Energy and Materials in Three Sectors of the Economy
eBook - ePub

Energy and Materials in Three Sectors of the Economy

A Dynamic Model with Technological Change as an Endogenous Variable

  1. 176 pages
  2. English
  3. ePUB (mobile friendly)
  4. Available on iOS & Android
eBook - ePub

Energy and Materials in Three Sectors of the Economy

A Dynamic Model with Technological Change as an Endogenous Variable

About this book

Originally published in 1979, this study develops a model that explains the rate of adoption of an innovation in an industry - i.e the impact of technological change upon the utilization of selected materials and energy resources in the steel, alluminium and metal can industries. Each of the three industries is examined and in subsequent chapters the model is developed, applied and evaluated.

Trusted byĀ 375,005 students

Access to over 1.5 million titles for a fair monthly price.

Study more efficiently using our study tools.

Information

Publisher
Routledge
Year
2017
Print ISBN
9781138502697
eBook ISBN
9781351383776

Chapter I

Introduction

1.1 Objectives
In view of the recent decline of the quality of various domestic energy and natural resources and the uncertain nature of the availability of foreign supplies, it is becoming increasingly important to be able to forecast more reliably the demand for energy and resources in the United States. This task has been made more difficult by the rapid change in energy and resource prices and in technologies. These changes have made it more difficult to measure the impact of alternative policy decisions on the current use of resources.
Since many resources such as oil, coal, steel, and aluminum are used as intermediate inputs in the industrial sector, input-output analysis is often used, in part, to make such forecasts. One of the major obstacles encountered is that it is not known how the input-output coefficients change over time; nor is it known how the coefficients are affected by changes in the prices of both the inputs and the outputs or how technological change affects the coefficients.
It is the latter upon which this dissertation focuses. The impact of technological change upon the utilization of selected materials and energy resources in the steel, aluminum, and metal can industries is examined in this study. Using the results obtained from this study, the relevant coefficients are then estimated.
The factors governing the discovery and rate of adoption of a new technology are varied and complex. A new technology may be developed by the industry, by another industry, or by an individual inventor outside of industry. The basic oxygen furnace for steel making for example was developed by a small steel manufacturer in Austria. Whereas the draw and iron method of making beverage cans was developed by the beer industry.
Technological change can refer to the introduction of a new product, e.g. the electric light bulb, a new process, e.g. the basic oxygen furnace, or small improvements in existing production practices. The former results in the improvement of the quality of consumption. The latter two forms of technological change occurring in the production process are usually measured as changes in productivity. In Johansen’s terminology, embodied technological progress is defined as a favorable shift in the ex-ante production function which leaves the efficiency of the already established production units unaffected [12; 145]. This type of technological change affects the short-run macro production function only by influencing the distribution of the new capacity. Improvements in production practices don’t require new investment and thus will not affect existing facilities. This change will cause a shift in the short-run macro production function even though no new investment has taken place. This form of technological progress is defined as disembodied technological change. Mansfield refers to this as a change in technique rather than a change in technology [6; 22].
It is possible to separate the embodied effect from the disembodied effect. Belinfante [13], has done this for the steam electric power generating industry. To do this, he had to use the vintage of each power plant and the amount of investment in plant equipment by plant for each year. This type of data is not available for most industries and in particular the industries we have chosen to study. Furthermore Belinfante doesn’t try to explain technological change, rather he merely attempts to measure it.
In view of this we have decided not to attempt to explain disembodied technological change, but to concentrate on embodied progress.
Our major concern is to develop a model that would explain the rate of adoption of an innovation in an industry. Of great interest are those innovations that have a major impact on the industry, e.g. the introduction of nuclear power plants into the electric utility sector, or the basic oxygen furnace in the steel industry. Such changes have a significant effect on the materials and energy consumed by those industries. Smaller innovations of the sort that tend to characterize technological change in the automobile industry may have a significant impact over the long run in the case where there are many such small innovations. The data needed to explain such innovations are generally not available. In the instances where the innovation has a major impact on the industry, some technical data on the innovation is generally available, although the quality of that data will vary among industries. Aluminum and steel were chosen because there is a significant interplay between the two. After World War II aluminum replaced steel as the skin for many aircraft. In the late fifties steel replaced aluminum. During the 1960’s and early 1970’s there was a shift to aluminum away from steel in both cans and automobile engines. However there is now a shift back to steel engine blocks and steel plate cans. The use of coal in steel making has also been changing with the introduction of the basic oxygen furnace and the electric furnace.
