Based on the author's series of lectures at the Mechanics-Mathematics Faculty of the University of Leningrad, this text is primarily concerned with the plastic deformation of metals at normal temperatures, as applied to the strength of machines and structures. Its focus on delivering a simple presentation of the basic equations of plasticity theory encompasses the best-developed methods for solving the equations; it also considers problems associated with the special nature of plastic state and the most important engineering applications of plasticity theory.
This volume traces the main trends in the theory's development, assuming readers' familiarity with the fundamentals of strength of materials and elasticity theory. Advanced topics are marked with an asterisk and can be omitted on a first reading. Intended as a text for advanced engineering students, as well as a reference book for practicing engineers, it features problems at the end of each chapter that enable readers to test their grasp of the material.
Contents include the fundamentals of continuum mechanics, equations of plastic state and elastic-plastic equilibrium, torsion, plane strain and stress, and axially symmetric strain. Additional topics range from extremum principles and energy methods of solution to theory of shakedown, stability of elastic-plastic equilibrium, dynamic problems, complex media, and viscoplasticity. An extensive bibliography appears at the end of the book. 1971 edition.

- 512 pages
- English
- ePUB (mobile friendly)
- Available on iOS & Android
eBook - ePub
Fundamentals of the Theory of Plasticity
About this book
Trusted by 375,005 students
Access to over 1.5 million titles for a fair monthly price.
Study more efficiently using our study tools.
Information
1
Basic Concepts in the Mechanics of Continuous Media
In this chapter we outline the basic formulae of the theory of stress and strain; in the process we identify the most important information for the development of the theory of plasticity.
§1. Stress
1.1. Stress
At a given point in a continuous medium the state of stress is characterized by a symmetric stress tensor

(1.1)
where σx, σy, σz are the normal components, and τxy, τyz, τxz the tangential components of stress in a rectangular coordinate system with axes x, y, z.
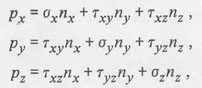
The stress vector p on an arbitrarily oriented surface with unit normal n (fig. 1) is given by Cauchy’s formulae:

(1.2)
where nx, ny, nz are the components of the unit normal n and are equal respectively to the direction cosines cos (n, x), cos (n, y), cos (n, z).

Fig. 1.
The projection of the vector p in the direction of the normal gives the normal stress σn, acting on the surface in question:

(1.3)
The magnitude of the tangential stress τn equals

(1.4)
At each point of the medium there exist three mutually perpendicular surface elements on which the tangential stresses are zero. The directions of the normals to these surfaces constitute the principal directions of the stress tensor and do not depend on the choice of the coordinate system x, y, z. This means that any stress state at the given point may be induced by stretching the neighbourhood of the point in three mutually perpendicular directions. The corresponding stresses are called principal normal stresses; we shall denote them by σ1, σ2, σ3 and number the principal axes so that

(1.5)
The stress tensor, referred to principal axes, has the form


Fig. 2.
It is not difficult to show from formulae (1.2)−(1.4) that in cross-sections, which bisect the angles between the principal planes and pass respectively through the principal axes 1, 2, 3 (fig. 2), the tangential stresses have magnitudes

The tangential stresses on these cross-sections have extremum values and are called principal tangential stresses. We define these by the formulae

(1.6)
With change in the orientation of a surface, the intensity of the tangential stress τn acting on it also changes. The maximum value of τn at a given point is called the maximum tangential stress τmax. If condition (1.5) is satisfied, then
τmax = −τ2.
I...
Table of contents
- DOVER BOOKS ON ENGINEERING
- Title Page
- Copyright Page
- Table of Contents
- Preface to the Second Edition
- Basic Notation
- Errata
- Introduction
- 1 - Basic Concepts in the Mechanics of Continuous Media
- 2 - Equations of the Plastic State
- 3 - Equations of Elastic-Plastic Equilibrium. The Simplest Problems
- 4 - Torsion
- 5 - Plane Strain
- 6 - Plane Stress
- 7 - Axisymmetric Strain
- 8 - Extremum Principles and Energy Methods
- 9 - Theory of Shakedown
- 10 - Stability of Elastic-Plastic Equilibrium
- 11 - Dynamical Problems
- 12 - Composite Media. Visco-Plasticity
- Appendix
- Bibliography)
- Subject Index
Frequently asked questions
Yes, you can cancel anytime from the Subscription tab in your account settings on the Perlego website. Your subscription will stay active until the end of your current billing period. Learn how to cancel your subscription
No, books cannot be downloaded as external files, such as PDFs, for use outside of Perlego. However, you can download books within the Perlego app for offline reading on mobile or tablet. Learn how to download books offline
Perlego offers two plans: Essential and Complete
- Essential is ideal for learners and professionals who enjoy exploring a wide range of subjects. Access the Essential Library with 800,000+ trusted titles and best-sellers across business, personal growth, and the humanities. Includes unlimited reading time and Standard Read Aloud voice.
- Complete: Perfect for advanced learners and researchers needing full, unrestricted access. Unlock 1.5M+ books across hundreds of subjects, including academic and specialized titles. The Complete Plan also includes advanced features like Premium Read Aloud and Research Assistant.
We are an online textbook subscription service, where you can get access to an entire online library for less than the price of a single book per month. With over 1.5 million books across 990+ topics, we’ve got you covered! Learn about our mission
Look out for the read-aloud symbol on your next book to see if you can listen to it. The read-aloud tool reads text aloud for you, highlighting the text as it is being read. You can pause it, speed it up and slow it down. Learn more about Read Aloud
Yes! You can use the Perlego app on both iOS and Android devices to read anytime, anywhere — even offline. Perfect for commutes or when you’re on the go.
Please note we cannot support devices running on iOS 13 and Android 7 or earlier. Learn more about using the app
Please note we cannot support devices running on iOS 13 and Android 7 or earlier. Learn more about using the app
Yes, you can access Fundamentals of the Theory of Plasticity by L. M. Kachanov in PDF and/or ePUB format, as well as other popular books in Technology & Engineering & Civil Engineering. We have over 1.5 million books available in our catalogue for you to explore.