs, for use outside of Perlego. However, you can download books within the Perlego app for offline reading on mobile or tablet. Learn how to download books offline
Perlego offers two plans: Essential and Complete
- Essential is ideal for learners and professionals who enjoy exploring a wide range of subjects. Access the Essential Library with 800,000+ trusted titles and best-sellers across business, personal growth, and the humanities. Includes unlimited reading time and Standard Read Aloud voice.
- Complete: Perfect for advanced learners and researchers needing full, unrestricted access. Unlock 1.4M+ books across hundreds of subjects, including academic and specialized titles. The Complete Plan also includes advanced features like Premium Read Aloud and Research Assistant.
We are an online textbook subscription service, where you can get access to an entire online library for less than the price of a single book per month. With over 1 million books across 990+ topics, we’ve got you covered! Learn about our mission
Look out for the read-aloud symbol on your next book to see if you can listen to it. The read-aloud tool reads text aloud for you, highlighting the text as it is being read. You can pause it, speed it up and slow it down. Learn more about Read Aloud
Yes! You can use the Perlego app on both iOS and Android devices to read anytime, anywhere — even offline. Perfect for commutes or when you’re on the go.
Please note we cannot support devices running on iOS 13 and Android 7 or earlier. Learn more about using the app
Please note we cannot support devices running on iOS 13 and Android 7 or earlier. Learn more about using the app
Yes, you can access Induction in Geometry by L.I. Golovina,I. M. Yaglom in PDF and/or ePUB format, as well as other popular books in Mathematics & Geometry. We have over one million books available in our catalogue for you to explore.