Numerical Hamiltonian Problems
eBook - ePub

Numerical Hamiltonian Problems

  1. 224 pages
  2. English
  3. ePUB (mobile friendly)
  4. Available on iOS & Android
eBook - ePub

Numerical Hamiltonian Problems

About this book

This advanced text explores a category of mathematical problems that occur frequently in physics and other sciences. Five preliminary chapters make the book accessible to students without extensive background in this area. Topics include Hamiltonian systems, symplecticness, numerical methods, order conditions, and implementation.
The heart of the book, chapters 6 through 10, explores symplectic integration, symplectic order conditions, available symplectic methods, numerical experiments, and properties of symplectic integrators. The final four chapters contain more advanced material: generating functions, Lie formalism, high-order methods, and extensions. Many numerical examples appear throughout the text.

Trusted by 375,005 students

Access to over 1 million titles for a fair monthly price.

Study more efficiently using our study tools.

Information

Year
2018
Print ISBN
9780486824109
eBook ISBN
9780486831527

CHAPTER 1

Hamiltonian systems

1.1 Hamiltonian systems

This chapter and the next are a first introduction to Hamiltonian problems: more advanced material is presented later as required. A good starting point for the mathematical theory of Hamiltonian systems is the textbook by Arnold (1989). MacKay and Meiss (1987) have compiled an excellent collection of important papers in Hamiltonian dynamics. The article by Berry in this collection is particularly recommended. For an introduction to the more geometric modern approach the book by Marsden (1992) is an advisable choice.
We start by describing the class of problems we shall be concerned with and by presenting some notation. Let Ω be a domain (i.e., a nonempty, open, connected subset) in the oriented Euclidean space
image
of the points (p, q) = (p1, . . . pd, q1, . . ., qd). We denote by I an open interval of the real line
image
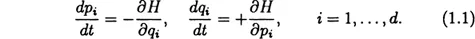
of the variable t (time); I may be bounded, I = (a, b), or unbounded, I = (−∞, b), I = (a, ∞), I = (−∞, ∞). If H = H(p, q, t) is a sufficiently smooth real function defined in the product Ω × I, then the Hamiltonian system of differential equations with Hamiltonian H is, by definition, given by
image
The integer d is called the number of degrees of freedom and Ω is the phase space. The product Ω × I is the extended phase space. The exact amount of smoothness required of H will vary from place to place and will not be explicitly stated, but throughout we assume at least C2 continuity, so that the right-hand side of the system (1.1) is C1 and the standard existence and uniqueness theorems apply to the corresponding initial value problem. Sometimes, the symbol SH will be used to refer to the system (1.1).
Usually, in applications to mechanics (Arnold (1989)), the q variables are generalized coordinates, the p variables the conjugated generalized momenta and H corresponds to the total mechanical energy.
In many Hamiltonian systems of interest, the Hamiltonian H does not explicitly depend on t; then (1.1) is an autonomous system of differential equations. For autonomous problems we shall consider H as a function defined in the phase space Ω, rather than as a function defined in
image
and independent of the last variable.
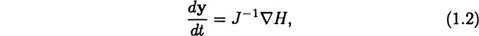
It is sometimes useful to combine all the dependent variables in (1.1) in a 2d-dimensional vector y = (p, q). Then (1.1) takes the simple form
image
where ∇ is the gradient operator
image
and J is the 2d × 2d skew-symmetric matrix
image
(I and 0 respectively represent the unit and zero d × d matrices).
Upon differentiation of H with respect to t along a solution of (1.1), we find
image
so that, in view of (1.2) and of the skew-symmetry of J−1,
image
In particular, if H is autonomous, dH/dt = 0. Then H is a conserved quantity that remains constant along solutions of the system. In the applications, this usually corresponds to conservation of energy.
We now turn to some concrete examples of Hamiltonian systems. These examples have been chosen for their simplicity. More realistic examples from celestial mechanics, plasma physics, molecular dynamics etc. can be found in the literature of the corresponding fields.

1.2 Examples of Hamiltonian systems

1.2.1 The harmonic oscillator

This is the well-known system with d = 1 (one degree of freedom)
image
Here, m and k are positive constants that, for the familiar case of a material point attached to a spring, respectively correspond to mass and spring constant. Of course...

Table of contents

  1. Cover
  2. Title Page
  3. Copyright Page
  4. Contents
  5. Preface
  6. 1. Hamiltonian systems
  7. 2. Symplecticness
  8. 3. Numerical methods
  9. 4. Order conditions
  10. 5. Implementation
  11. 6. Symplectic integration
  12. 7. Symplectic order conditions
  13. 8. Available symplectic methods
  14. 9. Numerical experiments
  15. 10. Properties of symplectic integrators
  16. 11. Generating functions
  17. 12. Lie formalism
  18. 13. High-order methods
  19. 14. Extensions
  20. References
  21. Symbol index
  22. Index

Frequently asked questions

Yes, you can cancel anytime from the Subscription tab in your account settings on the Perlego website. Your subscription will stay active until the end of your current billing period. Learn how to cancel your subscription
No, books cannot be downloaded as external files, such as PDFs, for use outside of Perlego. However, you can download books within the Perlego app for offline reading on mobile or tablet. Learn how to download books offline
Perlego offers two plans: Essential and Complete
  • Essential is ideal for learners and professionals who enjoy exploring a wide range of subjects. Access the Essential Library with 800,000+ trusted titles and best-sellers across business, personal growth, and the humanities. Includes unlimited reading time and Standard Read Aloud voice.
  • Complete: Perfect for advanced learners and researchers needing full, unrestricted access. Unlock 1.4M+ books across hundreds of subjects, including academic and specialized titles. The Complete Plan also includes advanced features like Premium Read Aloud and Research Assistant.
Both plans are available with monthly, semester, or annual billing cycles.
We are an online textbook subscription service, where you can get access to an entire online library for less than the price of a single book per month. With over 1 million books across 990+ topics, we’ve got you covered! Learn about our mission
Look out for the read-aloud symbol on your next book to see if you can listen to it. The read-aloud tool reads text aloud for you, highlighting the text as it is being read. You can pause it, speed it up and slow it down. Learn more about Read Aloud
Yes! You can use the Perlego app on both iOS and Android devices to read anytime, anywhere — even offline. Perfect for commutes or when you’re on the go.
Please note we cannot support devices running on iOS 13 and Android 7 or earlier. Learn more about using the app
Yes, you can access Numerical Hamiltonian Problems by J.M. Sanz-Serna,M.P. Calvo in PDF and/or ePUB format, as well as other popular books in Mathematics & Applied Mathematics. We have over one million books available in our catalogue for you to explore.