The Green Book of Mathematical Problems
eBook - ePub

The Green Book of Mathematical Problems

  1. 184 pages
  2. English
  3. ePUB (mobile friendly)
  4. Available on iOS & Android
eBook - ePub

The Green Book of Mathematical Problems

About this book

Rich selection of 100 practice problems — with hints and solutions — for students preparing for the William Lowell Putnam and other undergraduate-level mathematical competitions. Features real numbers, differential equations, integrals, polynomials, sets, other topics. Hours of stimulating challenge for math buffs at varying degrees of proficiency. References.

Frequently asked questions

Yes, you can cancel anytime from the Subscription tab in your account settings on the Perlego website. Your subscription will stay active until the end of your current billing period. Learn how to cancel your subscription.
No, books cannot be downloaded as external files, such as PDFs, for use outside of Perlego. However, you can download books within the Perlego app for offline reading on mobile or tablet. Learn more here.
Perlego offers two plans: Essential and Complete
  • Essential is ideal for learners and professionals who enjoy exploring a wide range of subjects. Access the Essential Library with 800,000+ trusted titles and best-sellers across business, personal growth, and the humanities. Includes unlimited reading time and Standard Read Aloud voice.
  • Complete: Perfect for advanced learners and researchers needing full, unrestricted access. Unlock 1.4M+ books across hundreds of subjects, including academic and specialized titles. The Complete Plan also includes advanced features like Premium Read Aloud and Research Assistant.
Both plans are available with monthly, semester, or annual billing cycles.
We are an online textbook subscription service, where you can get access to an entire online library for less than the price of a single book per month. With over 1 million books across 1000+ topics, we’ve got you covered! Learn more here.
Look out for the read-aloud symbol on your next book to see if you can listen to it. The read-aloud tool reads text aloud for you, highlighting the text as it is being read. You can pause it, speed it up and slow it down. Learn more here.
Yes! You can use the Perlego app on both iOS or Android devices to read anytime, anywhere — even offline. Perfect for commutes or when you’re on the go.
Please note we cannot support devices running on iOS 13 and Android 7 or earlier. Learn more about using the app.
Yes, you can access The Green Book of Mathematical Problems by Kenneth Hardy,Kenneth S. Williams in PDF and/or ePUB format, as well as other popular books in Mathematics & Linear Algebra. We have over one million books available in our catalogue for you to explore.

Information

THE SOLUTIONS

It seemed that the next minute
they would discover a solution.
Yet it was clear to both of them
that the end was still far, far off,
and that the hardest and most complicated
part was only just beginning.
Anton Chekhov
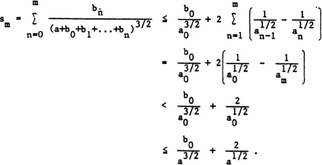
1. If {bn: n = 0, 1, 2, . . .} is a sequence of non-negative real numbers, prove that the series
image
converges for every positive real number a.
Solution: For a > 0 we set
image
so that
image
As bn ≥ 0 we have, for n ≥ 1,
image
Now, for n ≥ 1, we may deduce that
image
Hence, for m ≥ 1, we have
image
As the partial sums sm of (1.0) are bounded, the infinite series (1.0) converges for every a > 0.
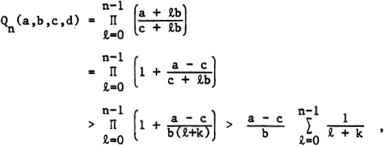
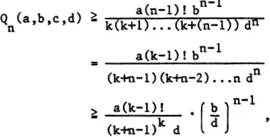
2. Let a,b,c,d be positive real numbers, and let
image
Evaluate the limit
image
.
Solution: Considering the five cases specified in THE HINTS, we show that
image
We set
image
, so that c < kd.
(a) When b > d, as c + jd < (j + k)d, we have for n ≥ k
image
which tends to infinity as n tends to infinity, showing that L = + ∞,
(b) When b = d and a > c we have
image
which tends to infinity as n tends to infinity since the h...

Table of contents

  1. Cover
  2. Title Page
  3. Copyright Page
  4. Preface
  5. Dedication
  6. Contents
  7. Notation
  8. The Problems
  9. The Hints
  10. The Solutions
  11. Abbreviations
  12. References