First published in 1976, this A Theory of Group Structures is a study of the aggregation of individuals into groups, which cuts across many different social sciences. Volume two examines a sequence of twelve experiments and reports empirical tests of the theory presented in volume one. The result is a major revision of existing research into problems of group structure and a case study in paradigm development. This book will be of interest to students of all social sciences.

eBook - ePub
A Theory of Group Structures
Volume II: Empirical Tests
- 233 pages
- English
- ePUB (mobile friendly)
- Available on iOS & Android
eBook - ePub
About this book
Trusted by 375,005 students
Access to over 1.5 million titles for a fair monthly price.
Study more efficiently using our study tools.
Information
CHAPTER 16
A TEST FOR THE VALIDITY OF THE AXIOM OF CONSUMMATION AND A MODEL FOR INTERPERSONAL HOSTILITY
The experiment reported in Chapter 15 indicated two cases where the confederates intervened after the three subjects had already adopted another subject as the hub of a wheel for solving A problems. In both cases, there was evidence of hostility towards the confederates when they preempted the adoption. Axiom C2 of the behavioral constitution (cf. Chapter 7) states that an adopted structure will be consummated (or implemented). Therefore, the actions of the confederates that prevented consummation violated the behavioral constitution. Violating an axiom of the behavioral constitution breaks a norm if the axiom is indeed valid. The breaking of this norm could have inadvertently created a conflict that resulted in the hostility towards the confederates.
The subject of this chapter is the empirical investigation of the validity of the Axiom of Consummation. The experiment attempts to reproduce the conditions leading to the formation of hostility from the Mackenzie-Silcox experiment. By deliberately preventing the consummation of an adopted structure and controlling the types of messages from two confederates, we seek to validate the Axiom of Consummation by creating interpersonal hostility that is directed initially towards the person causing the direct violation. A control experiment where the Axiom of Consummation has not been violated uses exactly the same message sequences. The result should be interpersonal hostility directed initially towards the other confederate.
This experiment, which I shall call the Mackenzie-Beynon experiment, was conducted with Mr. Beynon at the University of Waterloo. The design of the experiment and the measure of interpersonal hostility was jointly planned. This experiment served as the basis for Mr. Beynon’s MASc thesis in the Department of Management Sciences.
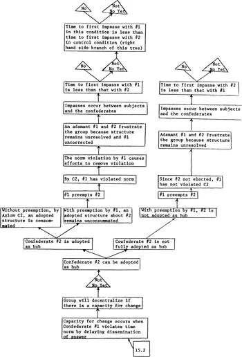
Because this experiment grew out of the few anomalies in the Mackenzie-Silcox experiment, the strong inference tree grows outward and upward from one of the higher branches of Figure 15.2. The strong inference tree for this experiment is given in Figure 16.1. After presenting the strong inference tree, I shall discuss the measure of interpersonal hostility as a dependent variable. The development of the measure of interpersonal hostility and the use of the Mackenzie-Beynon experiment to validate it has led to the start of an entirely different strong inference tree, as shown later in Figure 16.3.
Recall that the Mackenzie-Silcox experiments made a series of ex ante predictions regarding changes in structure based upon the behavioral constitution and the mapping function when the groups solved sequences of A-type problems. It was demonstrated that, by having the hub delay emission of the answer, we could get one of the confederates adopted as the hub of a wheel and then cause the group to decentralize. This delay created a capacity for change and the result was the temporary decentralization of the group. It was also shown that, following the delay by Confederate #1 (Blue), it was always possible to get Confederate #2 (Orange) adopted as the new hub, replacing #1. Given that #2 was adopted without preemption, then, by Axiom C2 a wheel structure will be consummated with #2 as its hub. This branch is indicated by the extreme left hand side branch of Figure 16.1. Our main interest is the middle branch of Figure 16.1.
Suppose Confederate #2 is adopted as hub and Confederate #1 preempts the adopted structure about #2. Then the wheel about #2, while adopted, is not consummated. This action by #1 violates the Axiom of Consummation. If the behavioral constitution, which is merely a “they act as if” type of explanation, is “real,” it probably represents a norm. The preemption action by #1 would then violate this norm. One would expect efforts to remove the violation. Normally, one might expect Confederate #1 to plead a version of mea culpa, apologize, amend his ways by conforming overtly, and see the restoration of #2. If #1 did not conform even after attempts by the others, one would not be surprised if, ceteris paribus, the group began to treat #1 as a deviant and eventually ostracized him. However, this group cannot get along without #1’s data and cooperation and it cannot get rid of him. In these circumstances, if both confederates remain adamant and each refuses to yield to the other (or to any other subject), the group cannot proceed. The wasted time is costing money.
