
- 244 pages
- English
- ePUB (mobile friendly)
- Available on iOS & Android
eBook - ePub
About this book
This book provides an authoritative and comprehensive source of information on the biochemical an metabolic aspects of digestion and absorption of different dietary fats and other lipids, with minimal discussion of the physical chemistry of the process, which has been covered in great detail in previous reviews. It is intended for both researchers and practitioners in the biomedical field who require detailed knowledge of the biomedical and metabolic transformations involed in the intestinal digestion and resynthesis of dietary fats and other lipids.
Tools to learn more effectively

Saving Books

Keyword Search

Annotating Text

Listen to it instead
Information
Chapter 1
The Absorption of Cholesterol and Plant Sterols by the Intestine
Peter Child
Table Of Contents
- Introduction
- Overview of the Characteristics of Sterol Absorption
- Chemical Structures
- Overview of Sterol Absorption In Vivo
- Dietary Factors Influencing Cholesterol Absorption
- Triacylglycerols
- Bile Salts and Other Detergents
- Fiber and Lipid Binding Agents
- Miscellaneous Dietary Factors
- Plant Sterols and Other Sterol Derivatives
- Relative Rates of Absorption of Cholesterol Analogs
- In-Detail Examination of the Individual Steps
- Events Occurring in the Intestinal Lumen
- Luminal Events Influencing the Absorption of Cholesterol
- Luminal Events Influencing the Selective Absorption of Cholesterol Analogs
- Luminal Events Bearing on the Hypocholesterolemic Effect of Plant Sterols
- Membrane Events
- Experiments with Purified Brush Border Membranes
- Energy Requirements
- Membrane Components Involved
- Cytosolic Events
- Sterol Esterification
- The Enzymes Involved
- Esterification and the Hypocholesterolemic Effect of Plant Sterols
- Role of Esterification in the Selective Absorption of Cholesterol Analogs
- Mechanistic Aspects of Intestinal Sterol Absorption
- Initial Uptake to Lymph Delivery
- The Preferential Absorption of Cholesterol over Other Analogs
- Hypocholesterolemic Effects of Plant Sterols
- Summary and Conclusions
Acknowledgments
References
I. Introduction
Cholesterol, a 27-carbon alcohol present in all mammalian tissues, plays an essential role in both health and disease. It is a major structural component of mammalian membranes and is the direct precursor of both bile acids and steroid hormones.
Despite its essential and ubiquitous nature, excessive accumulations of cholesterol in the blood and vascular tissue are implicated in the genesis of atherosclerosis. Accumulation of plasma cholesterol arising from dietary excesses gives rise to the largest group of hypercholesterolemics and includes most patients with atherosclerosis. Because there is ample evidence to suggest that the levels of plasma cholesterol are determined, in part, by the intestinal absorption of dietary sterol, an understanding of the manner in which cholesterol is absorbed is of great clinical importance.
One of the first direct studies of cholesterol absorption was carried out in 1930 by Schonheimer and co-workers.1 In this study, they fed cholesterol to mice and found that the liver sterol content increased following the meal. When sitosterol, or its 22,23-unsaturated analog, stigmasterol was given, however, the liver sterol did not rise as it had done with cholesterol. This experiment established two major facets of the metabolism of sterols: (1) dietary sterol is absorbed and is able to influence hepatic sterol content, and (2) dietary sitosterol is handled differently than cholesterol.
In the 50 years that have passed semical studies of cholesterol galince the publication of that report, our knowledge of sterol absorption has expanded tremendously. The general sequence of events has been defined and the poor absorbability of sitosterol has been thoroughly documented. However, while it is safe to say that we know the overall sequence of events in the absorptive process, there is no part of which we have a complete mechanistic understanding. Nevertheless, much of the published work contains information contributing to such an understanding. It is the function of this chapter to review the evidence contained in such works in an attempt to define the rate-limiting steps in the absorptive process, the factors influencing absorption, and the molecular interactions involved. The review will concentrate on literature published since 1981, at which time two major monographs23 on the subject appeared. Where possible, however, references prior to this period will be included to provide appropriate historical support and balance for the arguments.
II. Overview of the Characteristics of Sterol Absorption
A. Chemical Structures
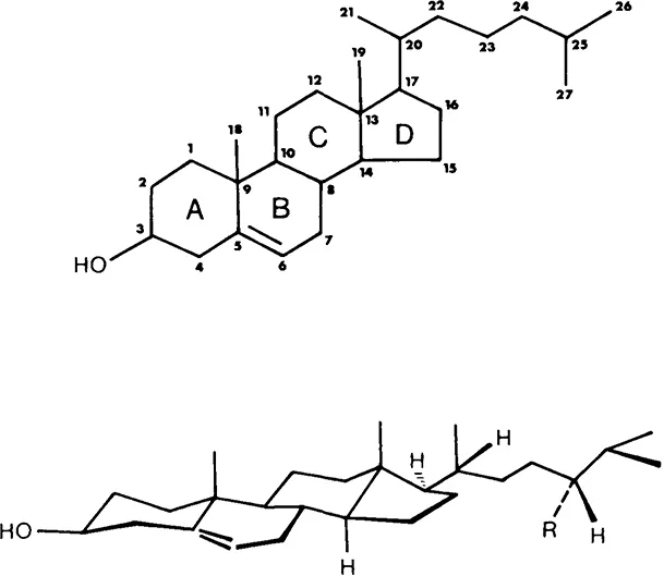
The most common dietary sterols are cholesterol and the plant sterols, campesterol and sitosterol. They are identical to each other with the exception of the substituents at C24 of the side chain. Their structure, shown in Figure 1, consists of four fused rings labeled A, B, C, and D and having the numbering system indicated.4 The C/D ring junction is characterized by the trans orientation of the proton at position 14 relative to the methyl group at position 19. This orientation is clearly evident in the lower figure. The side chain, attached to ring D, is oriented ci’s to the same methyl group. The sterols also possess a double bond between carbons 5 and 6, and a hydroxyl group at position 3 (β-orientation).
Sitosterol differs from cholesterol in the presence of an ethyl group at C24 of the side chain. Sitosterol derived from soybeans, a common dietary source, is exclusively the 24-α-ethyl isomer of cholesterol.5 This sterol, often referred to as β-sitosterol, will be called simply sitosterol in this report.

