
- 272 pages
- English
- ePUB (mobile friendly)
- Available on iOS & Android
eBook - ePub
About this book
In the mathematical subfield of numerical analysis, interpolation is a procedure that assists in "reading between the lines" in a set of tables by constructing new data points from existing points. This rigorous presentation employs only formulas for which it is possible to calculate error limits. Subjects include displacement symbols and differences, divided differences, formulas of interpolation, factorial coefficients, numerical differentiation, and construction of tables. Additional topics include inverse interpolation, elementary methods of summation, repeated summation, mechanical quadrature, numerical integration of differential equations, the calculus of symbols, interpolation with several variables, and mechanical cubature. 1950 edition.
Tools to learn more effectively

Saving Books

Keyword Search

Annotating Text

Listen to it instead
Information
§1. Introduction
1.The theory of interpolation may, with certain reservations, be said to occupy itself with that kind of information about a function which can be extracted from a table of the function. If, for certain values of the variable x0, x1, x2, âŚ, the corresponding values of the function f(x0), f(x1), f(x2), ⌠are known, we may collect our information in the table

and the first question that occurs to the mind is, whether it is possible, by means of this table, to calculate, at least approximately, the value of f(x) for an argument not found in the table.
It must be admitted at once, that this problemââinterpolationâ in the more restricted sense of the termâcannot be solved by means of these data alone. The table contains no other information than a correspondence between certain numbers, and if we insert another argument x and a perfectly arbitrarily chosen number f(x) as corresponding to that argument, we in no way contradict the information contained in the table.
2.It follows that, if the problem of interpolation is to have a definite, even if approximate, solution, it is absolutely indispensable to possess, beyond the data contained in the table, at least a certain general idea of the character of the function. In practice, it is a very general custom to derive formulas of interpolation on the assumption that the function with which we have to deal is a polynomial of a certain degree. The formula will, then, produce exact results if applied to a polynomial of the same or lower degree; but if it is applied to a polynomial of higher degree or to a function which is not a polynomial, nothing whatever is known about the accuracy obtained. In order to justify the application to such cases, it is customary to refer to the fact that most functions can, at least within moderate intervals, be approximated to by polynomials of a suitable degree. But this is only shirking the real difficulty; for if we have to deal with a numerical calculation, it is not sufficient to know that an approximation is obtainable; what we want to know, is how close is the approximation actually obtained.
3.A more fertile assumption, the correctness of which can often be ascertained, is that f(x) possesses, in a certain interval, a continuous differential coefficient of a certain order k. It will be shown later, that any such function can be represented as the sum of a polynomial and a âremainder-termâ which is of such a simple nature, that if two numbers are known between which the differential coefficient of order k is situated, we can find limits to the error committed by neglecting the remainder-term in the interpolation.
In order to avoid having continuously to revert to the question of the assumptions made about f(x), let it be stated here once and for all, that f(x), where nothing else is expressly said, means a real, single-valued function, continuous in a closed interval, say a ⤠x ⤠b, and possessing in this interval a continuous differential coefficient of the highest order of which use is made in deriving each formula under consideration. If this order be k, f(k +1) (x) need not exist at all; much less is there any necessity for assuming that f(x) is a polynomial or at least an analytical function.
Making such liberal assumptions about f(x), we will, nevertheless, be able to solve, in a simple and satisfactory manner, not only the interpolation problem in the restricted sense, but a great number of problems of a similar nature, which, taken together, form the contents of the theory of interpolation in the wider sense of the word.
4.While I assume that the reader is familiar with the notion of a âcontinuous functionâ and with the definitions of a differential coefficient and an integral, I make otherwise little use of analysis in this book. Two theorems belonging to elementary mathematical analysis are, however, so frequently referred to, that I find it practical to state them here, together with their proofs:
1.Rolleâs Theorem. If f(x) is continuous in the closed interval a ⤠x ⤠b and differentiable in the open interval a < x < b, and if f(a) = f(b) = 0, it is possible to find at least one point Ξ inside the interval, such that