There has been some controversy as to the effect of changes in factor prices on the direction of technological change. The dominant view in economics has been that firms wish to save the total cost for a given output. At the competitive equilibrium each factor is being paid its marginal value product. Thus all factors are equally expensive to firms and there is no incentive for firms to search for techniques to save a particular factor.
Ruttan [11], on the other hand, argues that factor prices will influence the type of technological change that takes place. Furthermore as prices change, firms are not limited to simply allocating resources among known technical alternatives. Instead they can allocate resources toward the development of new technologies which expand the opportunity to substitute less expensive factors for more expensive factors.
The situation in the industries we have chosen to study varies from industry to industry. The basic oxygen furnace (B.O.F.) is being adopted because of lower production and capital costs, a faster production rate, and higher product quality [8; 71]. Thus it would appear that the adoption of the B.O.F. is due more to a desire to reduce total costs and less to the relative difference between the prices of the factors.
Technological change in the aluminum industry, on the other hand, seems to support the relative price hypothesis. Since the cost of electricity may run as high as two-thirds of the total cost, aluminum companies have expended much effort to minimize the cost of the energy input. Historically this was accomplished by locating in areas of the country where electricity was cheap and by maintaining a research program to develop new technologies that would require less electricity. Here the desire to reduce the use of a relatively expensive factor has determined the direction of technological change.
In the can manufacturing industry the goal has been to reduce the amount of tin used in tinplate, find substitute materials for tinplate, and improve the can manufacturing process [14]. The major developments in the can manufacturing industry have come from outside the industry. The impact extrusion technology was developed by the aluminum industry. The adaptation of the Drawn and Iron Technology to cans was made by a beer company. The reduction of tin in the tinplate and the development of thinner tinplate and tinless plate came from the steel industry. While the can manufacturing industry had long desired to be less dependent on insecure supplies of tin, most of the reduction in the use of tin in tinplate after World War II came about as a result of the competition between the aluminum and steel industries. Here the impetus for technological change came about as a result of non-economic factors or of economic factors outside the industry.
1.2 Updating
Since it usually takes 7-10 years to prepare an input-output table, it has become necessary to develop procedures, albeit mechanical, to update the tables to the current year in order to use them in any meaningful way. Several updating methods have been developed. The two most widely used are the RAS method and the Linear Programming method.
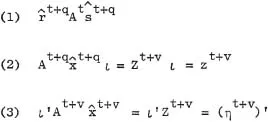
The RAS method is due to Stone and Brown and is based on two assumptions. The first is that the elements of each row of the input-output matrix between the year t and the year t + v are affected by the same multiplicative factor ri+v which can be thought of as the ā€œdegree of absorptionā€ or ā€œdegree of substitutionā€ measured by the extend to which commodity i has been substituted for other commodities as an intermediate input into industrial process. The second is that the elements of each column of the input-output matrix are simultaneously affected by a column factor, sj+v , which can be thought of as the ā€œdegree of fabricationā€ mea sured by the extent to which commodity j has come to absorb a greater or smaller ratio of intermediate to primary inputs in its fabrication. Other than these factors the technical coefficients are assumed to be constant. If At is the input-output matrix for the year t than r^t+q Ats^t+q would represent an approximation of the input-output matrix for the year t+q, At+q, where
t+q, ŝ^t+q are diagonal matrices of correction factors. The name of the method ā€œRASā€ is obtained from the formulation of the approximation
Aŝ for the updated matrix.
Let
be the transaction matrix for the year t and zt = Zt ι is the intermediate demand vector for the year t where ι is the unit column vector.
Let (Ī·t)’ = ι’Zt is the intermediate input vector.
Let xt be the total output vector for the year t and
t be the diagonal matrix with elements xt on the diagonal. In order to find
t+V, ŝt+V, we consider the following for the update year t + v
substituting (1) for At+v we have
But (4) and (5) is a non-linear system of equations in
t+v and ŝt+v. They are also not independent since ι ā€˜Zt+v = ι’ηt+v. Thus
t+v and ŝt+v can only be determined up to a multiplicative scalar. If
and ŝ satisfy (4) and (5), then do so Ī»
and (1/Ī»)ŝ. In order to obtain a solution, an iterative procedure is used. First we set s^t+v equal to the unit matrix and solve (4) for r^ such that (1) r^t+v At x^t+v ι = z^t+q where (1) r^t+v is the solution for r^t+v of the first itera...

