
- 368 pages
- English
- ePUB (mobile friendly)
- Available on iOS & Android
eBook - ePub
Stability by Fixed Point Theory for Functional Differential Equations
About this book
This book is the first general introduction to stability of ordinary and functional differential equations by means of fixed point techniques. It contains an extensive collection of new and classical examples worked in detail and presented in an elementary manner.
Most of this text relies on three principles: a complete metric space, the contraction mapping principle, and an elementary variation of parameters formula. The material is highly accessible to upper-level undergraduate students in the mathematical sciences, as well as working biologists, chemists, economists, engineers, mathematicians, physicists, and other scientists using differential equations. It also introduces many research problems that promise to remain of ongoing interest.
Most of this text relies on three principles: a complete metric space, the contraction mapping principle, and an elementary variation of parameters formula. The material is highly accessible to upper-level undergraduate students in the mathematical sciences, as well as working biologists, chemists, economists, engineers, mathematicians, physicists, and other scientists using differential equations. It also introduces many research problems that promise to remain of ongoing interest.
Tools to learn more effectively

Saving Books

Keyword Search

Annotating Text

Listen to it instead
Information
Chapter 1
Half-linear Equations
1.1 Statement of the problem
This section is an elementary introduction to the formulations of fixed point problems in differential equations. These formulations serve two purposes. First, they give a brief introduction to the kinds of problems we will be considering. But, more importantly, they offer motivation for the properties and results which we present in the next section; those properties are fundamental in the study of stability by fixed point theory.
Many different kinds of problems can be solved by means of fixed point theory. Generally, to solve a problem with fixed point theory is to find:
(a) a set S consisting of points which would be acceptable solutions;
(b) a mapping P : S → S with the property that a fixed point solves the problem;
(c) a fixed point theorem stating that this mapping on this set will have a fixed point.
We will be primarily interested in functional differential equations, but we begin with an ordinary differential equation

(1.1.1)
where g : [0, ∞) × Rn → Rn is continuous. To start us on our way we will discuss problems which are central to the study and motivate the contents of future sections. Several concepts may be used here which will be more fully defined and discussed later.
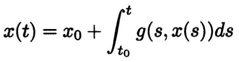
Example 1.1.1 An existence theorem. Perhaps the most basic problem concerning (1.1.1) is to find a solution through a given point (t0, x0) ∈ [0, ∞) × Rn defined on some interval [t0, t0 + γ] and satisfying (1.1.1) on that interval.
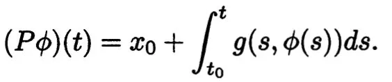
For this problem, our first guess would be that the set S should consist of differentiable functions φ : [t0, t0 + γ] → Rn with φ(t0) = x0. Next, the simplest way to find a mapping is to formally integrate (1.1.1) and obtain

so that the mapping P on S is defined by

A fixed point will certainly satisfy the equation. Since our...
Table of contents
- Title Page
- Copyright Page
- Dedication
- Preface
- Table of Contents
- Chapter 0 - Introduction and Overview
- Chapter 1 - Half-linear Equations
- Chapter 2 - Classical Problems, Harmless Perturbations
- Chapter 3 - Borrowing Coefficients
- Chapter 4 - Schauder’s Theorem: A Choice
- Chapter 5 - Boundedness, Periodicity, and Stability
- Chapter 6 - Open Problems, Global Nonlinearities
- Chapter 7 - Appleby’s Stochastic Perturbations
- References
- Author Index
- Subject Index
Frequently asked questions
Yes, you can cancel anytime from the Subscription tab in your account settings on the Perlego website. Your subscription will stay active until the end of your current billing period. Learn how to cancel your subscription
No, books cannot be downloaded as external files, such as PDFs, for use outside of Perlego. However, you can download books within the Perlego app for offline reading on mobile or tablet. Learn how to download books offline
Perlego offers two plans: Essential and Complete
- Essential is ideal for learners and professionals who enjoy exploring a wide range of subjects. Access the Essential Library with 800,000+ trusted titles and best-sellers across business, personal growth, and the humanities. Includes unlimited reading time and Standard Read Aloud voice.
- Complete: Perfect for advanced learners and researchers needing full, unrestricted access. Unlock 1.4M+ books across hundreds of subjects, including academic and specialized titles. The Complete Plan also includes advanced features like Premium Read Aloud and Research Assistant.
We are an online textbook subscription service, where you can get access to an entire online library for less than the price of a single book per month. With over 1 million books across 990+ topics, we’ve got you covered! Learn about our mission
Look out for the read-aloud symbol on your next book to see if you can listen to it. The read-aloud tool reads text aloud for you, highlighting the text as it is being read. You can pause it, speed it up and slow it down. Learn more about Read Aloud
Yes! You can use the Perlego app on both iOS and Android devices to read anytime, anywhere — even offline. Perfect for commutes or when you’re on the go.
Please note we cannot support devices running on iOS 13 and Android 7 or earlier. Learn more about using the app
Please note we cannot support devices running on iOS 13 and Android 7 or earlier. Learn more about using the app
Yes, you can access Stability by Fixed Point Theory for Functional Differential Equations by T. A. Burton in PDF and/or ePUB format, as well as other popular books in Mathematics & Differential Equations. We have over one million books available in our catalogue for you to explore.