
- 384 pages
- English
- ePUB (mobile friendly)
- Available on iOS & Android
eBook - ePub
Condensed Matter Physics
About this book
More than a graduate text and advanced research guide on condensed matter physics, this volume is useful to plasma physicists and polymer chemists, and their students. It emphasizes applications of statistical mechanics to a variety of systems in condensed matter physics rather than theoretical derivations of the principles of statistical mechanics and techniques.
Isihara addresses a dozen different subjects in separate chapters, each designed to be directly accessible and used independently of previous chapters. Topics include simple liquids, electron systems and correlations, two-dimensional electron systems, quasi one-dimensional systems, hopping and localization, magnetism, superconductivity, liquid helium, liquid crystals, and polymers. Extensive appendixes offer background on molecular distribution functions, which play important roles in the theoretical derivations.
Isihara addresses a dozen different subjects in separate chapters, each designed to be directly accessible and used independently of previous chapters. Topics include simple liquids, electron systems and correlations, two-dimensional electron systems, quasi one-dimensional systems, hopping and localization, magnetism, superconductivity, liquid helium, liquid crystals, and polymers. Extensive appendixes offer background on molecular distribution functions, which play important roles in the theoretical derivations.
Tools to learn more effectively

Saving Books

Keyword Search

Annotating Text

Listen to it instead
Information
1
SIMPLE LIQUIDS
One could well argue that it is more difficult to treat theoretically a liquid than a gas with a random distribution of molecules or a crystal with a regular structure. Nevertheless, its description is a good place to begin discussing condensed matter physics since the liquid state is no stranger to us and yet has strong molecular correlations. Theoretical techniques developed for a liquid are often applicable to other condensed matter systems.
1.1. Pair distribution function
The liquid state is similar to the solid state in having a free surface, low compressibility, and high density. In fact, its density is only about 5% lower than that of a solid, although there are exceptional cases such as water. However, its fluidity and molecular order are unique. Molecules in liquids can change position continuously, fill out a vessel with a formation of a meniscus, and do not have the long-range order of solids but only short-range order. Both liquids and gases are called fluids but these two are clearly distinguishable except near the critical point.
Since the molecular distribution of a liquid differs from that of a gas or a crystal, its study is important. This study can be performed effectively using two experimental methods: X-ray or electromagnetic wave diffraction and neutron scattering. The former method probes a static distribution that is quite different from those of gases and crystals. The latter provides information on the dynamic correlation of molecules, which is also distinctive. We shall discuss the former in this section and the latter in the next section.
X-ray scattering from a liquid depends not only on the molecular distribution but also on the molecular species. Therefore, we consider only a simple liquid (without any complex molecular structure), homogeneous and in equilibrium [1].
X-ray studies probe the radial distribution function g(r), which is connected with the pair distribution function ρ2(r) such that

The pair distribution function ρ2(r) represents the probability of finding two molecules at a relative distance r. For homogeneous and isotropic systems, this probability depends only on the magnitude of r and approaches n2 as r → ∞, where n is the number density. Hence, the radial distribution function g(r) has the asymptotic property:
g(r) → 1, (r → ∞).
Its deviation from this asymptotic value represents the molecular correlations. For a given distance r, ng(r)4πr2 dr is the number of molecules in the spherical shell of width dr at r.
The pair distribution function satisfies the normalization:

where V is the volume and N is the number of molecules in the liquid. The average 〈…〉 is taken if this total number is fluctuating. In such cases, ρ2(r) is defined in a grand ensemble where 〈…〉 represents a grand-ensemble average.
From Eqs. (1.1) and (1.2), we learn that the radial distribution function satisfies

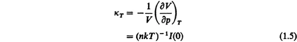
For large 〈N〉, the right-hand side represents the square average fluctuations of the total number N about its average 〈N〉. One can show statistically [2] that

where I(0) is proportional to the intensity of scattered radiation at zero scattering angle and p is the pressure. Note that the quantity

is the isothermal compressibility. Light scattering will be discussed shortly.
Generally, g(r) stays 0 near the origin at r = 0 due to the strong short-range repulsion of molecules, reaches a maximum at a point where nearest-neighbor molecules gather, and then shows weaker maxima and gradually approaches its asymptotic value of 1. Its schematic curve is illustrated in Fi...
Table of contents
- Cover
- Title Page
- Copyright Page
- Preface
- Contents
- 1. Simple Liquids
- 2. Approach to Electron Systems
- 3. ELECTRON CORRELATIONS
- 4. Two-Dimensional Electron Systems
- 5. Quasi One-Dimensional Systems
- 6. Hopping and Localization
- 7. Magnetism
- 8. Superconductivity
- 9. Liquid 4He
- 10. Liquid 3He
- 11. Liquid Crystals
- 12. Polymers
- Appendix. Molecular distribution functions
- Subject Index
Frequently asked questions
Yes, you can cancel anytime from the Subscription tab in your account settings on the Perlego website. Your subscription will stay active until the end of your current billing period. Learn how to cancel your subscription
No, books cannot be downloaded as external files, such as PDFs, for use outside of Perlego. However, you can download books within the Perlego app for offline reading on mobile or tablet. Learn how to download books offline
Perlego offers two plans: Essential and Complete
- Essential is ideal for learners and professionals who enjoy exploring a wide range of subjects. Access the Essential Library with 800,000+ trusted titles and best-sellers across business, personal growth, and the humanities. Includes unlimited reading time and Standard Read Aloud voice.
- Complete: Perfect for advanced learners and researchers needing full, unrestricted access. Unlock 1.4M+ books across hundreds of subjects, including academic and specialized titles. The Complete Plan also includes advanced features like Premium Read Aloud and Research Assistant.
We are an online textbook subscription service, where you can get access to an entire online library for less than the price of a single book per month. With over 1 million books across 990+ topics, we’ve got you covered! Learn about our mission
Look out for the read-aloud symbol on your next book to see if you can listen to it. The read-aloud tool reads text aloud for you, highlighting the text as it is being read. You can pause it, speed it up and slow it down. Learn more about Read Aloud
Yes! You can use the Perlego app on both iOS and Android devices to read anytime, anywhere — even offline. Perfect for commutes or when you’re on the go.
Please note we cannot support devices running on iOS 13 and Android 7 or earlier. Learn more about using the app
Please note we cannot support devices running on iOS 13 and Android 7 or earlier. Learn more about using the app
Yes, you can access Condensed Matter Physics by A. Isihara in PDF and/or ePUB format, as well as other popular books in Physical Sciences & Physics. We have over one million books available in our catalogue for you to explore.