Figure 1 The structure and numbering system of sterols. (Upper figure) Cholesterol structure shown with the conventional numbering system; (lower figure) approximate solution conformation of the sterol. R is a proton for cholesterol, a methyl group for campesterol, and an ethyl group in sitosterol. The R group is in the α-orientation, as are the protons at positions 14 and 17. The proton at position 20 is in the β-orientation. The hydroxyl group is equatorial.
The 24-methyl compound derived from soybeans has been shown by pNMR5 to be a roughly equimolar mixture of the α-(campesterol) and β-(dihydrobrassicasterol) epi-mers. Throughout this chapter the 24-methyl soy sterols will be referred to as campesterol for simplicity. Space-filling models of cholesterol and sitosterol are shown in Figure 2. It is evident from the upper structure that cholesterol has a generally cone-shaped form, the cross-sectional area of the side chain being smaller than that of the ring system. Sitosterol, on the other hand, is a more cylindrical shape by virtue of the extra ethyl group in the side chain.
B. Overview of Sterol Absorption In Vivo
The pathways of sterol transfer from intestinal lumen to the lymph are generally similar to those of glycerol lipids, although the rates of transport differ considerably. Several good reviews of these pathways have been put forward recently2,6,16 and therefore, only a brief overview of the process will be given in this survey.
The absorption of the bulk of lipid material in mammals occurs in the small intestine. The small intestine may be operationally divided into three regions: the duodenum (proximal segment), the jejunum (from the duodenum to the halfway point), and the ileum (distal half). The absorptive surfaces of these regions of the gastrointestinal tract display a multitude of villar projections, which are covered with a single layer of villus epithelial cells. These absorptive cells are shed into the intestinal lumen when they become damaged and are replaced by cells derived from the crypt regions found at the base of each villus. Thus, a complete turnover of the villus cell population occurs every 48 hr. The villus cells themselves are of a cylindrical shape and are capped with a brush border membrane. When the cells are in their functional orientation within the mucosal wall only the brush borders are exposed to the luminal contents and provide the actual absorptive surface of the villi. As with the villi themselves, the brush border invaginations increase the absorptive surface area. More comprehensive reviews of intestinal morphology may be found elsewhere.7,14,17