One would expect that efforts to resolve the dilemma would be initially directed to the norm violator, Confederate #1. His unyielding stubbornness could cause message exchanges that result in an impasse between himself and at least one other subject. Later, the subjects would be likely to form impasses with the non-violator, Confederate #2. I expect that the time to the first impasse of a subject with #1 will be less than the time to the first impasse with Confederate #2.
These manipulations raise the question of whether the resulting pattern of impasses and hostility is due to the violation of the Axiom of Consummation or to the truculence of the Confederates. A control experiment, whose strong inference branch is the right hand side branch of Figure 16.1, attempts to answer this question. It proceeds as in the main experiment, except that Confederate #2 is not fully adopted as the hub when we release Confederate #1. #1 preempts the election of #2. Since #2 was never adopted, #1 has not violated the Axiom of Consummation. Both confederates then engage in behavior that is choreographed precisely the same as in the main experiment. They each send the same messages at exactly the same intervals as in the main experiment. Their adamant behavior frustrates the group because the structure remains unresolved. Impasses begin to occur between the subjects and the confederates. This time, however, the “usurper” (#2) is seen as the cause of the group’s difficulties. The time to the first impasse between #2 and any subject should be less than the time to the first impasse between #1 and a subject.
Because the main experiment resulted in a deliberate violation of the Axiom of Consummation and both experiments used stubborn confederates and the same message sequences, the difference between the two experiments is the norm violation. One would expect, then, that the time to the first impasse between a subject and #1 in the main experiment will be less than the time to the first impasse between a subject and #2 in the control experiment. This prediction is shown at the top of the middle branch in Figure 16.1.

Figure 16.1 Strong Inference Tree for Validity of Behavioral Constitution
HOSTILITY
Conflict, frustration, fear, hostility, anger, instrumental and noninstrumental aggression, and violence are interrelated concepts that have been subjects for numerous scientific, philosophical, and rhetorical discussions. The early work by Dollard, Doob, Miller, Mowrer, and Sears (1939) followed by the series of efforts by Berkowitz (1960a, 1960b, 1962, 1969), the work b...
Table of contents
- Cover
- Half Title
- Title Page
- Copyright Page
- Original Copyright Page
- Dedication
- Table of Contents
- PREFACE
- CHAPTER 11 A METHOD FOR STRONG INFERENCE
- CHAPTER 12 SOME BASIC RESULTS
- CHAPTER 13 CHANNEL PREFERENCES
- CHAPTER 14 GROUP PREFERENCES FOR TYPE OF STRUCTURE
- CHAPTER 15 EX ANTE TEST IMPLICATIONS OF THE THEORY
- CHAPTER 16 A TEST FOR THE VALIDITY OF THE AXIOM OF CONSUMMATION AND A MODEL FOR INTERPERSONAL HOSTILITY
- CHAPTER 17 SUMMARIZING THE EMPIRICAL WORK
- REFERENCES
- AUTHOR INDEX
- SUBJECT INDEX
Frequently asked questions
Yes, you can cancel anytime from the Subscription tab in your account settings on the Perlego website. Your subscription will stay active until the end of your current billing period. Learn how to cancel your subscription
No, books cannot be downloaded as external files, such as PDFs, for use outside of Perlego. However, you can download books within the Perlego app for offline reading on mobile or tablet. Learn how to download books offline
Perlego offers two plans: Essential and Complete
- Essential is ideal for learners and professionals who enjoy exploring a wide range of subjects. Access the Essential Library with 800,000+ trusted titles and best-sellers across business, personal growth, and the humanities. Includes unlimited reading time and Standard Read Aloud voice.
- Complete: Perfect for advanced learners and researchers needing full, unrestricted access. Unlock 1.5M+ books across hundreds of subjects, including academic and specialized titles. The Complete Plan also includes advanced features like Premium Read Aloud and Research Assistant.
We are an online textbook subscription service, where you can get access to an entire online library for less than the price of a single book per month. With over 1.5 million books across 990+ topics, we’ve got you covered! Learn about our mission
Look out for the read-aloud symbol on your next book to see if you can listen to it. The read-aloud tool reads text aloud for you, highlighting the text as it is being read. You can pause it, speed it up and slow it down. Learn more about Read Aloud
Yes! You can use the Perlego app on both iOS and Android devices to read anytime, anywhere — even offline. Perfect for commutes or when you’re on the go.
Please note we cannot support devices running on iOS 13 and Android 7 or earlier. Learn more about using the app
Please note we cannot support devices running on iOS 13 and Android 7 or earlier. Learn more about using the app
Yes, you can access A Theory of Group Structures by Kenneth Mackenzie,Kenneth D. Mackenzie in PDF and/or ePUB format, as well as other popular books in Sciences sociales & Recherche scientifique et méthodologie. We have over 1.5 million books available in our catalogue for you to explore.