Proof. If f(x) is not identically zero in the interval (in which case the theorem is obvious), let m and M be the smallest and largest values it attains. As f(x) is a continuous function, at least one of these values must be attained for some argument Ξ situated between a and b, as f(a) = f(b). For this value Ξ we must have fâ˛(Ξ) = 0, as otherwise f(x) would be increasing or decreasing in the neighbourhood of Ξ and assume values larger and smaller than f(Ξ) which is impossible.
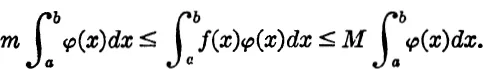
2. The Theorem of Mean Value. Let f(x) and Ď(x) be integrable functions of which f(x) is continuous in the closed interval a ⤠x ⤠b, while Ď(x) does not change sign in the interval. There exists, then, at least one point Ξ inside the interval such that

Proof. Let Ď(x) be positive (otherwise we may consider â Ď(x)), and let m ⤠f(x) ⤠M. Then

There must, therefore, exist a number Îź, intermediate between m and M, such that

and as f(x) is continuous, Ο may be replaced by f(Ξ).
The Theorem of Mean Value is easily extended to double integrals and to sums; we need not go into details.
Occasionally use has been made of results, borrowed from the theory of the Gamma-Function;1 but the student who is not familiar with that func...
Table of contents
- Cover
- Title Page
- Copyright Page
- Preface
- Contents
- §1.   Introduction
- §2.   Displacement-Symbols and Differences
- §3.   Divided Differences
- §4.   Interpolation-Formulas
- §5.   Some Applications
- §6.   Factorial Coefficients
- §7.   Numerical Differentiation
- §8.   Construction of Tables
- §9.   Inverse Interpolation
- §10.  Elementary Methods of Summation
- §11.  Repeated Summation
- §12.  Laplaceâs and Gaussâs Summation-Formulas
- §13.  Bernoulliâs Polynomials
- §14.  Eulerâs Summation-Formula
- §15.  Lubbockâs and Wooihouseâs Formulas
- §16.  Mechanical Quadrature
- §17.  Numerical Integration of Differential Equations
- §18.  The Calculus of Symbols
- §19.  Interpolation with Several Variables
- §20.  Mechanical Cubature
- Appendix
- Index
Frequently asked questions
Yes, you can cancel anytime from the Subscription tab in your account settings on the Perlego website. Your subscription will stay active until the end of your current billing period. Learn how to cancel your subscription
No, books cannot be downloaded as external files, such as PDFs, for use outside of Perlego. However, you can download books within the Perlego app for offline reading on mobile or tablet. Learn how to download books offline
Perlego offers two plans: Essential and Complete
- Essential is ideal for learners and professionals who enjoy exploring a wide range of subjects. Access the Essential Library with 800,000+ trusted titles and best-sellers across business, personal growth, and the humanities. Includes unlimited reading time and Standard Read Aloud voice.
- Complete: Perfect for advanced learners and researchers needing full, unrestricted access. Unlock 1.4M+ books across hundreds of subjects, including academic and specialized titles. The Complete Plan also includes advanced features like Premium Read Aloud and Research Assistant.
We are an online textbook subscription service, where you can get access to an entire online library for less than the price of a single book per month. With over 1 million books across 990+ topics, weâve got you covered! Learn about our mission
Look out for the read-aloud symbol on your next book to see if you can listen to it. The read-aloud tool reads text aloud for you, highlighting the text as it is being read. You can pause it, speed it up and slow it down. Learn more about Read Aloud
Yes! You can use the Perlego app on both iOS and Android devices to read anytime, anywhere â even offline. Perfect for commutes or when youâre on the go.
Please note we cannot support devices running on iOS 13 and Android 7 or earlier. Learn more about using the app
Please note we cannot support devices running on iOS 13 and Android 7 or earlier. Learn more about using the app
Yes, you can access Interpolation by J. F. Steffensen in PDF and/or ePUB format, as well as other popular books in Mathematics & Mathematical Analysis. We have over one million books available in our catalogue for you to explore.