
eBook - ePub
Storytelling for Better Behaviour
Using Traditional Tales to Explore Responsibility, Decision Making and Conflict Resolution
- 276 pages
- English
- ePUB (mobile friendly)
- Available on iOS & Android
eBook - ePub
Storytelling for Better Behaviour
Using Traditional Tales to Explore Responsibility, Decision Making and Conflict Resolution
About this book
Using Traditional Tales to Explore Responsibility, Decision Making and Conflict Resolution provides a method to teach students to reflect, consider and think in ways that can enhance the potential they have for making good decisions and resolving conflicts peacefully. The book provides a series of thinking tools, incorporating both graphic organisers and concept maps and are part of a thinking process known as Theory of Constraint. As well as an approach to conflict resolution, the student programme incorporating over 35 sessions, helps develop emotional literacy. The programme will help students: increase ability to empathise; improve language and communication skills; develop an understanding of conflict in terms of win-win rather than win-lose; and realise behaviour is a choice and that actions have consequences. There are comprehensive facilitator notes for all of the sessions with student PowerPoint slides to reinforce the teaching points. The CD ROM has all the student activity sheets, student PowerPoint as well as a staff development PowerPoint and a Glossary of Terms. Suitable for ages: 7 - 18.
Trusted byĀ 375,005 students
Access to over 1.5 million titles for a fair monthly price.
Study more efficiently using our study tools.
Information
Topic
EducationSubtopic
Classroom ManagementSection Three
Introducing the Tools
Overview
Introducing the āBranchā Organiser
Session 10: Introduce the Branch
Session 11: Inferences
Session 12: Emotions and Consequences
Session 13: Analysing Content with a Branch
Session 14: Branches and Perspectives
Session 15: Introducing the āCloudā Organiser
Session 16: Using the Cloud to Resolve Conflicts
Session 17: Win-Win Solutions
Session 18: Goals and Targets
Session 19: Setting Goals and Plans to Achieve Them
Session 20: Setting Goals and Plans to Achieve Them
Session 21: Will Our Plans Work?
Session 22: Giving and Receiving Feedback
Session 23: Giving and Receiving Feedback
Session 24: Outcomes for Section Three

Overview
Teach children what to think and you limit them to your ideas. Teach children how to think and their ideas are unlimited
(Sandra Parks, 2006)
Examples from Section Three are drawn from the fairy story, Little Red Riding Hood and the Big Bad Wolf.
This section will introduce students to three graphic organisers (GOs) that scaffold a process through which to improve analysis and decision making.
These tools will support students to:
⢠analyse conflicts in a concise and non-provocative way
⢠look at consequences of actions
⢠think win-win
⢠find win-win solutions
⢠create time ordered plans to achieve goals.
Once learned, students can apply these tools again and again in school, in their studies and beyond, thus truly providing life-long learning skills.
Using storybook scenarios, students will experiment and practise with each tool, developing strategies to improve their own behaviour and to manage conflicts more appropriately and effectively.
The Coalition Governmentās Public Health White Paper (2010) advocates the message behind the slogan āno decision about me, without meā and many practitioners are observing the central role that message has played in young people being involved in their own successful recovery. These GO tools support students to make good decisions and take responsibility for their actions so students can avoid becoming known to practitioners in the first place and consequently avoid having personal experience of the implications of that statement.
As with Section Two, the sessions in this section are supported with PowerPoint slides.
Sessions should be completed within 20ā30 minutes. However, some student groups need less time than others to grasp new concepts. If your class is generally able to move forward quickly or if your scheduled lesson time is longer than 30 minutes you may find it useful to prepare two sessions at a time. Alternatively, read a short story or chapter from the class reader up to a pivotal point. Then ask students to consider what happens next. Depending on what you have covered in the session, you may want to ask students to use a āBranchā or āCloudā to illustrate their thinking. Many short stories written for younger children provide excellent material for older primary students, as most still enjoy the humour and key messages as well as being read to and as so many picture books seem to include a dilemma or decision they provide perfect material for these sessions.
Tried and tested:
Herb the Vegetarian Dragon by J. Bass and D. Barter.
Scaredy Squirrel by M. Watt.
Maryās Secret by D. McKee.
Session 10: Introducing the Branch
Resources
Activity pages, paper or exercise books, PowerPoint slides 38ā41.
Aims
The aim is to:
⢠introduce the āBranchā organiser as a way of showing cause and effect.
Key Words and Phrases
āIfā and āthenā (highlighting these two words to show cause and effect), infer, inferences.
Class Preparation
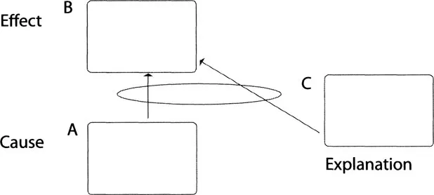
The first session introduces an organiser called the āBranchā. This is a graphic organiser that is built by repeating a basic pattern of ācause and effectā blocks of information (A and B), legitimised by an explanation (C). To read the Branch (as shown in the example below) one would say, āIf cause A then effect B because explanation C.ā
This method allows students to organise and sequence events so they are better able to:
⢠explain
⢠consider implicit information
⢠predict consequences C
⢠think through alternatives
⢠pin point pivotal moments
⢠write logical essays.

Students will be able to use this tool to break down information and consider the micro details within events. When those events are personal, students can use the Branch to uncover the micro details that influenced actions and reactions, such as the emotions that influenced their responses.