Table of contents

  1. Cover
  2. Half Title
  3. Title Page
  4. Copyright Page
  5. Table of Contents
  6. ACKNOWLEDGMENTS
  7. LIST OF TABLES
  8. LIST OF FIGURES
  9. CHAPTER I. INTRODUCTION
  10. CHAPTER II. THE STEEL INDUSTRY
  11. CHAPTER III. THE ALUMINUM INDUSTRY
  12. CHAPTER IV. THE CAN MANUFACTURING INDUSTRY
  13. CHAPTER V. A RECURSIVE PROGRAMMING MODEL OF INVESTMENT AND TECHNOLOGICAL CHANGE IN AN INPUT-OUTPUT FRAMEWORK
  14. CHAPTER VI. RESULTS AND EVALUATION
  15. CHAPTER VII. CONCLUSIONS AND EXTENSIONS
  16. Appendix A. Steel Industry Data
  17. Appendix B. Aluminum Industry Data
  18. Appendix C. Can Manufacturing Data
  19. Appendix D. Model Results
  20. Appendix E. Input-Output Tables
  21. BIBLIOGRAPHY

Frequently asked questions

Yes, you can cancel anytime from the Subscription tab in your account settings on the Perlego website. Your subscription will stay active until the end of your current billing period. Learn how to cancel your subscription
No, books cannot be downloaded as external files, such as PDFs, for use outside of Perlego. However, you can download books within the Perlego app for offline reading on mobile or tablet. Learn how to download books offline
Perlego offers two plans: Essential and Complete
  • Essential is ideal for learners and professionals who enjoy exploring a wide range of subjects. Access the Essential Library with 800,000+ trusted titles and best-sellers across business, personal growth, and the humanities. Includes unlimited reading time and Standard Read Aloud voice.
  • Complete: Perfect for advanced learners and researchers needing full, unrestricted access. Unlock 1.5M+ books across hundreds of subjects, including academic and specialized titles. The Complete Plan also includes advanced features like Premium Read Aloud and Research Assistant.
Both plans are available with monthly, semester, or annual billing cycles.
We are an online textbook subscription service, where you can get access to an entire online library for less than the price of a single book per month. With over 1.5 million books across 990+ topics, we’ve got you covered! Learn about our mission
Look out for the read-aloud symbol on your next book to see if you can listen to it. The read-aloud tool reads text aloud for you, highlighting the text as it is being read. You can pause it, speed it up and slow it down. Learn more about Read Aloud
Yes! You can use the Perlego app on both iOS and Android devices to read anytime, anywhere — even offline. Perfect for commutes or when you’re on the go.
Please note we cannot support devices running on iOS 13 and Android 7 or earlier. Learn more about using the app
Yes, you can access Energy and Materials in Three Sectors of the Economy by Alfred Linden Levinson in PDF and/or ePUB format, as well as other popular books in Business & Business General. We have over 1.5 million books available in our catalogue for you to explore.