Handbook of Microbial Iron Chelates (1991)
eBook - ePub

Handbook of Microbial Iron Chelates (1991)

  1. 374 pages
  2. English
  3. ePUB (mobile friendly)
  4. Available on iOS & Android
eBook - ePub

Handbook of Microbial Iron Chelates (1991)

About this book

Handbook of Microbial Iron Chelates emphasizes the various microbial compounds and synthetic analogues functioning as siderophores in microbes and as potential drugs in human iron metabolism. There are chapters describing the isolation, chemical characterization, synthesis and physicochemical properties of microbial iron chelates. Other chapters deal with the physiology and genetics of transport and receptors involved in iron uptake. Chemists, biologists, biochemists, pharmacologists, and medical doctors interested in the general aspects of iron metabolism, siderophores, receptors, and iron complex formation should consider this book a rich information source.

Trusted by 375,005 students

Access to over 1.5 million titles for a fair monthly price.

Study more efficiently using our study tools.

Information

Publisher
CRC Press
Year
2017
Print ISBN
9781138559707
eBook ISBN
9781351362665

AQUEOUS SOLUTION EQUILIBRIUM AND KINETIC STUDIES OF IRON SIDEROPHORE AND MODEL SIDEROPHORE COMPLEXES

Crumbliss Alvin L.

INTRODUCTION

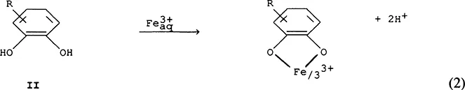
The emphasis in this review is on chemical studies which are relevant to siderophore-mediated iron uptake by microorganisms. Since almost all chelators which have been established to function as siderophores contain either the hydroxamate (I) or catecholate (II) Fe3+ binding group, we will focus our attention on solution equilibria, ligand exchange kinetics, and oxidation-reduction reactions of Feaq3+
inline image
with siderophores and synthetic chelators which contain the hydroxamate and/or catecholate binding group.
Image
Image
The processes involved in microbial iron assimilation are solubilization, transport to the cell, and deposition at an appropriate site within the cell. The important chemical characteristics of the natural iron chelators which are related to these processes are affinity and selectivity for Fe3+, and lability at a specific site (e.g., cell wall or interior). This lability occurs either through ligand exchange, which often involves ternary complex intermediates, and/or a reduced oxidation state for iron (i.e., Fe2+).
In this review we first treat solution equilibria and the associated Fe3+ formation or stability constants for hydroxamate and catecholate siderophores and their synthetic analogues. Then we will consider the kinetics and mechanism of Feaq3+
inline image
chelation and dechelation processes and ligand exchange reactions for these complexes. Finally, we will briefly review the relevant literature dealing with Fe3+-siderophore oxidation-reduction reactions. The reader is also referred to other recent related reviews which treat the synthesis, solution chemistry, and biochemistry of this interesting class of compounds.1-8

IRON-SIDEROPHORE COMPLEX STABILITY IN AQUEOUS SOLUTION

Formation constants can serve to define the stability of an Fe-siderophore complex in solution. In addition, these constants are a measure of the siderophore ligand’s selectivity for Feaq3+
inline image
in the presence of competing metal ions and its ability to solubilize Fe and prevent precipitation by hydrolysis. The Feaq3+
inline image
stability constant may also be the deciding factor in determining the mechanism for iron release from the siderophore, by influencing the Fe dissociation rate constant and Fe(III/II) reduction potential.

METHODS OF EXPRESSING IRON-SIDEROPHORE COMPLEX STABILITY

Since both the hydroxamate and catecholate groups are bidentate ligands, multiple complexation equilibria must be considered for mono- or bis-hydroxamates or catecholates in order to saturate the Fe3+ coordination number of six. These equilibrium steps are usually expressed as follows, where Ln− represents a bidentate ligand and coordinated H2O has been omitted for clarity. The constants Kn and βn are defined as stepwise and overall formation or stability constants, respectively. It is usually true that K1 > K2 > K3.
Feaq3++LnFeL(3n)+(3)
Image
K1=[FeL(3n)+][Feaq3+][Ln]=β1(4)
Image
FeL(3n)++LnFeL2(32n)+(5)
Image
K2=...

Table of contents

  1. Cover
  2. Title Page
  3. Copyright Page
  4. Table of Contents
  5. Preface
  6. The Editor
  7. Contributor
  8. Detection, Determination, Isolation, Characterization and Regulation of Microbial Iron Chelates
  9. Structures, Coordination Chemistry and Functions of Microbial Iron Chelates
  10. Specificity of Iron Transport in Bacteria and Fungi
  11. Genetics of Bacterial Iron Transport
  12. Pyoverdins and Pseudobactins
  13. Molecular Genetics of Siderophore Biosynthesis In Fluorescent Pseudomonads
  14. Aqueous Solution Equilibrium and Kinetic Studies of iron Siderophore and Model Siderophore Complexes
  15. Isolation and Spectroscopic Identification of Fungal Siderophores
  16. Synthesis of Catecholamide and Hydroxamate Siderophores
  17. BIOMIMETIC SIDEROPHORES
  18. Therapeutically Useful Iron Chelators
  19. Index

Frequently asked questions

Yes, you can cancel anytime from the Subscription tab in your account settings on the Perlego website. Your subscription will stay active until the end of your current billing period. Learn how to cancel your subscription
No, books cannot be downloaded as external files, such as PDFs, for use outside of Perlego. However, you can download books within the Perlego app for offline reading on mobile or tablet. Learn how to download books offline
Perlego offers two plans: Essential and Complete
  • Essential is ideal for learners and professionals who enjoy exploring a wide range of subjects. Access the Essential Library with 800,000+ trusted titles and best-sellers across business, personal growth, and the humanities. Includes unlimited reading time and Standard Read Aloud voice.
  • Complete: Perfect for advanced learners and researchers needing full, unrestricted access. Unlock 1.5M+ books across hundreds of subjects, including academic and specialized titles. The Complete Plan also includes advanced features like Premium Read Aloud and Research Assistant.
Both plans are available with monthly, semester, or annual billing cycles.
We are an online textbook subscription service, where you can get access to an entire online library for less than the price of a single book per month. With over 1.5 million books across 990+ topics, we’ve got you covered! Learn about our mission
Look out for the read-aloud symbol on your next book to see if you can listen to it. The read-aloud tool reads text aloud for you, highlighting the text as it is being read. You can pause it, speed it up and slow it down. Learn more about Read Aloud
Yes! You can use the Perlego app on both iOS and Android devices to read anytime, anywhere — even offline. Perfect for commutes or when you’re on the go.
Please note we cannot support devices running on iOS 13 and Android 7 or earlier. Learn more about using the app
Yes, you can access Handbook of Microbial Iron Chelates (1991) by Gunther Winkelmann in PDF and/or ePUB format, as well as other popular books in Biological Sciences & Biology. We have over 1.5 million books available in our catalogue for you to explore.