The 10th International Conference on Human-Computer Interaction, HCI International 2003, is held in Crete, Greece, 22-27 June 2003, jointly with the Symposium on Human Interface (Japan) 2003, the 5th International Conference on Engineering Psychology and Cognitive Ergonomics, and the 2nd International Conference on Universal Access in Human-Computer Interaction. A total of 2986 individuals from industry, academia, research institutes, and governmental agencies from 59 countries submitted their work for presentation, and only those submittals that were judged to be of high scientific quality were included in the program. These papers address the latest research and development efforts and highlight the human aspects of design and use of computing systems. The papers accepted for presentation thoroughly cover the entire field of humancomputer interaction, including the cognitive, social, ergonomic, and health aspects of work with computers. These papers also address major advances in knowledge and effective use of computers in a variety of diversified application areas, including offices, financial institutions, manufacturing, electronic publishing, construction, health care, disabled and elderly people, etc.

eBook - ePub
Human-Centered Computing
Cognitive, Social, and Ergonomic Aspects, Volume 3
- 1,504 pages
- English
- ePUB (mobile friendly)
- Available on iOS & Android
eBook - ePub
Human-Centered Computing
Cognitive, Social, and Ergonomic Aspects, Volume 3
About this book
Trusted by 375,005 students
Access to over 1 million titles for a fair monthly price.
Study more efficiently using our study tools.
Information
Section 1
Ergonomics and Health Aspects
Position of the arm and the musculoskeletal disorders
Arne AarÄs | Gunnar Horgen |
Abstract
In a laboratory study, postural load during Visual Display Unit (VDU) work was measured by electromyography (EMG). The load on musculus trapezius and rector spina lumbalis (L3 level) was significantly less in sitting with supported forearm on the tabletop compared to sitting without forearm support. In another laboratory study, the muscle load of the extensors of the forearm was significantly less when working with a neutral position of the forearm versus a pronated one, when performing mouse work. This was true for the extensor digitorum communis and extensor carpi ulnaris.
In a prospective field study, two intervention groups of approximately 50 VDU workers were given possibility to support their whole forearms on the tabletop. These groups reported significantly reduction of shoulder pain after two years while only small changes were observed in the control group. Further, after two years the shoulder pain was reported significantly higher in the control group compared with the two intervention groups.
In another prospective field study, one intervention and one control group of approximately 30 VDU workers supported their forearms on the tabletop when performing mouse work. The intervention group who operated the mouse with a neutral position of the forearm reported significantly less pain in the upper part of the body compared with those who worked with a pronated forearm after six months.
1 Introduction
This paper is a summary of several papers published in different journals.
The position of the arm seems important for developing of musculoskeletal disorders. The following three conditions regarding arm position must be considered in order to reduce such discomfort.
- The position of the upper arm relative to vertical.
- Supporting the forearm.
- Position of the forearm.
2 Laboratory studies
2.1 Postural load for various work posture
In a laboratory study, postural load was compared in various work postures for VDU workers. This was done during data entry work with and without possibility to support the forearm on the tabletop. The muscle load on Trapezius and Erector spina lumbalis was significantly less when sitting with supported forearms compared to sitting and standing without support. The static load of the upper trapezius when using keyboard was significantly less when sitting with supported forearms, 0.8% Maximum Voluntary Contraction (MVC) compared with sitting without support 3.6% MVC, as group mean values, (AarÄs, Fostervold, Ro, Thoresen & Larsen, 1997).
2.2 Postural load of the forearm in neutral and pronated position
Another laboratory study was performed in order to compare the muscle load of the extensors of the forearm when operating two different types of computer mouse. One mouse was operated with a pronated forearm while the other could be operated with the forearm in a neutral position. The muscle load of the forearm was significantly less when using the forearm in a more neutral position compared with a pronated one. Regarding extensor digitorum communis the median values for the group were 4.5% MVC versus 10.8% MVC, (AarÄs & Ro, 1997).
3 Prospective field studies
3.1 The shoulder moment and the musculoskeletal pain
A field study of the position of the upper arm and the sick leave due to musculoskeletal illness was performed in an assembly plant manufacturing parts for telephone exchanges. Ergonomic improvement of the work stand gave the operators greater flexibility to vary the work posture. This lead to a reduction of trapezius load, measured by EMG from approximately 4.5% MVC to approximately 2% MVC as group mean values, when comparing before and after the intervention. Survival statistics of workers employed before and after implementation of the ergonomic adaptations, documented a significant less risk to record a musculoskeletal sick-leave after intervention versus before (p<0.01). This significant difference was true for different times after employment until two years, (AarÄs & Westgaard, 1987). Figure 1.

Figure 1: Survival statistics of workers employed before (solid line) and after (broken line) implementation of ergonomic intervention at the STK Kongsvinger plant. The two curves indicate the probability of not recording a musculoskeletal sick leave at different times after employment. Workers employed before the ergonomic intervention, were predominantly workers at the 8 B and cable making systems, after redesign at the 10 C and 11 B systems.