Figure 2 Space-filling models of cholesterol and sitosterol. (Upper figure) Cholesterol; (lower figure) sitosterol. In both structures the side chains lie to the right-hand side and the hydroxyl group lies to the far left. The two methyl groups characteristic of the β-face of the four-membered ring system are clearly visible in the upper left and upper center of each model.
Sterols, along with the glycerolipids, are absorbed primarily by the proximal V3 of the small intestine. This has been demonstrated in man following intubation experiments18 and has also been shown in the rat,19,20 rabbit, and guinea pig.21 By feeding a radioactive dose of cholesterol and sitosterol to a rat, Sylven and Nordstrom20 further localized the absorptive event to the tip of the intestinal villi. Pieces of intestinal tissue were frozen and cross sectioned in a cryostat after a meal of labeled sterol. The label was localized exclusively in the upper portions of the villi.
The greater absorption in the jejunal region of the small intestine may be expected from its position in the intestinal tract, but Thompson22 has also reported structural differences between the jejunal and ileal epithelium. Using segments of isolated rabbit intestinal tissue, he was able to show a reduced cholesterol uptake in ileal sections compared to those derived from the jejunum. The basis for the reduction was suggested to arise from the reduced absorptive surface area of the ileal secti...
Table of contents
- Cover Page
- title
- copy
- preface
- fmchapter
- ack
- fmchapter
- Preface
- Acknowledgments
- 1 The Absorption of Cholesterol and Plant Sterols by the Intestine
- 2 Intestinal Absorption of Bile Acids
- 3 Absorption of Fat-Soluble Vitamins
- 4 Digestion and Absorption of Fat-Soluble Xenobiotics
- 5 Digestion and Absorption of Glyceride Analogs
- 6 Effect of Dietary Fat on Formation and Secretion of Chylomicrons and other Lymph Lipoproteins
- 7 The Effect of Fat-Soluble Xenobiotics on Intestinal Lipid, Apoprotein, and Lipoprotein Synthesis and Secretion
- 8 Regulation of Fat Digestion and Absorption in the Small Intestine
Frequently asked questions
Yes, you can cancel anytime from the Subscription tab in your account settings on the Perlego website. Your subscription will stay active until the end of your current billing period. Learn how to cancel your subscription
No, books cannot be downloaded as external files, such as PDFs, for use outside of Perlego. However, you can download books within the Perlego app for offline reading on mobile or tablet. Learn how to download books offline
Perlego offers two plans: Essential and Complete
- Essential is ideal for learners and professionals who enjoy exploring a wide range of subjects. Access the Essential Library with 800,000+ trusted titles and best-sellers across business, personal growth, and the humanities. Includes unlimited reading time and Standard Read Aloud voice.
- Complete: Perfect for advanced learners and researchers needing full, unrestricted access. Unlock 1.4M+ books across hundreds of subjects, including academic and specialized titles. The Complete Plan also includes advanced features like Premium Read Aloud and Research Assistant.
We are an online textbook subscription service, where you can get access to an entire online library for less than the price of a single book per month. With over 1 million books across 990+ topics, we’ve got you covered! Learn about our mission
Look out for the read-aloud symbol on your next book to see if you can listen to it. The read-aloud tool reads text aloud for you, highlighting the text as it is being read. You can pause it, speed it up and slow it down. Learn more about Read Aloud
Yes! You can use the Perlego app on both iOS and Android devices to read anytime, anywhere — even offline. Perfect for commutes or when you’re on the go.
Please note we cannot support devices running on iOS 13 and Android 7 or earlier. Learn more about using the app
Please note we cannot support devices running on iOS 13 and Android 7 or earlier. Learn more about using the app
Yes, you can access Fat Absorption by Arnis Kuksis in PDF and/or ePUB format, as well as other popular books in Medicine & Nutrition, Dietics & Bariatrics. We have over one million books available in our catalogue for you to explore.