It is these micro details that influence and dictate reactions, as students soon realise when they sequence events using this tool. Having a simple method to calmly reflect and consider can support students to make better choices and manage their behaviour more appropriately.
The Branch can be used to detail in sequential order something that has already happened or to consider the negative or positive consequences of something that is being considered. It can also be used to see the sequence of events from someone elseās perspective, which can be helpful in understanding or explaining the feelings or reactions of others.
In terms of restorative process and behavioural applications, the Branch provides a Socratic method to unpick a sequence of events and for perpetrators to understand the consequences of their actions for themselves and for others without any finger pointing. Because this method is Socratic and non-confrontational, it is not stressful. When students are not stressed they are able to think more clearly and because nobody is āpointing a fingerā they are less defensive and can more easily take ownership of their choices. For conflict resolution to work, perpetrators need to understand and take ownership for the consequences of their actions as well as understanding the choices they made that lead to the problem. Inevitably their behaviour was driven by a core need which was probably good; respect, food, money, shelter and so on. However, their choices in how they met that need were not. The Branch supports users to identify all these points.
To start with, the Branch will be used to analyse choices and consider alternatives. When using this organiser you will quickly recognise the potential to support critical thinking and enhance comprehension skills as the Branch organiser can also help pupils to:
⢠identify and logically recall key information
⢠identify and explain causal relationships between events, information, actions and consequences
⢠draw inferences from text
⢠identify implied details by exposing the assumptions behind main ideas
⢠identify inconsistencies in logic that may provide support for a particular argument
⢠predict possible conclusions.
Resolving conflicts, as with any problem-solving, is easier when you have all the facts. It is simplified further when you can see the connections, or lack of them, between the facts.
Analysing cause and effect develop the studentsā ability to connect the true causes between, and consequences of, events. When students can connect their prior knowledge and experience to problems or to what they are learning, problem-solving and learning becomes easier to absorb and comprehend because there is a flow and connectivity.
However, there is the perennial problem of balancing the considerable and diverse knowledge and prior experience within a class group. Regardless of background, the Branch organiser provides a scaffold for each child that extends what they do know with what they are discovering. It provides a template to join up the dots from their existing knowledge (whatever that might be) and what they are experiencing now, so that it makes more sense to them.
Using the Branch for personal reflection means there can be no right or wrong answers. It is what it is, a personal account, and it is because it is āpersonalā that this tool can be so effective. The Branch creates a uniquely individual breakdown of consequences allowing students to reflect and recognise for themselves if the consequences of their actions were what they intended. There is no finger pointing, students work out for themselves when they review the Branch if their choices had positive outcomes or not.
The Branch doesnāt just provide insight, it also provides an opportunity for students to pinpoint where or what has to change, those changes can then be contemplated with another Branch which will in turn provide a template for a plan of action.
Session 10 can be combined with Session 11 as both can be carried out quite quickly.
Whole-Class Introduction
Have you ever noticed that it can be difficult when you are upset to explain an argument or disagreement you have been involved in to someone else? Why do students think that is?
⢠Is it because when we try to explain the complicated background that led to the actual disagreement it can be confusing for others?
⢠Is it because when we are very excited we find it difficult to make clear what is clear to us?
⢠Is it because we donāt really know the other sideās reasons for their actions so to us their behaviour just seems unreasonable but we canāt really explain it to someone else?
⢠Is it because they ājust donāt get itā? Itās not important to them so they canāt see what all the fuss is about.
How about the other way round? Have you ever had to li...
Table of contents
- Cover
- Half Title
- Title Page
- Copyright Page
- Dedication
- Table of Contents
- Section One: Introduction
- Section Two: Foundations
- Section Three: Introducing the Tools
- Section Four: Applying the Tools to Curriculum-Based Examples
- Section Five: Moving On
Frequently asked questions
Yes, you can cancel anytime from the Subscription tab in your account settings on the Perlego website. Your subscription will stay active until the end of your current billing period. Learn how to cancel your subscription
No, books cannot be downloaded as external files, such as PDFs, for use outside of Perlego. However, you can download books within the Perlego app for offline reading on mobile or tablet. Learn how to download books offline
Perlego offers two plans: Essential and Complete
- Essential is ideal for learners and professionals who enjoy exploring a wide range of subjects. Access the Essential Library with 800,000+ trusted titles and best-sellers across business, personal growth, and the humanities. Includes unlimited reading time and Standard Read Aloud voice.
- Complete: Perfect for advanced learners and researchers needing full, unrestricted access. Unlock 1.5M+ books across hundreds of subjects, including academic and specialized titles. The Complete Plan also includes advanced features like Premium Read Aloud and Research Assistant.
We are an online textbook subscription service, where you can get access to an entire online library for less than the price of a single book per month. With over 1.5 million books across 990+ topics, weāve got you covered! Learn about our mission
Look out for the read-aloud symbol on your next book to see if you can listen to it. The read-aloud tool reads text aloud for you, highlighting the text as it is being read. You can pause it, speed it up and slow it down. Learn more about Read Aloud
Yes! You can use the Perlego app on both iOS and Android devices to read anytime, anywhere ā even offline. Perfect for commutes or when youāre on the go.
Please note we cannot support devices running on iOS 13 and Android 7 or earlier. Learn more about using the app
Please note we cannot support devices running on iOS 13 and Android 7 or earlier. Learn more about using the app
Yes, you can access Storytelling for Better Behaviour by Debi Roberts in PDF and/or ePUB format, as well as other popular books in Education & Classroom Management. We have over 1.5 million books available in our catalogue for you to explore.