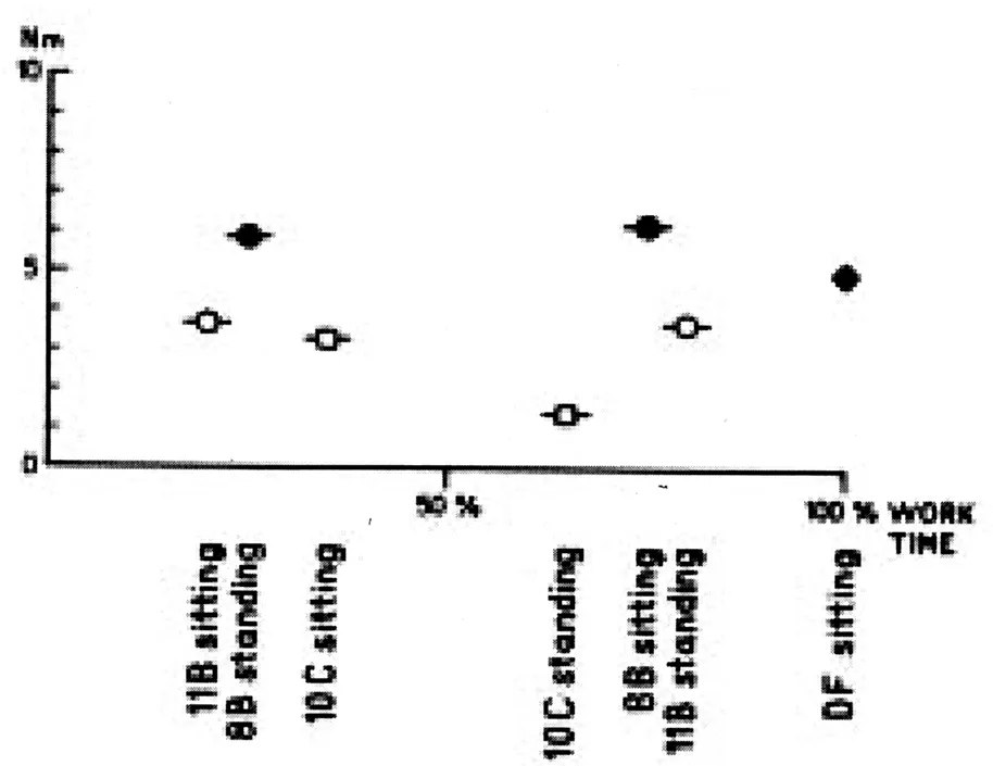
Further, a reduction in postural load was find by calculating the shoulder moment during work. The angles of the upper arm in terms of flexion/extension and abduction/adduction were measured by inclinometers. In addition, video recordings were used for estimating the position of the forearm in order to obtain the shoulder moment. Those groups of workers with a high shoulder moment, 5 Newton meter (NM) and 6.3 NM, had significantly more sick-leave due to musculoskeletal illness compared with those workers with shoulder moment between 1.4 NM and 3.7 NM, (AarÄs, 1994). Figure 2.

Figure 2: The static shoulder moment is calculated on the basis of the group median value of postural angles of the upper arm and flexion in the elbow joint for different work systems on the y-axis. The time in the sitting and standing position as a percentage of total work time is indicated on the x-axis.
Those workers with a median flexion of the upper arm of 15° and a median arm abduction of 10° with low external load in hand, were beginning to approximate the sick-leave for a group of office workers without continuous work load.
3.2 Supporting the forearm and musculoskeletal pain
Another field study was carried out giving the VDU workers possibility to support their forearms performing software engineering. The same subjects were compared regarding intensity of shoulder pain 2 years after versus before intervention. The average intensity of shoulder pain during the last six months, showed a significant reduction in one of the intervention group (p=0.02) and a clear tendency to reduction in the other intervention group (p=0.08). No significant changes were found in the control group (p=0,92). The two intervention groups reported significantly lower intensity of shoulder pain compared with the control group after two years of the study.
3.3 Supporting the forearm in a neutral position and musculoskeletal pain
In a third field prospective study of VDU workers with pain, the development of pain was evaluated when using a mouse with a more neutral position of the forearm (intervention group) compared with a traditional mouse with a more pronated forearm (control group). After six months, a significant reduction was reported in the intervention group regarding pain intensity of wrist/hand, forearm, shoulder and neck (p<0.009). The control group continues with the traditional mouse, reported only small changes in the pain level (p>0.24). In the intervention group the forearm pain was reduced as a group mean with 95% confidence intervals from 52.9 mm (42.7-63.0) to 32.8mm (3.6 â 42.0) on a 100 mm Visual Analog Scale (VAS). No such changes were reported in the control group 44.6 (33.0 â 56.1) to 45.3 (34.4 â 56.4). After 6 months the former control group got the same intervention as the intervention group, allowing them to work with a more neutral positions of the forearm. After 12 months a significant reduction of intensity of the forearm pain was reported in the former control group. By inspection of the mean values of the pain from one to three years, no relevant changes seem to have appeared, (AarĂ„s, Dainoff, Ro & Thoresen, 2002). Figure 3.

