Recently, evolutionary theories of economic and technological change have attracted a considerable amount of attention which reflects the problems encountered by mainstream analysis of dynamic phenomena and quantitative change. This book, originally published in 1991, develops the debate and draws on the concepts of evolutionary biology, nonequilibrium thermodynamics, systems and organization theory. While recognizing that new technology is not the cause of quantitative change, the editors claim it should play a more central role in economic theory and policy. At the same time, the ground is laid for a more generalized concept of innovation and experimentation and their relation to routine activities. The book is intended for economists.

eBook - ePub
Evolutionary Theories of Economic and Technological Change
Present Status and Future Prospects
- 286 pages
- English
- ePUB (mobile friendly)
- Available on iOS & Android
eBook - ePub
Evolutionary Theories of Economic and Technological Change
Present Status and Future Prospects
About this book
Trusted byĀ 375,005 students
Access to over 1.5 million titles for a fair monthly price.
Study more efficiently using our study tools.
Information
Subtopic
Business GeneralIndex
EconomicsThe Role of Variety in Economic and Technological Development
P.P. SAVIOTTI
Department of Economics, University of Manchester, Manchester M13 9PL, U.K.
1. INTRODUCTION
The increasing variety of products and services that we use both in our everyday life and in productive processes is one of the most important aspects of economic development. Both the emergence of completely new products (eg computers, radio, television, motor cars, aircraft, telephone, etc) and the growing diversification and specialisation of existing products increase the variety of services available to users. Simultaneously, some existing products and services disappear. The balance between these two processes, the emergence of new and different products and services on the one hand and the disappearance of existing ones on the other hand determines the net variety of the economic system. Impressionistic observations of the structure of household budgets or of the catalogue of the products offered by different shops seem to indicate that the net variety of the economic system has increased.
The increasing number of products and services available to the consumer has been accompanied by a number of related changes: the number of skills and techniques required to produce this increased variety of final output has increased; the nature of competition has changed, having become less dependent on price and more based on products and associated services. Changes in the nature of competition were recognised in the early 1930s by Joan Robinson (1933) and Edwin Chamberlin (1933), who independently published their theories of imperfect competition. On the other hand Schumpeter (1912, 1934, 1943, 1943 p. 83) had already considered the new consumersā goods as āone of the fundamental impulses that set and keep the capitalist engine in motionā. All the previous considerations constitute suggestive evidence but no definitive proof that the net variety of the economic system increases in the course of economic development.
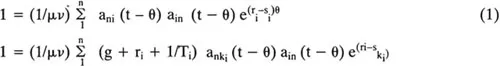
The role of variety in technological and economic development can be further analysed by following the approach to economic growth and structural change developed by Pasinetti (1981). Pasinettiās economic system is constituted by vertically integrated sectors, each of which produces internally all the primary and intermediate inputs required to produce final goods. Production takes place by means of labour and capital goals, labour being simultaneously the supplier of inputs to production and the consumer of the final goods produced by the system. The economic system is described by a series of input/ output equations and matrices. From these basic equations of the system it follows that an effective demand equation must be satisfied in order for the system to be at equilibrium, which in Pasinettiās definition means full utilisation of all productive resources. Population grows at a constant rate g, technological change in each vertically integrated sector leads to a rate of productivity growth Ļi and the rate of demand growth in each sector is ri. The effective demand equation takes the form:

where
ani (t ā Īø) = movement through time of technical coefficients
ain (t ā Īø) = movement through time of demand coefficents
μ = proportion of active to total population (1 > μ > 0)
ν = ratio of working hours to total number of hours (1 > ν > 0)
Ļki = rate of productivity growth in making capital goods ki, required to make goods Ki ā
Īø = finite length of time during which the percentage rate of change remains constant for each commodity
If all technical coefficients are continuously decreasing in time then the effective demand condition (1) is bound to become under-satisfied, unless the demand crefficients coefficients increase in the same proportion. However, demand coefficients are in general not expected to increase indefinitely because per capital demand for any commodity eventually reaches a saturation level. Therefore condition (1) is likely to generate unemployment as time goes on. The system could not keep growing generating more and more unemployment and the economic growth process would come to a halt.
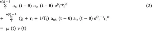
Technological change an then lead to unemployment but in the meantime it can also counterbalance this tendency. On the one hand technological change by leading to increasing productivity and therefore to the reduction of technical coefficients generates labour displacements and therefore the potential for unemployment. On the other hand it keeps generating new products which are added to the economy. These new products lead to the introduction of new technical and demand coefficients in equation (1), which can then be rewritten as:

Where now the total number of commodities/activities in the economic system is variable and increasing with time. Technical change has a twofold effect on equation (2). On the one hand it brings about a decrease through time of most of the ani ain (the coefficients of the commodities so far produced), on the other hand it keeps on adding new commodities/activities and new coefficients. It is therefore possible for the second tendency to counterbalance the first and for condition (2) to be satisfied.
This is a somewhat oversimplified description of Pasinettiās ideas. For example, it neglects the effect that decreasing the number of working hours (and therefore ν) or the percentage of active to total population (and therefore μ) can have on employment. Changes in both of these variables can bring condition (2) toward fulfilment. Furthermore, changing patterns of international trade can have similar compensating effects on employment. All these types of changes can counteract the displacement effects of technological change and demand saturation. However, their long term effect is limited and it is unlikely that they can keep the system growing smoothly for ever. For example, it is difficult to envisage an unlimited increase in leisure time without an increase in the activities with which to occupy this leisure time. These results can at least be interpreted as implying that the requirement for the continuous introduction of new commodities/activities is one of the most important conditions for economic growth. Naturally this condition is equivalent to saying that a continuous increase in the variety of the economic system is required to maintain long term economic growth.
The previous way of reasoning could be reversed. It could be argued that only when there is continuous technical progress of the type leading to increasing productivity in the production of existing goods there will be the possibility of introducing new goods. In other words the increasing productivity can free resources to be used in the development and introduction of new commodities. The increasing variety and the increasing efficiency of the economic system are therefore two complementary aspects of the process of economic development. However, it must be recognised that at present economics can deal better with the trend towards increasing efficiency than with that towards increasing variety. While increasing efficiency can be represented and theorised by production functions, the role of new products and services cannot be captured by them, and it has to be introduced ex post into the economic system. In other words, the increasing variety aspects of technological change remains totally exogenous to a neoclassical economic approach. It is one of the great merits of Schumpeter (1912, 1934, 1943) to have pointed out the very important role which can be played by the introduction of new products in the process of economic development. However, his approach remained mainly descriptive and historical. The process of qualitative change which gives rise to economic development [See Chapter 1 and Faber, Proops] is one of the fundamental elements defining an evolutionary approach. Clearly then one must make an attempt to represent and theorise the generation and diffusion of new goods, services and activities better than in the neoclassical approach. The concept of variety can be very important as an aggregate measure of the increase in the number of goods, services and activities.
Pasinettiās model of economic growth provides a very interesting interpretation of the role of the variety of the economic system in determining economic growth. However, in the context of evolutionary theories it ...
Table of contents
- Cover
- Half Title
- Title Page
- Copyright Page
- Table of Contents
- Preface
- Present Development and Trends in Evolutionary Economics
- Is There a General Theory of Biological Evolution
- Evolution in Biology, Physics and Economics: A Conceptual Analysis
- Organisation and Information in the Evolution of Economic Systems
- Evolution and Intention in Economic Theory
- On Some Notions of Irreversibility in Economics
- Evolutionary Human Systems: Learning, Ignorance and Subjectivity
- The Role of Variety in Economic and Technological Development
- A Computer Simulation of Economic Growth and Technical Progress in a Multisectoral Economy
- Econometric Methodology in an Environment of Evolutionary Change
- Innovation Policy in an Evolutionary Context
- Index
Frequently asked questions
Yes, you can cancel anytime from the Subscription tab in your account settings on the Perlego website. Your subscription will stay active until the end of your current billing period. Learn how to cancel your subscription
No, books cannot be downloaded as external files, such as PDFs, for use outside of Perlego. However, you can download books within the Perlego app for offline reading on mobile or tablet. Learn how to download books offline
Perlego offers two plans: Essential and Complete
- Essential is ideal for learners and professionals who enjoy exploring a wide range of subjects. Access the Essential Library with 800,000+ trusted titles and best-sellers across business, personal growth, and the humanities. Includes unlimited reading time and Standard Read Aloud voice.
- Complete: Perfect for advanced learners and researchers needing full, unrestricted access. Unlock 1.5M+ books across hundreds of subjects, including academic and specialized titles. The Complete Plan also includes advanced features like Premium Read Aloud and Research Assistant.
We are an online textbook subscription service, where you can get access to an entire online library for less than the price of a single book per month. With over 1.5 million books across 990+ topics, weāve got you covered! Learn about our mission
Look out for the read-aloud symbol on your next book to see if you can listen to it. The read-aloud tool reads text aloud for you, highlighting the text as it is being read. You can pause it, speed it up and slow it down. Learn more about Read Aloud
Yes! You can use the Perlego app on both iOS and Android devices to read anytime, anywhere ā even offline. Perfect for commutes or when youāre on the go.
Please note we cannot support devices running on iOS 13 and Android 7 or earlier. Learn more about using the app
Please note we cannot support devices running on iOS 13 and Android 7 or earlier. Learn more about using the app
Yes, you can access Evolutionary Theories of Economic and Technological Change by (Pier) Paolo Saviotti,Stan Metcalfe in PDF and/or ePUB format, as well as other popular books in Economics & Business General. We have over 1.5 million books available in our catalogue for you to explore.