Figure 3: The intensity of average forearm pain during the last 6 months. The values are given as group mean with 95% confidence interval on VAS.
4 Conclusion
The results from the field studies supported the results from the laboratory studies regarding the importance of working with supported forearm in a neutral position.
Without supporting of the forearm, the position of the upper arm should be as close to the vertical position as possible.
5 References
- AarÄs, A. (1994). The impact of ergonomic intervention on individual health and corporate prosperity in a telecommunications environment. Ergonomics, vol. 37, no. 10, 1679-1696.
- AarÄs, A., Fostervold, K. I., Ro, O., Thoresen, M. & Larsen, S. (1997). Postural load during VDU work: a comparison between various work postures. Ergonomics, Vol. 40, No. 11, 1255-1268.
- AarĂ„s, A. & Ro, O. (1997). Work load when using âmouseâ as input device. A comparison between a new developed âmouseâ and a traditional âmouseâ design. International Journal Human Computer Interaction, Volume 9, No. 2.
- AarÄs, A. & Westgaard, R. H. (1987). Further studies of postural load and musculoskeletal injuries of worker at an electro-mechanical assembly plant. Applied Ergonomics 18,3, 211-219.
- AarÄs, A., Horgen, G., BjÞrset, H-H., Ro, O. & Thoresen, M. (1998). Musculoskeletal, visual and psychosocial stress in VDU operators before and after multidisciplinary ergonomic interventions. Applied Ergonomics, 29, 335-354.
- AarÄs, A., Dainoff, M., Ro, O. & Thoresen, M. (2002). Can a more neutral position of the forearm when operating a computer mouse reduce the pain level for Visual Display Unit operators? A prospective epidemiological intervention study: Part III. International Journal of Industrial Ergonomics 30/4-5, 307-324.
Physical Environments for Human Computer Interaction in Scandinavia
Steen Enrico Andersen
PLH architects, Dampfaergevej 10, DK-2100 Copenhagen Oe, Denmark
[email protected]
[email protected]
Abstract
Clear, innovative solutions for physical work environments, developed in collaboration with the end user, are the basis for a successful design. The userâs needs and the buildingâs functional requirements are transformed by the architect into space, material and light. Together with experts in the other building professions, architectural and technical solutions are developed which meet the userâs expectations as well as the architectâs professional standards.
1 Introduction
The architec...
Table of contents
- Cover
- Half Title
- Series Page
- Title Page
- Copyright Page
- Preface
- Table of Contents
- Section 1. Ergonomics and Health Aspects
- Section 2. Cognitive Ergonomics
- Section 3. Engineering Psychology
- Section 4. Online Communities, Collaboration and Knowledge
- Section 5. Applications and Services
- Section 6. Design & Visualisation
- Section 7. Virtual Environments
- Author Index
- Keyword Index
Frequently asked questions
Yes, you can cancel anytime from the Subscription tab in your account settings on the Perlego website. Your subscription will stay active until the end of your current billing period. Learn how to cancel your subscription
No, books cannot be downloaded as external files, such as PDFs, for use outside of Perlego. However, you can download books within the Perlego app for offline reading on mobile or tablet. Learn how to download books offline
Perlego offers two plans: Essential and Complete
- Essential is ideal for learners and professionals who enjoy exploring a wide range of subjects. Access the Essential Library with 800,000+ trusted titles and best-sellers across business, personal growth, and the humanities. Includes unlimited reading time and Standard Read Aloud voice.
- Complete: Perfect for advanced learners and researchers needing full, unrestricted access. Unlock 1.4M+ books across hundreds of subjects, including academic and specialized titles. The Complete Plan also includes advanced features like Premium Read Aloud and Research Assistant.
We are an online textbook subscription service, where you can get access to an entire online library for less than the price of a single book per month. With over 1 million books across 990+ topics, weâve got you covered! Learn about our mission
Look out for the read-aloud symbol on your next book to see if you can listen to it. The read-aloud tool reads text aloud for you, highlighting the text as it is being read. You can pause it, speed it up and slow it down. Learn more about Read Aloud
Yes! You can use the Perlego app on both iOS and Android devices to read anytime, anywhere â even offline. Perfect for commutes or when youâre on the go.
Please note we cannot support devices running on iOS 13 and Android 7 or earlier. Learn more about using the app
Please note we cannot support devices running on iOS 13 and Android 7 or earlier. Learn more about using the app
Yes, you can access Human-Centered Computing by Don Harris,Vincent Duffy,Michael Smith,Constantine Stephanidis in PDF and/or ePUB format, as well as other popular books in Technology & Engineering & Industrial Health & Safety. We have over one million books available in our catalogue for you to explore.